
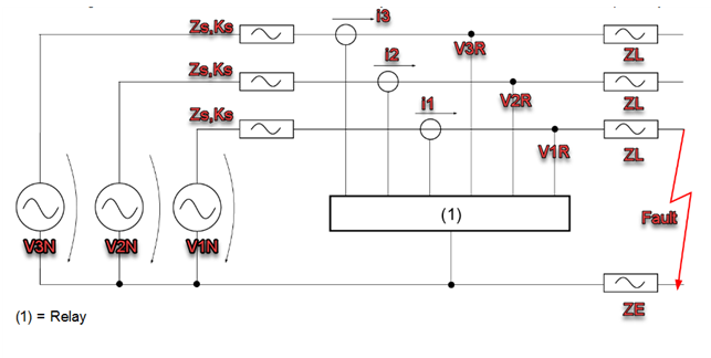
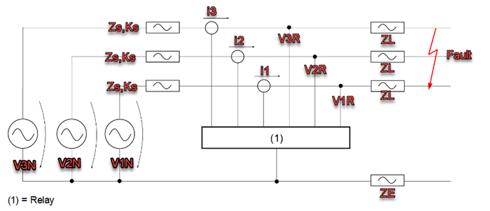
Four wires with 4 pin female Phoenix connectors

Current connectors

Voltage connectors

Ribbon cables

Neutrik board
Back panel
Front panel

Switching module
Complete side of switching module

Incomplete side of switching module

Amplifier module
Ø Complete side of amplifier module

Incomplete side of amplifier module

Case

To assemble the device, you must first install the back panel on the case. Stand the case in front of you, in a way that the power socket is on your right side. Connect one of the earth wires to the power socket and the other one to the earth socket.


The amplifier module is placed into the case where the racks are less spaced (opposite to the input power socket).

The complete side of the amplifier goes to the case wall. The edges of the module should be placed inside the 4 racks.

Insert the module up to 5 cm to the end of the case, then take the fan wire from the back of the Spacer and connect the socket to the amplifier then push the module to the bottom of the case.

Note: make sure that the fan wire is not under any modules or inside the fan.
The incomplete side of the switching module (the one that only has a command board) should be on the side of the case’s wall, so that the Ethernet, USB, RS232, Wi-Fi and GPS ports are downward and placed in the rear panel.

Insert the module up to 5 cm to the end of the case, then take the fan wire from the back of the Spacer and connect the socket to the switching module finally push the module to the bottom of the case.

By shaking the GPS port, the switching module must be fully placed at the bottom of the case.

Ethernet and USB socket must be 1 to 2 mm away from the back of the case. If the socket of the Ethernet and USB are stuck, In case ports are stuck shaking them allows them to come out from the back panel.

Note: make sure that the fan wire is not under any modules or inside the fan.
Connect the two heads of wires that come from the back panel to the zero side of the power switch on the panel.
The guards must be faced outwards so that they can be easily opened.

First, connect two 2 pin female Phoenix connectors to the incomplete board of the switching modules. Connect the other side to the switching modules.

Connect one side of the corresponding power cord to 1 key and connect the Phoenix side to the incomplete switching switchboard.



First, on the left side, connect the corresponding Phoenixes to the amplifier. You should first connect the two 16 pin Phoenixes and then connect the two 5 pin Phoenixes.

Then install the appropriate phoenixes to the right side of the amplifier.

First, turn the device in a way that its socket is to your left and the Neutrik board is placed between the amplifier phoenixes so that its socket is to your right. The socket connects to the complete board of amplifier.

The holder is placed half way on the 6 pin Phoenix voltage connectors. Connecting the voltage 6 pin Phoenix on which the holder is placed to the switching and put the holder in place.

2 pin female Phoenix connectors with shorter wires) red and black) should be connected to the upper 2 pin male Phoenix connectors.

3 pin female Phoenix connectors with shorter wires) red, black and blue (should be connected to the lower 3 pin male Phoenix connectors.

Tip: Before placing the phoenixes on the amplifier, place the corresponding holders on phoenixes.

First, put a holder on the 8 pin current Phoenix (blue wire) and connect the internal 8 pin Phoenix to the incomplete switching board.

Connect the 4 pin blue longer Phoenix holder to the second male Phoenix from the bottom. Connect the 4 pin blue shorter Phoenix holder to the first male Phoenix from the bottom.

Put a holder on the 4 pin current Phoenix (black wire) and connect it to the incomplete switching board. Connect the 4 pin black male Phoenix to the first male Phoenix from the top.


Put an 8 pin Phoenix (red wire) current and connect it to the 8 pin male Phoenix of the incomplete switching board.

Connect the 4 pin female Phoenix with longer red wire holder to the second male Phoenix from the top. Connect the 4 pin female Phoenix with a shorter red wire holder to the third male Phoenix from the top. Then assemble all the current and voltage wires with a cable tie wrap.



This ribbon cable connects the entire side of the switching range to the full range of the amplifier.

Connect the holder from one side to the IDC and connect it to the IDC by using a screwdriver or one forceps.

Holders must be placed on the rails and the two slots embedded on them should be placed on the module and the original board. Each holder is closed and tightened by 2 screws 16.5×2 soaked in a special screw along with a ribbon gasket on the holder and middle rails.

Place the micro holder on the middle rail on the one side and its two pins must be placed on the lower rails of the case on the other side.

This holder is connected to the body of the case from one side using bolts, nuts and 8×4 flat washers. The slots embedded on this holder, on the other side, are connected to the amplifier and the neutrik board. The neutrik board on this holder is fastened by a special glued 8×3nut to a bolt and a spring washer.

This holder is connected to the wall of the case on one side and connected to the body of the case using bolts, screw washers, and a 8×4 flat. The other side is connected to the module and main switching.

Place the 2*10 holder on a ribbon cable and push it slightly towards the IDC.

The 2 connected wires to the case must be connected to the complete switching module and the incomplete side of the amplifier module.


Connect the 6 pin Phoenix voltage cable on the holder to the switching module and put the holder in its place.


First, connect the 8 pin black Phoenix wire with its holder to the complete switching module.
Then connect the 4 pin black Phoenix wire with its holder to the complete switching module.

In the end, connect the 8 pin red Phoenix wire with its holder to the complete switching module.


The female Phoenix connector with a shorter wire on the holder should be connected to the lower 3 pin male Phoenix connector. The female Phoenix connector with a longer wire on the holder should be connected to the upper 3 pin male Phoenix connector.

First, connect the 4 pin blue female Phoenix with longer wire on the holder to the second 4 pin male Phoenix connector from the bottom. Connect the 4 pin blue female Phoenix with shorter wire on the holder to the first 4 pin male Phoenix connector from the bottom.

Connect the 4 pin black female Phoenix with shorter wire on the holder to the first 4 pin male Phoenix connector from the top. Connect the 4 pin red female Phoenix connector with longer wire on the holder to the second 4 pin male Phoenix connector from the top.

Connect the 4 pin red female Phoenix connector with shorter wire on the holder to the third 4 pin male Phoenix connector from the top.


Then assemble all the current and voltage wires with a tie wrap.

The connector of this cable is approximately in the middle and below the front panel. First, connect the switching side to the switching module, then attach the uncompressed part to the IDC Latch on the panel and close the guards.

On IDC connected to the switching module, install a high legged holder IDC and connect the two sides of the holder base to both sides of the IDC.

When connecting the ribbon cable, pay attention to the IDC cable and the groove on the IDC modules.

Holders must be placed on the rails and the two slots embedded on them should be placed on the module and the original board. Each holder is closed and tightened by 2 screws 16.5×2 soaked in a special screw glue along with a flat washer on the holder and middle rails.

This holder is connected to the wall of the case on one side and connected to the body of the case using bolts, screw and flat washers and an 8×4 flat. The other side is connected to the module and main switching.

This holder is connected to the body of the case from one side using bolts, nuts and 8×4 flat washers. The slots embedded on this holder, on the other side, are connected to the amplifier and the neutrik board. The neutrik board on this holder is fastened by a special glued 8×3nut to a bolt and a spring washer. Turnover the device on in a way that the back panel is facing upwards.


The door with four legs must be installed underneath the device and the leg-less door is installed on the top. Place the walls in the lower grooves (grooves are on the front panel frame).

On both sides of the case, two long earth wires have been attached to the body. Connect each side to its door, pull the wire a little with a small force to make sure that they are tight and steady.


Place the doors and install the legs in place; two star screws must be tightened on each side. You need a star screwdriver to tighten the screws.

First, turn the device upside down so that the base are upwards, we then open the case base using Allen wrench 3. After separating the base, separate the 4 screws connected to the case doors.
Now the case doors are released and we need to remove the earth cables that are attached to the door.
Next, put the base in its own place then open the nuts for the GPS antenna and the dongle port and return the case over.
Now open the 14 screws in the front panel then release the green connectors attached to the panel (Phoenix).
After phoenixes, it is time to release the flat panel cable and the toggle is pulled from the sides of the free cable, separated from the panel. In the next step, we release the 4 sockets attached to the key and 1 socket attached to the earth panel, now the front panel comes out of the case easily.
First, we remove the cable (earth). To remove the cables, you must first cut all belt clamps. Separate the holders attached to the phoenixes, then remove the latched flat cable by pressing the toggles.
In the next step, to separate the holder related the Neutrik, use Allen wrench 3, two screws attached to the holder, box wrench 5.5, open the nut attached to the holder and remove the screw attached to the right switch bracket. Remove the twin screws with Allen wrench 3.
The blue and brown wires are then connected to each side of the circuit, first cutting the bracket and then the phoenix 2-pin connector.
Open the 4 holders on the middle rail using allen wrench 2 and then go to the other side of the device and seprate the 2 earth cables from the device and release the holder related to the flat at the bottom of the device on the right side using a screwdriver. Seprate the other side that has a latch by releasing the latch from the device.
Cut the belt clamps, releasing cables from Phoenix using a screwdriver.
In the next step, release the flat cable holders attached to the switch, pull the flat back and separat it.
Disconnect the Neutrik board connected to the amplifier and open the 2 Neutrik holder that is attached to the case body using Allen wrench 3 and the nut under the Neutrik board with a 5.5 box wrench.
Remove the flat panel holder then release the flat, finally, open the holder that connects the switching to the case by 2 screws with Allen wrench 3 and separate it.
Open the screws for 4 holders on the middle rail using Allen wrench 2; then open the screw on the micro holder with Allen wrench 2 and remove the holder.
Finally, all the cables and screws are opened; the amplifier and switching module are freed and the fan sockets are released once ejected and easily removed from the case.
In order to remove the device from the suitcase, by pressing the push button, the handle of the device should be placed in a 45 degree angle and taken out of the case.

To change the status of handle of the device, it is necessary to press the side buttons of the device simultaneously and then the status should be changed. Once the device is positioned on the intended surface, the handle of the device can be put on the device by pressing the push button.

Also, it is possible for the handle to be positioned beneath the device so it could be used as a stand for the device. In addition, the bases that are installed under the device can be used for this purpose.

At the bottom of the device are the air conditioning grooves and it is crucial to consider that, while positioning the device, these grooves must not be blocked under any circumstances.

The front panel of the device consists of the outputs, inputs, device status lights, and the on/off power button.

If the green light of the main relay is on, it means that all main switches of the device are on.

If the green light of “CONNECTED” is on, it means that the device is correctly connected to the software via PC or mobile phone.

If the red light of “ERROR” is on, it means that there is a problem with the device and it has stopped working. As long as the problem is not resolved, this light will remain on and the device will not work.

The two voltage groups A and B allow the user to receive up to 150V AC and 212V DC in all four phases simultaneously with a precision of 10mV with a maximum current of 0.4A AC and 0.6A DC as well as up to 2A in transient mode. By changing the wiring, it is possible to receive up to 450V single-phase AC from the device. Also, it is possible to increase the output voltage and provide the user with a 150V AC with a maximum current of 0.8A by changing the wiring and paralleling the two current sources.

The two current groups A and B allow the user to receive up to 32A in all six phases simultaneously or three-phase 64A. Moreover, by changing the wiring, it is possible to receive up to 128 single-phase amperes from the device.

At the “Auxiliary DC” output, a DC voltage as high as 0 to 212V is permanently adjustable. This voltage is independent of the test and can be used to switch on other devices such as relays.

This is where the integrated cable is connected. The amount of the current and the output voltage of this port are the same as the amounts of the current and voltage ports that have been described earlier.


The analog inputs of the device are capable of receiving both analog and digital signals. All 8 inputs can be active simultaneously. Other than reading them, these inputs can show the waveform of voltage in three voltage levels of 4.5, 30 and 188V with the precision of 1, 3 and 10mV.

The “Analog DC Input” section is capable of measuring voltages up to 200mV with a precision of 50µV and current up to 500mA with a precision of 50µA.

Generally, the back of the device consists of various components including:
Earth port
Fuse
Power supply
USB port type A
USB port type B
LAN and Wi-Fi switches
Ethernet port
This port is used to protect the earth connection and the earth cable of the device is connected to this port.

In this section, in order to protect the device, a 15A and 250V fuse is used.

The power supply port is located here. The power cord of the device is plugged to this port.

The RS232 port is mainly used for resetting the IP and updating the firmware. To do this, the RS232 dongle, which is a part of the equipment of the device, needs to be connected to this port. Then, the necessary operation, described in the following animations, needs to be performed.

In this section, by using the switch, the communication protocol between the device and laptop is selected. If the switch is up, the connection is via Wi-Fi and if the switch is down, the connection is via LAN. The LAN port located under this switch is used for the mentioned communication. The laptop settings for connecting a laptop to the device are described in the following animations.

The GPS antenna, which is used for time synchronization of two devices for performing a longitudinal test, is connected to this part.

Inside the black bag comes with a one-way wire-to-female connection, a lizard clip, a 30 cm test wire, a 10 cm test wire and a 4 mm test socket, and a belt clamp and a test socket 4 mm in diameter.
Other pieces of equipment that come with the device are communication cables which are used for communicating with the relay and injecting voltage or current. This side of the cable which has a fixed head is connected to the device and the head on the other side which has a dynamic plastic guard is connected to the equipment.
LAN cable
The blue cable, shown, is used to connect the device to a laptop.
Earth cable
The cable is the ground (earth) wire where its place of connection to the device was shown earlier. While one side of this cable is connected to the device, the other side, where the crocodile clip is attached, is connected to the location of the ground connection.
The black cable on the right is the power cable and the one on the left is the GPS antenna cable. This antenna is used for End to End tests. The GPS antenna is used for time synchronization of two devices to performe a longitudinal test.
Serial Dongle:
This dongle is used to reset the device. The 2nd and 3rd pins of this dongle are interconnected, so if the dongle cannot be accessed, the device can be reset by connecting the 2nd and 3rd pins to the RS232 port located on the back of the device.
Capacitor box
In this capacitor set, there are 3 capacitors (10000μF) which are used as a filter in equipment tests.
Integrated or Neutrik cable
This cable has 6 output wires on one end and a single part on the other which is connected to the device. To plug this cable, first insert the tab of the combination cable as it is shown in the image. Then, after the Neutrik cable is inserted, spin it to the right until the metal pin fits into its place. To unplug the Neutrik cable, pull the tab and spin it to the left. After the spin is complete, it can be removed.
There are several labels attached to the sides of the device. The first label includes contact information for device support.
The second label includes the serial number and technical information of the device.
Soft bag/ Backpack
This case is designed for convenient transportation of the device.
To place it inside the case, the device must be standing perpendicular to the surface. Then it can be placed in the case and after that, the case can be closed.
At the front and back of the case, there are pockets where the equipment of the device can be placed.
Inside the backpack, along with the device, there are three 7-meter cables and 8 clamps for testing transformers and circuit breakers, as well as several clamps to hold the connection between the cables.
In this video, we’ll carry out a comparative analysis of the hardware features of several models from Vebco’s product line: AMT105, AMT205, AMT103, and AMT203.
Voltage Sources: Starting with the AMT105, this device is equipped with two voltage groups: one three-phase group rated at 150 volts, and one single-phase group also rated at 150 volts. In total, it provides four 150-volt sources, each capable of delivering up to 500 milliamps per phase. The minimum sampling rate for measuring real-time values in this device is 1.2 milliseconds. This applies both to the applied voltage and the drawn current, ensuring accurate and timely data acquisition. Additionally, the AMT105 includes an independent DC voltage source with a maximum output of 212 volts. This DC source operates separately from the other voltage outputs, allowing for greater flexibility in various testing scenarios.
In contrast, the AMT205 device offers two groups of three-phase 300-volt voltage outputs, each with a maximum amplitude of 1.2 amperes. The sampling rate for measuring actual values is at least 25 microseconds, which applies to both the supplied voltage and the drawn current. These voltage sources can be converted into 1.2-ampere current sources, capable of providing up to 300 volts of electrical potential for current injection. This feature enables the device to inject extremely small currents — as low as 20 microamperes — with high precision. The device does not include a separate DC source, so if a DC source is required, the user must dedicate one of the six available phases to that purpose.
Current Sources: The AMT105 device includes two groups of 32-ampere current outputs, each capable of supplying 12 volts per phase. The sampling rate for measuring the actual values from these sources is at least 1.2 milliseconds, and it is used to monitor the drawn current.
In contrast, the AMT205 device includes two groups of 32-ampere current outputs, each capable of supplying 22 volts per phase. The sampling rate for measuring actual values from these sources is at least 25 microseconds, and is used to monitor both the injected current and the voltage supplied by the device. These current sources can be converted into 22-volt voltage sources with a maximum current of 32 amperes. This feature allows the device to apply very small voltages — as low as 40 microvolts — with high precision.
The Neutrik port on the AMT105 device provides three-phase voltage and three-phase current outputs for use in impedance and directional testing. It can also be reconfigured into six current phases for differential testing.
However, on the AMT205 device, the Neutrik port provides only three-phase voltage and three-phase current outputs for impedance and directional testing, and does not support reconfiguration.
The AMT105 device includes eight binary/analog inputs, which can operate in either DRY (binary) mode or WET (analog) mode. In analog mode, the device supports three input voltage ranges: 4.5 volts, 30 volts, and 188 volts. The sampling rate for measuring values can be selected starting from 400 microseconds and higher. Naturally, as the measurement range increases, the accuracy tends to decrease.
The AMT205 device also features eight binary inputs, which can operate in both DRY (binary) and WET (analog)modes. However, unlike the AMT105, in addition to the 4.5-volt, 30-volt, and 188-volt ranges, it also includes a 500-volt range. The sampling rate for measuring values can be selected from 12.5 microseconds and above. As expected, when the measurement range increases, the accuracy of the measurement tends to decrease.
The AMT105 device includes two AC/DC analog inputs: one dedicated solely to current measurement, with a maximum range of 750 milliamperes, and the other dedicated to voltage measurement, with a maximum range of 400 millivolts. The sampling rate for measuring values can be selected from 400 microseconds and above.
The AMT205 device also includes two AC/DC analog inputs, but with extended capabilities. For current measurement, it offers four selectable ranges: 250 microamperes, 39 milliamperes, 750 milliamperes, and 10 amperes. For voltage measurement, it provides four ranges as well: 10 millivolts, 50 millivolts, 120 millivolts, and 400 millivolts. The sampling rate for measuring values can be selected from 12.5 microseconds and above. These inputs offer higher precision, especially when measuring smaller signals.
The AMT105 device features four binary outputs with relay switches, where neither the switch type nor current measurement can be changed.
In contrast, the AMT205 device also includes four binary outputs, but with the option to select between transistor-types and relay-type switches. The relay type offers higher current capacity but has a slower switching speed, while the transistor type provides very high switching speed but can handle lower current levels. A key advantage of the AMT205 is that its binary outputs can measure current, a capability not available in the AMT105.
The AMT205 device can be connected to a laptop via both LAN and Wi-Fi. Thanks to its support for IEC 61850 testing, the device is equipped with three LAN ports, which can be used to create a ring connection between the device and two other IED systems.
The AMT105 device also supports connection via LAN and Wi-Fi, but it does not support IEC 61850 testing and includes only one LAN port.
The AMT103 device shares the same technical specifications as the AMT105, with a few key differences: it includes four 150-volt voltage sources and three 32-ampere current sources, and it does not have an independent DC source. The number of binary/analog inputs has been reduced from 8 to 4, and on the Neutrik port, the number of voltage and current sources is fixed at three voltage outputs and three current outputs.
The AMT203 device shares the same technical specifications as the AMT205, with a few key differences: it includes four 300-volt voltage sources and three 32-ampere current sources. Additionally, the number of binary/analog inputs has been reduced from 8 to 4.
Vebko software is provided in two versions: "Stable" and "Test". The "Test" version includes the latest software changes and, as the name suggests, is an experimental version that may contain software bugs. Once these bugs are resolved, a "Stable" version is released, which addresses software issues and can be used with ease, though it may not include all features of the Test version. Note that both "Test" and "Stable" versions can be installed simultaneously without any issues. To download the latest "Test" and "Stable" versions, visit www.vebko.org and go to the Software section.
Before installing the software, it should be noted that if a version of the software is already installed on the system, there is no need to uninstall it before installing the new version, as this process will be automatically handled by the new version of the software.
To download the software version, first enter the device's Serial Number in the Serial Number section to display the compatible version based on the microprocessor used in your device.
By clicking on the + icon, previous versions are displayed, and by clicking on the download icon, the desired version will be downloaded.
After downloading the software, to install it, run the Test.exe file.
Now, in the opened window, check the "I agree" option and click "Install". Note that installing the "AMPro" software takes a few seconds. If you click "Run", the software will be executed. Before starting to work with the software and to complete the installation steps, on the main page of the software, in the "Security" section, click "Open Source Location" to open the location where the software is installed. On this page, right-click on the "AMPro Application.exe" file, select "Properties", go to the "Compatibility" tab, and check "Run this program as an administrator". Then, right-click on the "AMPro APP Launcher.exe" file, go to the "Compatibility" tab, and check "Run this program as an administrator".
After running the software, in the Settings window, check the "Auto Detect Hardware Config" option so that the device configuration is automatically set when connecting to the device.
This translation aims to preserve the technical details and instructions while ensuring clarity and accuracy in English for power engineering field engineers who need to understand the process clearly.
In order to be able to perform various tests with the device, it is necessary to connect to it via a laptop or computer. Before starting the device, the earth wire from the back of the device needs to be connected. Note that if the outlet is grounded, there is no need to connect the ground wire from the back of the device. Then, the power cord is connected to the specified location on the back of the device. After connecting the power cord, the power button on the front of the device is pressed and the device turns on. As the device turns on, 8 binary input lights (on the bottom row) and 2 analog DC input lights (on the top right) turn on.
There are two ways to connect to the device: Wi-Fi and LAN. The switch on the back of the device is adjusted according to the connection type. To switch the LAN connection, one end of the LAN cable is connected to the device and the other end is connected to the laptop. When the device and the laptop are properly connected and the switch is changed from Wi-Fi to LAN, the LAN port light of the device and the laptop turn on. The setting for the connection of the LAN port is set only once for each computer before the first connection. To set these settings, go to the "Control Panel" and open "Network and Sharing Center".

On this window, by clicking on "Change Adapter Setting" another window opens. There are several sections on this window. To change the LAN settings, double click on "Ethernet". Click on “Internet Protocol Version 4” in the opened window. On this window, enter 192.168.1.20 in the "IP Address" field and then close the window. Then, open the "AMPRO" software. By clicking on "Setting" on the start page of the software, a new window opens.

On this window, enter the last three digits of the serial number of the device in the fourth part of the IP field. To connect to the device, click on “CONNECT”. If a new version is connected to the device, the "Firmware" of the device will be updated once and after the green bar is filled, the device will be connected in a few seconds. To connect via Wi-Fi, the switch on the back of the device needs to be set on “Wi-Fi”. Then, from the "Wi-Fi" in quick launch bar on the laptop, find and select the Wi-Fi connection of the device. The password for this connection is the serial number available from the label attached to the side of the device. Once the connection is complete, click on “Setting” on the start page of the software. On this page, enter the last two digits of the serial number of the deivce in the fourth part of the "I" field. To connect to the device, click on “CONNECT”.


The user can view all devices that are, through different protocols, connected to the laptop on the "Available Devices" tab on the "Preferences" page. By clicking on "Start Search", after a few seconds, the list of network adaptor options of the system will appear in the "Interfaces" slider.

By clicking on any network adaptor, the list of devices connected to the laptop, as well as all their connection information, will be displayed. If the user does not know the name of their network adaptor, they should go to the "Control Panel" page and click on "Network and Sharing Center". Then, on the left side of this page, they should click on "Change Adapter Setting". If the connection cable of the device that is connected to the laptop is unstable, this instability is indicated by the connection's getting activated and deactivated on the "Network Adaptor" page.


Upon returning to the "Available Devices" page, by clicking on the currently being used "Network Adaptor", the name and IP of the device will be displayed along with its other connection information. If the user does not have access to the IP of the device, they can find it by following these steps and it will no longer be necessary for them to reset the IP of the device.

On the "Connection & Firmware" tab, the settings for the device connection, changing the IP and updating the firmware can be set. One of the features of this software is connecting to multiple devices at the same time. To do so, by clicking on the green plus button on the "AMT" tab, a new row is added to this table. On each row is the connection information which should be different from other connections.

In the case of connecting to multiple devices through one software, it should be noted that while connecting through a network adaptor", each connection must have a unique "Mac" and “IP” Address. To do this, first, you need to connect to the first device by entering its IP. Then, by clicking on the second row and entering the IP of the second device connect to it and if the "Mac" addresses are the same, make a small change in them and by clicking on "Set to AMT" apply the changes.

After properly connecting to multiple devices, by using them, multiple tests can be performed simultaneously. For example, if the two rooms of "AMT Sequencer" and "AMT Distance" are opened, by selecting the "AMT" connection in the "AMT Sequencer" room and "AMT1" in the "AMT Distance" room, by using two devices, two tests can be performed at the same time and two relays can be tested simultaneously.

When the LEDs of all binaries are on or you do not connect to the device according to the relevant settings, you must reset the device IP using the dongle. Before resetting the device’s IP address, it is necessary to make sure that the device is turned off. Then, the RS232 dongle is connected to its specific port on the back of the device.

Upon turning on the device, you can see that, the error lights of the device will start blinking

After blinking several times, there is a pause and then the device will start blinking again. After this process is repeated for the third time, the user should turn off the device and disconnect the RS232 dongle from the back of the device

Now, the IP address of the device is reset and its serial for connecting via Wi-Fi is changed to 199. After turning on the device, to establish the connection between the device and the laptop, enter “199” in the fourth part of the IP field on the “Setting” page.

Note that if you do not have a dongle or even an RS232 port, you can use a thin wire to do it. As can be seen, it is enough to connect pins 2 and 3 with a thin wire.
To update the "Firmware" manually, first, it is necessary for the device to be turned off.
Then click on “Disconnect” in the “Preferences” screen, so that the software will not send ping to device after the device is turned on.

To get started, the RS232 dongle needs to be connected to its specific port on the back of the device Also, the device and the laptop must be connected via LAN cable.

It can be seen that, after the device turns on, the "ERROR" light in the front panel of the device starts blinking.

On the main page of the software, click on “Update Firmware in Flash Mode”.
Then, you have to wait for the green bar to get filled. After that, a message will be displayed. By clicking on “OK”, you can finish updating the “Firmware”.

Turn off the device and unplug the RS232 dongle.
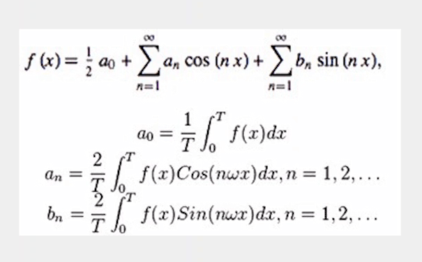
There are four main tabs in the software “setting” page. The “Room” tab provides a number of features for different rooms. In the "Date-Time" section, you can select “Persian” or “Christian” as the type of the date used in the output report. By using the other three options in this section, it is possible to show the name of the month and week and milliseconds in the report.

In rooms such as "AMT-Distance" and "AMT-Overcurrent", next to each of the "Fault Types" are written numbers which show the test points, the number of passed test points, the number of failed test points, the number of test points that are outside the range of the device and the number of untested test points respectively. With this explanation, unchecking each of these options in the "Show/Hide Test Counters" will cause the number of points associated with that option not to be displayed.


In the "Report Refresh Interval" field of the "Report" section, the update time for the report is specified. In the "Report Package" section, the default settings for the "Reports" are adjusted. In the "Extra Tools" section, clicking on the " Template Report Generator", opens the "PDF Report Creator" page where the desired test files can be imported to get a report. By clicking on "Remove Signature", the "Remove Signature from Report" page opens where, without needing to open the test files, the added signatures to the reports can be removed. In the "Template" section, the settings of the "Test Object" of the device as well as the settings related to displaying numbers in the "Decimal Places" are adjusted.

By checking the "Auto Save" option, the software saves the last changes made to the test page according to the time specified in the "Interval" field. These files are also saved in the location specified in the “Directory” box in “History” section.The maximum reserved size for these files and the maximum duration of time that these files are kept in the system is specified in the “Max Size” and “Max Time” filed, respectively,and the user is able to change these values. By unchecking any of these options, the limitation is removed as well. By doing this, if the software crashes for any reason, the test page and the user information will remain safe.

In the "Alert-Tone on Hardware Error" dropdown field, you can select an alert sound for when there is a hardware error in the device. The settings for specifying and changing the sizes of the tables of the rooms such as "Distance" and "Differential" are adjusted in the "Styles of Tables" section. You can customize the "Key Setting" section to be able to use the "Enter" key and the arrow keys to move in the cells of a table. In the "Communication Mode" section, you can choose between "Service System" and "Integrated System" for the connection between different rooms and pages of the software. "Appearance Setting of Groupbox" is designed for personalizing user interface. This setting is divided to two categories of “text” and “border”, which are used to personalizing the borders , color and text’s fonts. In the following tutorials, all of the above will be stated in detail as well as how to adjust the settings.




To Improve or modify the translation of the Vebko company's website, first, go to the address
79.127.52.162, after selecting the desired language (in this tutorial, French is used), download the corresponding Excel file. Without changing the file name, make the desired
changes and then drag and drop the file back to the main page of the website. After entering
the Username and Password provided by the support team, the modification process will be
completed.
Please note that each section on the website has a unique ID. If you are looking for a
specific section in the Excel file and cannot find its location on the site, simply click on the
section's ID, and it will be highlighted in green for you.
Additionally, by adding ?resx=true to the end of the address, you can view the IDs related to each section.
For example, you can find 61Resx in the Default sheet of the Excel file.
It is important to note that the downloaded Excel file is organized into sheets corresponding to the site's tabs.
First, from the software's start page, go to the "Setting" window, select the "Cache" tab, and
click on "Open Roaming Directory" to be directed to the file storage window.
In the "Language" folder, open the Excel file where you can make the desired changes to the respective language. Finally, save the file with the CSV extension.
For example, in the "Circuit Breaker" room, the "Object Test" window, to change Test (s) in English, open the Excel file, make the desired changes, save the Excel file with the CSV extension, close and reopen the "Circuit Breaker" room to see the changes.
It should be noted that in the Excel file, the rows indicate the name of the respective section,
and the columns indicate the language.
In the “Templates” section, by clicking on the “Device” button, a new screen named"Device Settings" appears in which the default settings for the Device are set. If changes are made to this section, clicking on the "Save to Template" button will save these changes as a template. After confirming the setting, The user can reset the settings saved as the template, by visiting the “General Test Object” in any of the rooms and clicking on “Load Template” in ”Device Setting” screen.

Clicking on the “Decimal Places” button opens a screen named “Number of Decimal Places Settings” where the accuracy of the numbers and the number of digits visible for every parameter are determined. In the “Item Type” field, the desired section or room is selected and in the “Sample Value” field a number has been inserted as an example. The name and unit of the parameter are seen in the “Parameter Name” and “Absolute Unit” columns respectively. In the “Absolute Eng. Factor” column, the number of digits displayed is specified. For example, if number 7 is entered in this column, 7 digits of the number entered in the “Sample Value” are displayed.
All changes made on this screen are considered as default for this section in the software and applied to different rooms. For example, if "Sequencer" is selected in "Item Type" field, by making and confirming some changes in this screen, via opening “Sequencer" room and checking "Decimal Places", it can be seen that done setting considered as default. There are several audio files available in the “Alert Tone on Hardware Error” section in the “Preferences” screen which can be used as the alarm tone in case of a hardware error.


By activating the “Automatic” option in the “Style of Tables”, dimensions of table cells will be set by the software automatically. By activating the “Manual” option, the user can modify the dimensions of the cells of the tables. In this drop-down list, user chooses how table cells dimensions be set. In the “height of table cells” the height of each cell is adjusted by pixels. For example by selecting and confirming "All Cells", If you visit the “Distance” room and shot several points, you see the width of each column is equal to the title of its header and due to selecting "Manual" state its dimensions is changeable by the user. In the “Key Setting” section, by activating the “Enter like Tab in Forms” option, the user chooses “Enter” as the “Tab” key to move between the cells. By activating the “Arrow like Tab in Forms” option, the user chooses to move between the cells in the tables by using the arrow keys.

By selecting “Service System” in the “Communication Mode” section, each of the rooms on the first screen of the software, if opened, will launch as a separate exe file and each window will be used independently from the windows of other rooms which will reduce the use of system resources; however, by selecting the “Integrated System” option, if several rooms are running simultaneously, all of them will be running in the same exe file. In this case, in addition to using more system resources, if a window is running in one of the rooms, the other rooms and screens of the software will not be usable.

In the “Room” tab and in the “Report” section, the time of updating the reports in the rooms, if any changes happen, it indicates in the “Report Refresh Interval” field. For example, the test information is checked every five seconds and if there is any change the report is updated. In this section, by clicking on the “Setting” button a new window named “Report Setting” is opened. In “Item Type” the default settings can be specified to get the report from a specific room or screen.



The elements that can be added to the report by the user are located in the “Report Setting” section of this window. By checking the main option, the user can add all the subsets to their output report. If the user chooses only some of the subsets of the main option, the square sign next to the main option will be displayed as a half-filled square. In the column next to the "Report Setting" section, the user can select HTML or PDF as the format of the report preview.


By clicking on the "Advance" button, the screen is displayed more extensively, and more settings can be applied to the report. By checking each of these categories, their subcategory is opened and the needed settings can be applied. At the top of this screen, there are options used for saving the applied settings and using them again later.

For instance, if “Sequencer” is selected in the “Item Type” and some specific settings are set at default and confirmed, after entering the “Sequencer” room, selecting the “Report View” option from “View” menu and reviewing the “Report Setting” section and then selecting “Load from Template” option, you will see that the same settings are set at default for this section as well. In the "Extra Tools" section, the user is allowed to click on the "Report Generator" button and get a report on the saved test files without needing to open them. After clicking on this button, a screen called "PDF Report Creator" opens. On this screen, the user can select their test files to get a report on by clicking on the “Select Input Files” button. For example, the first two files are selected. The user can, also, by clicking on the “Select Input Folders”, select a folder including several test files. and insert them into the “Files” section. For example, “Vebko Test Files” folder is selected. By clicking on the “Clear” button, the files inserted for getting a report can be removed from the list.







By selecting the “Open Folder after Creating PDF” option in the “Other Setting” section, the folder where the file is saved will be displayed right after the report is made. In the “Output” section, by selecting the “Save Report in File Directory” option, the report files can be saved at the same directory as where the files are imported from. If the “Save all Report to Selected Directory” option is selected, the user can select a specific directory and save all their reports in that directory.



There are two options available in the “Overwrite File” section. In order to clarify this issue with an example, a file is imported for getting a report. By selecting the “Bypass Existing PDFs” option, if they’re already exists a report on a file in the selected directory, the software does not make another report on that file. The appearance of this screen is due to the prior selection of the “Open Folder after Creating PDF” option which can be disabled. By selecting the “Overwrite Existing PDFs”, the new report replaces the previous one.

In the “Report Setting” section, by selecting the “Load Report Setting from File” option, it is specified that for making the reports, the setting from the loaded files should be used. By selecting the “Load Report Setting From Template” option, the settings which are saved in the Template file will be used for making the reports. In the “Device Setting” section, by selecting the “Load Device Setting from File” option, it is specified that for making the reports, the Device setting from the loaded files will be used, while in the same section, by selecting the “Load Device Setting from Template” option the settings which are saved in the Template file will be used for making the reports. By selecting the “Include Test Object Active Test” option in the “Report Setting of Instrument” section, if a report is made on the Instrument test files, the information existing in the “Test Object” tab will be included in the report under any circumstances.




By selecting “Include Last Active Test” option, the previously saved equipment test files and the last performed test which has not been cleared by the user, by selecting “Add to Report” radio-button the report of that test is added to the report as well but if the user has added the test result to the output report, by selecting “Bypass When Added To Report” radio-button, the software does not add the test result to the output report again.


By clicking on the “Remove Signature” button in the “Extra Tools” section on the “Preferences” screen, a new screen named “Remove Signature from Report” appears in which the user can remove the existing signatures from the reports on their desired files. On this screen, by clicking on the “Select Input Files” button, the user selects their files for removing the signature. By clicking on the “Select Input Folder” button, the user can select a folder containing several report files and import all of these files into this list altogether. After the report files have been added to the list, by clicking on the “Modify” button, the existing signatures in the report will be deleted along with the framework around the report as well as the added names to the signature.




In the "Directory" tab, the default paths for saving files are specified. By clicking on any of the file formats, this default path can be changed. For example, by double-click on "AMPro-Distance Report Files", its path can be changed to desktop. To save the existing report file, open "Report View" in the "Distance” room and click on the “Export Report”. It is seen that the saving path is located on the desktop.

By checking the squares in the “Remember Last Location” column, it is specified that if the user chooses another path while storing the file, the software should remember that path. For example, if you open the “Distance” room, and set the report file saving path on drive “C” and save the file and then if you try to save the file again you can see that the saving path has been changed to that folder.

By clicking on the “Restore Selected to Defaults” button in the “Preferences” tab, the changes made to the squares in the “Remember Last Location” column are restored and reset to the default settings. For example if three squares become unchecked and two of them be selected. By clicking on "Restore Selected to Defaults" it's seen that these squares are gotten back to default state.

By clicking on the “Reset to Default” button, all settings are reset to the default values. It is possible to save the changes made to the settings of this section in a file by clicking on the “Export” button. When necessary, this file can be imported and applied to other screens. Settings related to different sections of the software are saved in the paths stored in the “Cache” tab. In order to prevent software slowdown in the long run, the software cache must be cleared. For clearing the cache of the software, the “Clear” button should be used. The “Open Roaming Directory” button opens the path where the cache is stored. In this folder, cache files can be viewed or cleared. For clearing, select all of the folders then press the delete button on keyboard.

In the "Connection & Firmware" tab on the "Setting" page, the settings for the device connection and "Firmware Update" can be adjusted. Also, the settings for the connection can be adjusted in the "Details" section. The "IP" field is used to connect to the device. In the past, the last three digits of the device's serial number were used for the fourth part of this field, but as of 15/07/2019, the last two digits of the device's serial number are used for this purpose. The "DNS", "Gateway", 'Subset Mask" and "Port" fields are used for network connections. Once connected to the device, you can change these elements and then by selecting the "Set to ATM" option the changes can be saved.

The "Serial Number" is not changeable by a user and after connecting to the device, the last three digits of the device's serial is written in this part. The "Version" field displays the current version of the device and the "Minimum Version" field displays the minimum version that allows updating the “Firmware". In the "MAC Address" field, users can use the same software to connect to two devices. If the "MAC Address" of both devices is the same, it is necessary to change one of them. "MAC Address" of a device consists of 6 2-character parts. Enabling the "Enable Update Connection Date by Device" option causes the information of this part to be refreshed continually. If the user wishes to make and apply some changes in this section, they should uncheck the mentioned option and by clicking on the "Set to AMT" option, apply the changes.

The “Connect” button is used to connect to the device,

the “Refresh Connection” button is used to connect and disconnect the device once,

the “Disconnect” button is used to disconnect the device,

the “Ping Entered IP” button is used to check the authenticity of the connection to the device via LAN.

and, finally, the “Ping Wi-Fi” botton is used to check the authenticity of the connection to the device via "Wi-Fi".

If the connection is made via LAN, by clicking on the “Ping Entered IP”, the IP which is entered in this section will be pinged.

If the connection is made via Wi-Fi, by clicking on “Ping Wi-Fi”, this IP (192.168.1.1), which is specified for the Wi-Fi of all devices, will be pinged.

“Update Firmware” is used to update the firmware of the device which is, usually, done automatically after connecting to the device. If it didn’t happen automatically, the “Update Firmware in Flash Mode” must be used. How to use this option is explained in the related animation.

The general settings of the device are adjusted in the “Hardware” tab on the “Preferences” page. In the “Fan mode” section, selecting "Silent" will change the speed of the "Fan" depending on the temperature of the switches or heatsinks of the device which is displayed on this page. But, if the "Max.Power" option is selected, the fan of the device will work at its maximum power constantly.


By activating the "Smart Delay" option, if the temperature of the device reaches 55 degrees, in the rooms such as "Distance" and "OverCurrent" where points are used for the test, the test will automatically pause and a message saying "Cooling" will be displayed on the bottom bar of the test screen. The test will not resume until the temperature reaches 45 degrees. The maximum operating temperature of the device is specified in the "Maximum Temperature" section. If the temperature of the device exceeds this value, the device will stop working completely. This value can be changed up to 70 degrees but, except for certain conditions, the user must not set the temperature above 60 degrees.

In the "Switch Off After Test" section, the user can specify how many seconds after the test is finished, the current and voltage switches should be opened. This number is set to 5 seconds by default but it can be increased up to 10 seconds.In the "Deviation" section, the reporting conditions for “Other” errors can be specified. By default, it is specified in the software that if there is a difference between actual voltage of the device and value specified in the software exceed 4 volts or the current difference goes over 500 mA, the “Other” error should be displayed. In the "Relative" section, this value is specified as a percentage of the value specified in the test. In the actual operating mode, the device uses the lowest value among these two for the error message.


In the "Binary Input Status" section, it is specified which binary is connected and which binary is not.

In the "Disable Error" section, a list of possible errors of the device is available and you can disable them.
"Select All Error Other": this error is displayed when the device is unable to produce the current and voltage asked by the user. The cause for this error can be the voltage outputs' short circuting or the current outputs' open-circuting. By opening the drop-down of each errors’ fields, any error can be disabled for a number of voltage and current outputs.
"Select All Error Self": every time before running the test, the device checks its internal hardware to determine whether it is capable of generating +50V or -50V of voltage and +5A and -5A of current. If there is a problem, the device displays a "Self" error.
"Error Thermal": this error is displayed when the temperature of the device's sensors is increased. Occasionally, the thermal sensor of one of the switches has a problem, indicating irrational temperatures such as 800 degrees. In this case, in the slider of this section, it is possible to deactivate the thermal error to continue working with the device.
"Error Over Current Binary 9": the binary 9 of the device can measure the current up to 500mA. If the input current of this binary exceeds this value, this error is displayed.
"Select All Error Over Voltage Binary": depending on the duration specified for them, if their input voltage exceeds the specified limit, the binary inputs of the device will display this error. For instance, in the 4.5V mode, if the input voltage of any of the binaries exceeds 4.5V, the device will display this error.
In the "Times For ignoring Over Voltage Binary" field, the maximum time allowed to ignore the "Over Voltage" error of the binary is specified. By default, it is set that if the time for the "Over Voltage" error is not shorter than 100 milliseconds, the device will not display any error about this matter.

This should be noted that, since "Thermal Error" and "Error Over Current Binary 9" are among the fatal "Errors" of the device, their deactivation setting will not be saved by the software and will be disabled each time the software is run, then if this "Error" needs to be disabled, the user must do this manually. The "Check RAM" section is used for testing the RAM that is used in the “AMT”. In the "Repetition" field, the number of times that a series of data are written in the RAM and erased is specified. This section can be used in case of uncertainty about the performance of the device's RAM. Since the writing and reading operations are performed on the RAM multiple times, eventually, if there is a problem in this process, the error light on the panel of the device will turn on.

In the "Earth" section, it is possible to enable or disable the "Earth" error of the device. If the "Enable" option is checked, it is necessary to connect the "Earth" cable to perform the test. Otherwise, an “Earth” error will be displayed and the device will stop working. This error can be deactivated by unchecking the “Enable” option. But, it is vital to note that, doing so during the test can be lethal and as it is ,also, stated in the displayed message, Vebko company will not be responsible.

It is possible to activate or deactivate the main hardware switches of the device in the “Switches” section. The switch number 1 is related to the voltages and currents of the group A output. The switch number 2 is related to the voltages and currents of the group B and VDC. By deactivating every switch, all outputs of that switch will be deactivated.

In the "Combination Cable" section, if the "Voltage" option is selected, the outputs of the Neutrik cable will include three current and three voltage phases. But if the "Current" option is selected, the output of the cable will consist of two three-phase current groups which are used for various tests such as differential test.

The "Open VDC Setting" option is used to enable the DC output voltage of the device. By clicking on this option, the "VCD Diagrams" page opens. On this page, in the "DC Value" field of the "Apply" section, the output DC value of this port is specified. This value can be set up to a maximum of 212V DC. By clicking on the "Apply" option, the "AUX DC" port of the device will inject the amount that is specified in the "DC Value" field. The "AUX DC" output can be disabled by clicking on the "Disable DC" option. By activating the "Record Period" option in the next field, a duration of time is specified for recording the output signal of this port.

In the "Now Value" section, the amount of current and voltage produced by the "AUX DC" port is displayed. The "Max Current" field shows the maximum current pulled from this port. In the following two diagrams, the instantaneous amounts of voltage and DC current of this port are indicated. It is also possible to save the settings set on this page as a PDF file by clicking on the "Export Report" option. To reset and update the amount of the current displayed in the "Max Current" section, you can click on the "Reset Max Current" option.

By checking the "Dancing Light" option, the LEDs in front of the device will turn on in a dancing manner. This operation is to test the healthy "LED" binary inputs of the device.

The "Start" page of the software is the first page that the you face when the software is opened. At the top right is the version name of the software ("Stable", "Test") as well as its version number. If a new version of the software is provided by Vebko, when you are connected to the internet, an option, saying "New Version is Available" will appear at the top right. By clicking on this option, you can download and install the latest version of the software. Clicking on the "What's New" option opens a page in which the fixes or the features added to different versions of the software are displayed. For preparing these versions, first, Vebko experts present the software problems and suggestions to the software group. Then, after evaluating and correcting this group, the new features are displayed in detail on this page.

By clicking on the "Launch Remote Help" option, you can connect to the online software support via one of the two available methods of "AnyDesk" or "Ammyy Admin". For using AnyDesk, first, the user needs to give the 9-digit number called AnyDesk ID, which is available at the top left of the "New Connection" page, to the supporter. Then, the supporter will enter the code in the "Remote Desk" section and press "Connect" to connect to the user's "Desktop" page.


Also, by clicking on "Ammyy Admin", the "Ammyy Admin-Free" page opens. Then, the user needs to give their "ID" and "Password" to the supporter. After that, the supporter will enter this information and connect to the user's desktop.

The "Relay Modules" section contains the special software for Vebko’s relay. In the "Tester Modules" section, different relay test rooms are on the left while equipment test rooms are on the right.

You can adjust the settings for all test pages by clicking on the "Preferences" option. In all rooms, you can see two letters and numbers at the top right of the screen:

1- "M" means that how many megabytes of the ram is occupied by this page.

2- "AS" which is "Auto Save" means that if you make a change to the file, after passing the time that is specified in front of this option, the software automatically saves the status of the file and if there is a previous file, the new file replaces the existing one. After the filed is saved, a message saying "Auto Save Done" will be displayed at the bottom of the page.

The software repeats this saving process every 30 seconds which can be changed in the “Auto Save” section in the "Room" tab on the "Preferences" page. This saved file is displayed in the "Recovery" option. If the software crashes for any reason, by clicking on the "Recovery" option, you can recover and view the last saved version of your file. This is an advantage for the software because the "Ctrl+Z" key combination recovers the changes based on this 30 seconds and if the software crashes, the test file will not be destroyed.


By clicking on the "Security", two options open. "Clear Cache" option which is used to clear the cache of the software.

When you install the software for the first time, you should click on the "Open Source Location" option to run both "AMPro Application" and "AMPro APP Launcher" files as an administrator. To do this, right-click on the mentioned files, then select "Properties" and in the "Compatibility" tab, check the "Run this program as an administrator" option. After that, you can close the window.

The "Contact us" option provides you with ways to connect with experts at Vebko.

The "About" option, provides the user with information about Vebko company.

By clicking the "Help" option, provides the user with the reference manual and of the tester and the software.

Various tasks are performed in the "AMT" section. You can directly connect or disconnect to the device by holding on the "Control" button and left-clicking on this image. The figure in this section indicates the connection status to the device. By double-clicking on this section, it is possible to enter the "Preferences" page directly. If you want to connect to multiple devices at the same time, right-click on this section and select the device name to connect to it. By doing this, the device name will appear on the left of the screen.

Generally, there are two types of testing rooms available on the main page of the software.
The “VCC” room: this room provides you with a place to perform a series of different tests. Also, it is possible to perform several tests from different rooms in a continuous manner in this room.

The other rooms including “AMT Sequencer”, “AMT Distance”, “AMT Transformer” and “AMT Differential”, have the same main page. The only difference is that in these rooms, a few features are made hidden or shown according to the needs. For example, in the “Hardware” section in the “Sequencer” room, there is an option for “Calibration” but in the same section in the “Distance” room, this option is not available and has been made hidden.

All necessary features for performing different tests are available in the “Sequencer” room. “Table View”, “Detail View” and “Measurement View” are the important windows of this page while the “Table View” and “Measurement View” are not available in the other rooms. Also, the “Detail View” window in this room is different from the “Detail View” in the other rooms like “Distance”.
In rooms like “Overcurrent”, “Distance” and “Differential”, which are also called the “Medium” rooms, the “Table View” and “Measurement View” windows are not available but instead, the “Test View” window is available in these rooms. Generally, the “Test View” window is the same in all “Medium” rooms. In the “Test View”, some options are made hidden or shown according to the needs. For example, in the “Differential” room, the “I diff” and “I bias” fields are available, while in the “Distance” room, the “[z,Left:0,Top:0,Right:0,Bottom:0,Scale:50%]” and “phi” fields are available.
Some parts like “Trigger” and “Binary Output” are the same in all rooms because changing their parameters was not deemed to be necessary. Those rooms which are used for testing the equipment are called “State Sequencer” and the windows available in the “Sequencer” rooms are, also, available in these rooms. Moreover, the “Instrument View” window, which is not available in the “Sequencer” rooms, is added to these rooms. Some windows including “Vector View” and “Signal View” are similar in all rooms and have the same structure but it is possible that some of their information is made hidden or shown according to the needs.
By opening each room, a page which contains several windows opens Along with these windows there is the toolbar and the status bar. After closing these windows, the explanation of different parts of the menu and the toolbar will be given in the video This toolbar is the same in all sections and the “Sequencer” room has another toolbar which is exclusive to it.

To open a new room, click on "File" and select “New". You can also access the files that have already been saved by selecting “Open". Use “Save" or “Save as" to save a file. Use “Recent" to access the files that have recently been saved.

Use “Security” to encrypt a file the encryption has three levels the first level, full permission, allows users with an encryption code to access the settings, run the test file and save the output.

In the second level, users cannot change the settings but can only run the test file and save the output in the third level of encryption, users can only view the file.

Use "Export Report" to save the test file as PDF. Use “Exit" to close and exit the test page. Click on “View" and select “Toolbars" to see different modes of the toolbar Add or remove the check mark to show or hide the icons.

Use “Status Bar" to hide or show the status bar at the bottom of the page.

The "Units" option has three parts:

Choosing time between “Cycles" and “Seconds”. By default, time is displayed in terms of seconds while by selecting “Cycles” the time is displayed in terms of cycles. Determine the cycle time in “Test Object", the “Device” block and then in the “f nom” field. If this frequency is changed the time is change accordingly.

Choosing Parameter’s values between “Absolute” and “Relative” By default Parameters' values are “Absolute”. use “Relative” to see parameters' values dependent to nominal value The nominal values for voltage can be determined in the “Test Object”, “Device” and in the “V nom (secondary)” field, for current in the “I nom (secondary)” and for frequency in the (f nom) field.

Choosing values between “Primary” and “Secondary. By default, software values are in terms of secondary. To see the values in terms of primary use the “Primary” option these values can be determined in the “Test Object”, “Device” block, “V primary” and “I primary” field

The “Communication Logger" option is for the communications of devices and laptops that the Vebko’s programmers use. Different windows in the “Sequencer” page including “Vector View" and “Signal View” are shown in this list

Use "Revision History" to access all of the files that were saved by the program every 30 seconds. By selecting each file, you can reset them as needed
Select “Start/Continue" option in the “Test" menu to run the test. To stop the test use “Stop”. Use “Clear" to remove the test results.

In the “Parameter” menu, select “Test Object” to open “General Test Object” page. Select “Report” to open “Report Setting” page.

Use “Delete all Added Reports" to remove all of the reports that have been added to the output report using the “Add to Report” option.

Using "Number of Decimal Places Setting" option, depended page opens and you can determine parameter units and determine how to display numbers

If an error occurs during the test, in the “Hardware" menu click on “Clear Error" to remove it and run the test again.

Use “Reset Hardware” to reset the device’s hardware automatically. Select “Configuration” to open the “Hardware Configuration" page. In this page output voltage and current, input and output binaries setting and extra setting is set.

Click on "Calibration" to open the calibration page. Vebko’s experts use this page for device calibration.

In the "Window" menu you can adjust the layouts. The “System Default Layout” option displays a default arrangement of windows for the software. Also the "Custom Default Layout" option displays the windows as "Default Layout" saved by the user.

The "Default Undock" option displays the windows as "Undock" and the location of each window can be adjusted.

With the "Cascade" option, the windows are in a row and behind each other. Note that these options are used when the room layout is in “Default Undock Layout”.

The "Default Layout for Transient" option is for the test mode and the "Default Layout for Quick" option is used for the "Quick" mode.

"Manage Layout...” is used to store the desired layouts, and even several "Layout" can be stored in it. To use a stored "Layout" click on its name, then select “Apply Layout" to open the "Layout“.

By choosing the "Current Style as Default" option, the page layout that is being used is determined a "Custom Default Layout"

The "Schema” option shows different states and colors for the toolbar and the background of the test page which can be selected as desired. In the "Help" menu, the "Help topics" option opens the tips of the software and the tester.


The "Shortcut keys" option shows all the shortcut keys in the software. The "About" option also gives the user information about the company.


There are icons for faster and easier access in the toolbar at the top of the screen. The first six icons are, in fact, the same as the "View" menu and the "Unit" field which are available at this page too.

The "Time in Second" and "Time in Cycle", "Relative Values" and "Absolute Values", and "Primary Values" and "Secondary Values" icons are used to select the time in seconds or cycles, to specify the values in relative or absolute values and to specify whether the values entered are primary or secondary, respectively.

By clicking on the "New Room" icon, a new window opens on the test page. If you hold this icon down by the "Control" key and then click on one of the rooms, a separate room opens without closing the current room.

By clicking on the "Open" icon, a saved test file opens. If the user wishes to search for a file with a specific extension, they can click on this icon and then select the desired room. After that, they can search among the saved files in the selected room.

Also, the “Save” icon, saves the test file. These icons show the different windows on the “Sequencer” page.

In this section, you can see the “Report View”, “Test Object” and “Hardware Configuration” icons. By clicking on any of these icons, the user is referred to the respective page.

By using the "Number of Decimal Places Setting" icon, it is possible to specify the number of integers and decimal digits displayed by the software as well as the quantity of that unit.

By using the "Static Output" icon, it is possible to specify that the device will only inject the values of a "State" (a selected "State"). The icons in this section are used to "Stop", "Start", and "Clear Test", respectively.

The phrase "Ready to Connect" means that the software is ready to connect to the device. The "Refresh" icon disconnects and connects the connection one more time to fix any existing problem with the test.

This row of the toolbar is only for the "Sequencer" room. If there are several "State"s, it is possible to select the desired "State" by using these icons and even jump to the first or last "State". By using these icons, it is possible to select the first, previous, next and last "State", in the mentioned order.

The "New State", "Delete State", "Copy Before", "Copy After" icons are used to create a new "State", delete an existing "State", create a "State" similar to the previous "State", and create a "State" similar to the next "State", respectively.

The "Insert Z shot" icon creates three "State"s as an impedance test. The "Select File to Merge" icon inserts the "State"s of other saved files in this room and adds them to the "State"s existing in the file. By using the "Copy & Paste State" icon, it is possible to copy a "State" and "Paste" it somewhere else.

By clicking on the "Copy & Paste State", a new page opens with the same name. Then, the desired "State" is selected from the list and in the "Options for Paste" section, the location for pasting and its number are specified and, finally, "Ok" is clicked.

The "Correct Name of State" icon restores the default name of "State"s in case they have been changed. By clicking on the "All State" icon, the waveform of all the "State"s is displayed in "Signal View".

If the user only wants the current "State" to be displayed, they should click on the "Current State" icon. Of course, the "Current State" has other uses too, especially in transient state testing which will be explained in the future video tutorials.

The next icon shows the status of receiving the binary signals from the inputs of the device in case they are enabled. The icons in the status bar show the status of the voltage and current ports. If there is something wrong during the test with any of the ports, the corresponding icon in this section turns red.


The phrase "St. Cond. "Immed" indicates the start time of the test, run by the user, which can be displayed instantaneously after clicking on "Start", in accordance with receiving signals from the binaries or the "GPS" clock time.

The phrase "CT: Dir. Line" indicates the location of the "CT" on the line which can be on the "Line" side or on the “Bus bar" side. This is important in tests such as "Distance" when injecting current.

The phrase "Running Room: Noun" indicates which room of the software is running the test. Also, this figure shows the connection status of the device.

In the case of connecting to several devices at the same time, from this section, it is possible to specify that to which "AMT" device should this room be connected for performing the test.

In addition to “New” option, this option is designed to ease the test and save time. It is possible for you to create a default “Template” in accordance with your needs and when necessary, by loading this “Template” apply the saved changes.

In “Custom Template” you can create a “Template” by using “Device Template”, “Report Template”, or “Decimal Places Template” modes. This can be explained by creating a “Template”. To do so, in “Preferences” in “Room” section, you can create a “Template” from “Device Template” and “Template Report Package” or “Decimal Places Template”.

For example, after entering “Preferences” window, in “Decimal Places Template” section for “Sequencer” room, select and apply “Volt” as the unit for voltage in “Template”. Enter “Vebko” in “Name” and “Manufacturer” fields in “Device” section, and then by applying the settings, save these changes as a “Template”. Now, to use these “Templates” in the rooms, you need to select the saved “Templates”. If you open “Decimal Places” in “Sequencer” room, you can see that the changes made in “Preferences” is not applied to this section. Now to apply the “Template”, by clicking on “New Based On Template” in “New” window, you can see “Custom Template” and “Saved Template” radio buttons. By selecting “Custom Template” radio button, you can specify which of the three mentioned sections is to be applied to the new file. Then, by confirming the settings by selecting “Ok” you can view the applied changes.

In “Saved Template”, you can specify the default necessary windows, arrangements and the number of fields. To better understand this, select “State Type Continuous”, open “Vector View” window and specify the desired size. Then, select “Save as Template” from ‘File” menu and select a title for it. If you wish to apply your specified “Template” in a new room, you need to click on “New Based On Template” and select “Save Template” radio button. In the end, select the desired “Template” and apply it.

After explaining the toolbar, it is necessary to give an introductory about the basic concepts in the system. Each room includes four main parts: 1- “Number of Decimal Places Setting” Display settings for numbers and quantity units in the test rooms. 2- “Hardware configuration” For the Device hardware settings. 3- “Test Object Parameters” To access the relay settings. 4- “Report View” To access the output and the test reports. Given these four components and the nature of each window and its functions in every room, you can run a test.




Click on the “Number of Decimal Places Setting” to open its page. In this page you will find the names of the quantities in the “Parameters Name”. You will find the units of every quantity written in the “Absolute Unit" block and they can be changed. The “Absolute Eng. Factor" shows a Number of meaningful figures, for example, if you enter the number 545569 in the “Sample Value” and enter the number 3 in the “Absolute Eng. Factor" block, the program shows 546KΩ which is also displayed in the “Absolute Display” block. If you enter the number 2 in this block, the number displayed in the “Absolute Display” block is 550.00KΩ.


"Absolute Accuracy” block shows the number of decimal fractions rounded up. For example, if you enter the number 5.235 and enter the number 2 in the “Absolute Accuracy” block, the final number is 5.2.


Now, in this case, if you enter the number 5 in “Absolute Eng. Factor”, the number 5.2400 is displayed in the “Absolute Display” which shows 5 meaningful figures that the last two digits are rounded up corresponding to the “Absolute Accuracy” block.

The blocks “Relative Accuracy”, “Relative Unit", “Relative Eng. Factor" and “Relative Display” also have the same functions but only for relative values. For example, if the voltage unit in “Absolute Unit" is VATR and in the “Relative Unit" is HYU, clicking on “OK" shows that the voltage unit is changed and changing the mode from “Absolute” to “Relative” has also changed its unit.


After setting the "Number of Decimal Places Setting", it is necessary to get familiar with a number of concepts as well as the method for initializing the software. Generally, there are three methods for entering the information. 1-The information that is entered in the tables. 2-The information that is entered in a separate cell where only entering numbers is possible. 3-The information that is entered in a separate cell where only entering text is possible. The point is that it is not possible to enter any information in those cells which are "Read only" in conditions such as "Line-Line" mode.

If you double-click on a cell, the content inside the cell becomes highlighted and while entering the information, its unit of quantity remains stable. In these cells, there is a space between the entered number and its unit which makes a better view for the user. By holding the mouse on each cell and clicking on it, the minimum and maximum numbers which can be entered in the intended cell are displayed. Close the "Measurement View" and "Detail View" windows and open the "Vector View" window. Then, right-click on this window and select "Show" in the opened list and check the "Line-Line" option so that the linear values are displayed on this window.

Now in the "Table View", enter “23.00" for the second phase voltage with zero phase. You can see that the value of "VL1-L2" in the "Vector View" window is zero. Now, enter "23.0001" for the first phase in the "Table View". Then, you can see that in the "VL1-L2" linear voltage field, the number "100µV" is displayed while in the "Table View", both first phases show the same value of (23.00). The number "23.0001" is in the memory of the software but since it is specified in the "Number of Decimal Places Setting" that only four meaningful numbers should be displayed, the number "23.00" is being shown while the original number is "23.0001" which is stored in the memory of the software. If you double-click on the first phase, and after it gets highlighted, press "enter" on your keyboard, this time the number "23.00" gets recorded in the software and, also, the linear voltage amount changes to zero.

If you enter "23.2568" in the first phase, the "VL1-L2" linear voltage field will display the number "256.6mV" while in the "Table View" the number "23.26" will be displayed which means that, not only according to the "Number of Decimal Places Setting", only four meaningful digits of this number are being displayed, but also, this number has been rounded. It is also possible to use measurement units while initializing. For example, you can enter “10m” instead of the number "0.01". In this case, there is a space between "m" and "V" after pressing the "enter" button, the "m" acronym sticks to the quantity unit and the "Space" gets removed in order to make a better view for the user. In some cells, after entering the intended value, a message is displayed saying that the entered value is above the allowed limit. In this case, there are two possibilities:

1-In some cells, after clicking on the "OK" option, there is another message displayed saying that if you select the "No" option, the entered number will not be recorded in the cell and the previous number will replace the new one but if you select the "Yes" option, the new number will be recorded and the cell turns red, indicating an error in the recorded number.

2-In some other cells, if the entered number is above the allowed limit, if you click on the “OK” option in the displayed message, the software will not allow this number to get recorded in the cell and uses the previous number instead.

In addition to directly entering a number, it is possible to use mathematical expressions and operations to enter a number in the software. For example, if you "1/256", which the software will automatically calculate and put the result in the cell. Or you can enter a mathematical operation in the cell, like "sin(45)*sqrt(25)" which is the amount of "sin" in radians. The point to note is that it is not possible to enter mathematical operations as something like "11m*1" and no measurement units are to be used in mathematical operations.

By clicking on "Hardware Configuration", a new page with the same name opens where the settings for voltage and current outputs, binary inputs, and outputs of the device as well as some other settings in "Extra Setting" are set. In the "Analog Output" tab, the settings for voltage and current outputs, activeness or inactiveness of outputs, labeling them and displaying the actual values for the output signals of the device are adjusted.

In "Voltage and Current Output" sections, the maximum receivable voltage and current from the outputs of the device are specified according to their wiring, which the users can use depending on their needs. By selecting any of the options, a figure of the wiring for receiving the required voltage and current is displayed in a box in the middle of the page. For example, by selecting single-phase 300 V, to receive up to 300 V with a 400 mA current, the user needs to do the wiring according to this figure. In the "Current Output" section, there is some information about wiring. For example, in the first wiring, there are 6 32 amp current Outputs. In this case, a maximum of 32 amp with 3 V is fed by every phase and up to 5 amp with 12 V is receivable from the current outputs.

In the "Show Actual Value" column in "Voltage Output Signal” and "Current Output Signal" sections, it is possible to activate displaying the "Actual" value of output signal in the "Signal View" window. To do this, you need to change the value of the cell of your intended signal in the "Show Actual Value" from "False" to "True". For example, if the "Show Actual Value" of "VL1-E" signal is changed to "True", by running the test, it is observed that there are circles on the waveform of its signal.


In the "Output Label" column, it is possible to specify a "Label" for each of the outputs. In addition to the labels in the drop-down field, it is possible to add new label by typing it.

In the "Output Target" column for each of the outputs a target will be specified. In selecting an "Output Target", it is important to note that each of these "Output Target" has a meaning. For example, if "VL1-E" is selected for the first output of the "voltage output A" and "IL1" for the first output of the "current output A", by selecting "Set Mode: Z-I const", the software divides the 2 volts of "VL1-E" into 1 amp of "IL1", which are the first output of the "voltage output A" and the first output of the "current output A", respectively, to simulate phase to ground fault with a 2 ohm fault impedance. Now, if, in the "Hardware Configuration" page, "VL1-E" is selected for the second output of "voltage output A", in simulating the fault impedance of the previous example, the software, again, divides the 2 volts voltage of "VL1-E" into 1 amp current of "IL1", except that this time the voltage of "VL1-E" and "IL1" is injected from the second output of the "voltage output A" and the first output of the "current output A", respectively. Also, it should be noted that if "VL3-E" is selected for the third output of the "voltage output A", and the same "Output Target" is selected for the single-phase output of the "voltage output B", the third output of the "voltage output A" changes to "Not Used" and this "Output Target" is selected for the single-phase output of the "voltage output B". This means that each of the available "Output Target" can only be selected for a single output.




As another example, in the "AMT Distance" Room, the software uses "voltage output A" and "current output A" to simulate fault impedance. If the user wants to use the "current output B" instead of the "current output A" for current injection, they should select "IL1", "IL2" and "IL3" as the "Output Target" for the three outputs of the "current output B" in the "Hardware Configuration" page.

Under the "Binary Input" tab in “Hardware Configuration" window, the settings of the 10 binary inputs of the device are set. Binaries 1 to 8 are located at the bottom of the device from left to right. Binaries 9 and 10 are located in the upper right row of the device. Binaries 1 to 8 are of the voltage type. The binaries 9 and 10 are used for measuring AC and DC currents (with 50micro precision) up to 500mA and 240mv respectively.

Activating and deactivating a “Binary Input”: Activation or deactivation of binaries is determined in the "Binary Input Target" column. For example, you can activate binary number 3 by clicking on its relevant field. In this case, a list of different targets is displayed and you can select one depending on your test's needs. Note that the binary inputs of the device may be sensitive to your selected target. While testing the equipment and changing the hardware configuration of the device, you should note that the label of binary inputs must be selected in accordance with the information in the test configuration. By clicking on this field and selecting "Not Used", it is possible to deactivate the corresponding "Binary Input". It is also possible to use the "N" shortcut to deactivate a "Binary Input". You can activate or deactivate the binaries 1 to 8 at the same time by using the square above the binaries' numbers column.


Selecting a “Label” for a “Binary Input”: You can select a "Label" for your desired "Binary Input" in the "Binary Input Label" column. By default, the "Label" selected in the "Binary Input Target" is listed in this part but the user can, also, select a different "Label" from the drop-down list or enter a new "Label" in Persian or English. It should be noted that in "Report" and binary signal display in "Signal Label", the "View" specified in this section is displayed as the label for the signal. This also applies to "Analog Output" and "Binary Output" and in the "Report" the "Label" is displayed for the desired parameter.

Specifying Binary-Input Type: In the "Binary Input Type" column, the type of binary inputs number 1 to 8 is selected from two generic modes of "Dry" and "Wet", which is by default set as "Dry". In this case, there is a 2V DC on the two ends of "Binary Inputs" (Zero Mode) and by short-circuiting the output contacts of the relay, the voltage decreases to zero and the digital signal 1 is detected by the binary.

In the "Wet" mode, the binaries number 1 to 8 are set to measuring mode. There are three levels for this mode. In the "Wet Max 4.5(V)" level, the "Binary Input" measures up to 4.5V (with 1mV precision), up to 30V (with 3mV precision) in the "Wet Max 30(V)" and up to 188V (with 10mV precision) in the "Wet Max 188(V)" level. When the "Wet" mode is selected for "Binary Input", the "Threshold" column is activated. In this column, a threshold is specified for "Binary Input" status. For example in the "Wet Max 188(V)" level, if the threshold is set to "50", if the maximum input voltage is less than 50V, digital signal 0 is detected while with a maximum input voltage more than 50V, digital signal 1 is detected.

If the "Binary Input" is used for measuring the voltage, it is important to select the maximum level of "Wet" measurement. For example, to measure a 23V voltage, the binary level "Wet Max 30(V)" must be selected. If “Wet Max 4.5(V)" is selected, when the voltage exceeds 4.5V, the software gives an "Over Voltage Binary" error message and if the "Over Voltage" error has not been enabled, by exceeding the specified voltage, the binary input operates in a dual-purpose mode which means that it records the logical signal (pick up or trip) and, also, measures the voltage and by injecting AC voltage, the binary turns into repetitive zeros and ones. In this case, the memory of the software gets full and a "Result is Full" error is displayed. Also, if the "Wet Max 188(V)" is selected, the measurement precision is decreased.



“Reverse” column: In "False" mode in the "Reverse" column, the logic of binary’s becoming 0 and 1 is the same as described earlier. If the "True" mode is selected, the detection logic of the binary's becoming 1 is reversed. For example, in the "Wet Max 188(V)" level with a 50V threshold, if the binary voltage goes below 50V, its status is detected as 1, otherwise, it equals 0. In the "Dry", the "Binary Input" status is 1 only when it's "Open Circuit" and it's 0 in the short circuit state.


The “Show Actual Value” column: In the "Show Actual Value" column, the mode of displaying the actual voltage value of the input binary is selected from "AC" and "DC". The "DC" mode is used for situations where the input voltage of the "Binary Input" is "DC". The "AC" mode, on the other hand, is for situations where the incoming voltage to the "Binary Input" is "AC". In this case, this is done for a better display and precision of the phase calibration and frequency. "None" mode is used for not displaying the actual value of the binaries. To view the actual value in the "Vector View", it is possible to view the measured value by the binary after opening this window.


“Show Result” column: In the “Show Result” column, it is specified that whether the changes of the 1 and 0 logical signals of the “Binary Input” should be recorded by the software or not. “True” means that the logical signal should be recorded and “False” means the opposite. For example with 50 voltage threshold and “False” for “Show Result” and “Reverse” the trip signal is sent by the relay to the device. As signal of binary input 1 excess the threshold the binary changes are not recorded by “signal view” becqause the signals are not being recorded


DC Voltage Injection: In the "Apply VDC" column, it is possible to inject a DC voltage into the binary input. For example, in the "Wet Max 188(V)" with a 50V threshold, the number 100V is entered and subsequently the wiring to inject the DC voltage into the binary input is displayed. According to this wiring, the output relay contact is switched to "Wet". In this case, if the input voltage of the binary exceeds 50V, the "Binary Input" equals 1. It should be noted that it is possible to inject DC voltage only into one "Binary Input" and not into multiple Binary Inputs simultaneously. If for any reason, the output relay contact is corrupted, it may not get stimulated by the 2V on the "Binary Input" of the device; so a, for example, 100V DC is injected into it. In this case, a mild current passes through the relay contact and its short-circuiting is detected.

The “Description” column: In this column, there is some information about the condition where the binary input of the device equals 1. For example, in the “Wet Max 188(V)” with a 50V threshold, when the input voltage exceeds 50V, the binary status equals 1.

Configuration of the Binary Input 9 and 10: As mentioned before, "Input" 9 is used for measuring currents up to 500mA and "Input" 10 is used for measuring Voltages up to 240mV. The columns "Show Result", "Reverse", "Threshold", Apply VDC" and "Description" are disabled for these two binaries. In the "Binary Input Type" column, the precision of "Input" 9 is set. On the back of this binary, there are four 1ohm, 20ohm, 100ohm and 1megaohm resistors which are used to measure the current in different ranges. By selecting any of these resistors in the "Binary Input Type" column, the 500mV voltage is divided into the resistor and the measurable current is calculated by the binary. It is, also, possible to display the actual measured current and voltage value in “DC” or “AC” in the “Show Actual Value” column.


Under the “Binary Output” tab in the “Hardware Configuration” window, the settings related to Binary Outputs of the device are set. “AMT 105” has four Binary Outputs and on the back of each of them, there is a 10amp/240V relay. Activation or deactivation of “Binary Output” is determined in the "Binary Output Target" column. For example, to activate “Binary Output 1”, by clicking on the related field, it is possible to select a target according to your need from the drop-down list. For example, for Open / Close command of power keys, you can select “CB52a” and “CB52b”. To deactivate this output, select “Not Used” in the same drop down list. By checking the square option above the device’s “Binary Output” numbers, it is possible to activate or deactivate all 4 binaries at the same time. In the “Binary Output Label” column (just like “Binary Input” section), a “Label” is selected for the activated Binary Outputs.

After setting the related settings, it is necessary to become familiar with the application of binary outputs. In the older versions of the software, the "Binary Output" was opened and closed only once in each "State" but in new versions of the software, there is a feature added that allows you to change the status of Binary Outputs up to 4 times in a state. The initial status of a “Binary Output” can be changed in several ways. 1- In the “Bin. Out” section in the “Table View” window, it is possible to change the status of a binary to close or open by clicking on while any changes are, also, displayed in the “Signal View” at the same time.

2- Similarly, it is possible to change the status of binaries in the following address: Detail View>Analog Out>Analog Output Channels>Binary Outputs. The changes are, also, applied in the “Table View” at the same time. In fact, these two sections are linked and every change is applied in both sections at the same time.

3- It is, also, possible to change the status of a “Binary Output” from “Binary Output” tab in “Detail View” section. To determine additional start/stop and other options in a state, “Detail View” section should be used. In this section, for every “State”, you can change the status of Binary Outputs up to 4 times. By entering your desired time in "1st Ch.", "2nd Ch.", "3rd Ch." and "4th Ch." you can specify the time for changing the Binary Output status. For example, in a normal situation, "Bin. Out1" is open. If number "1" is entered in "1st Ch." column, it means that after performing the test, "Bin. Out" is open for 1 second and then it closes. If "2" is entered in "2nd Ch." column, it means that 2 seconds after closing, the "Binary Output" must open. As All these changes are simultaneously displayed in "Signal View" as well. You can, similarly, determine the change time for the 3rd and 4th states of the "Binary Output" for "3rd Ch." and "4th Ch." columns.

In the Trigger column, it is possible to set a condition for executing the changes for “Binary Output” and no changes are made to the “Binary Output” until the "Trigger" condition is met and the binary remains the same. After the “Trigger” condition is met, the “Binary Output”, immediately, starts changing its status according to the specified time. By clicking on the “Toggle” column, a list of other Binary Outputs is opened and by selecting any of them, the status of the “Binary Output” will be the opposite of the intended binary. This means that whenever “Binary Out 1” is closed, “Binary Out 3” must be open and vice versa. These changes are, also, displayed in “Signal View”.



Under the "Extra Setting" tab in the "Hardware Configuration" page, the settings for the serial port of the device as well as some other operation enhancer settings are set. In tests where the test run time is longer than 100 seconds, a lot of memory is required to display the "Actual Value" in "Signal View" throughout the test. This amount of information slows down the software. By checking "Save last actual data" in "Extra Setting" during the test run, the "Actual Value" is displayed in "Signal View", for example in the last 10 seconds of the test, according to the amount of data. In fact, this option plays the role of a short memory oscilloscope. By clicking on "Maximum fan during test" during the test run, the fan of the device starts working in "Maximum fan" mode and after the test ends, it returns to normal mode. In “Binary Link Serial” field, it is possible to enter a number between 0 and 255 so that before the test begins, the device sends a command to the equipment test board through “Binary Output” number four and this board adjusts the appropriate connections for any of the equipment tests in accordance with the received command.
In this section, there is a part named “Serial Setting”. By adjusting the settings in this section, it is possible to send a serial "Packet" in each "State" via the "AMT" device. In the "Baud Rate" field, the transmitting and receiving speed (the speeds must be the same) are adjusted for making the connection. In "Data" field, the bit number of each data that is sent is specified. In this section, to identify the end of the original data, one or two bits, which are called "Stop bit", are sent. The "Parity" field is used to indicate whether the number of 1 bits is odd or even and is also used to identify the error code. In the "Initial Serial Command" section, you can write a message to identify the data exchange. After setting under the "Serial" tab in "Detail View", the sent command is written in the "Serial Command" field. For each "State" of the device, the "AMT" can send a command for the intended equipment. In fact, this section can be used in equipment test because there is an interface board between the "AMT" and the equipment being tested. By doing this while performing the test, the device sends a "Serial Command" to the board and this board adjusts the settings according to the "Serial Command". For example, send "abc" to "State1" and "cvf" to "State2".



By clicking on “Test Object”, you can open the “General Test Object” page. On this page, the settings related to “Object” or relay are adjusted. To enter the information of the relay on this page there are several ways. In the first case, the user reads all the information of the relay and enters manually. For example, to enter the nominal Specifications of the relay, you can double-click on “Device” in the “Service Setting” page in the “Nominal Values” section and enter frequency and nominal voltage of the PTs as well as the nominal current of the CTs.

Also, it is possible to enter information such as device name, serial number etc. in the “Device” section. After that, to save the information, it is necessary to click on “OK”. It should be noted that whatever is in the "Device" block on the "Device Setting" page also exists in the "Device" block Tree diagram and the values can be entered here too. For example, there is a series of information about nominal values of the device, “Substation”, “Bay”, “Nominal Values”, etc. You can also find this information in the branches of “Device” Tree diagram. This means that in the “Name plate” section, you can also find information about device’s ID or in the “Nominal Values” section, you can find information about the nominal values of the relay. If “Vebko” is entered in the “Value” field, in the “Device Name” row in the “Name Plate” section, by opening the “Device” page, this word is also recorded in the intended section.

In fact, these two sections are linked and enter changes simultaneously. After entering the nominal values of the relays manually, it is, also, necessary to manually enter the specifications of the protective function. For example, to enter the specifications of the “Distance” protective function, you can enter the related information such as tolerances, length and angle of the line by clicking on “Distance” block in the “Distance Protective Parameters” page. You can also draw the relay zones according to the catalog under the “Zone Setting” on this page. To do this, click on “New” to open a new row and then click on “Edit” and in the opened page enter the zone information according to the relay catalog and then click on “OK”. After that you can see that the zone is drawn.


By opening the “Distance” block, the entered information can be seen in the form of a tree diagram. For example, the information related to “Zone” is displayed in this section too. You should note that these sections are linked. To enter information of functions such as “Differential” and “Over Current” you can click on the related block and enter the information. After entering the relay information manually, by clicking on “OK”, you can import the settings to the software and continue the test. You can enter a value in the upper right corner of the “Value” feed and the software displays the parameters that have this value.

You can also search for your intended word, by entering it in the “Tree” section. For example, by entering “360” degrees in “Value”, the parameters that have this value are displayed and if the word “Distance” is entered, this block and its subcategories are displayed in a highlighted mode. There are two options of “OK” and “Cancel” on the bottom of the page. “OK” is used to enter the information and “Cancel” is used to cancel entering the information. If you check “Show/Hide” option on the bottom, you can change the status of the lower window to hidden or visible which will be fully explained in future videos. The important point is that some of the relays provide the user with the settings as a “Rio” file. By directly loading, all the settings of the relay are entered to the software automatically and there is no need for manual insertion of the information.

By opening a “Rio” file in notepad, you see that the specifications of the relay are <mentioned> in this file. For example, between “BEGIN DEVICE” and “END DEVICE” section, information and nominal specifications of the relay are mentioned. Or, in the “BEGIN DEVICE” section to the “END DISTANCE”, the information regarding the distance function and in the “BEGIN ZONE” section, the information regarding the relay zones are. Similarly, all the relay information is mentioned in this file.

By having a “Rio” file, you can “Load” this file in “Test Object” through “File” option. After loading, all of the information existing in the Rio file is displayed. So, the second method for entering information of relays whose software gives a “Rio” output file, is loading “Rio” file in “Test Object”. This is how the relay information is loaded in the software.

The point is that the information in a “Rio” file is fixed, meaning that it is not possible to add or delete a new block or parameter in the “Device” block. In fact, “Rio” is a fixed file and much of the "Test Object" design is related to the "Rio" file design. The purpose of "Rio" file is that, for example, each "Distance" relay be end to “Device” and “Distance” blocks and contain a series of nominal specifications, zones and a series of times. However, it is possible that the “Distance” relay itself contains thousands of parameters and not all of these parameters exist in the “Rio” file but ultimately the “Rio” output file of the “Distance” relay contains information mentioned in “Device” and “Distance” blocks. This is, also, true for “Differential” and “Overcurrent” relays. So, the “Rio” file is a fixed part of the relay settings and includes information related to “Device” block and protective functions. Also, the “CB Configuration” block is added to “Rio” files for simulation of power key operation. It is possible to add other blocks to “Rio” file. For example, by opening “AMT Distance” room from “Test Object” window it is possible to add another block, if necessary, by right-clicking on “Rio” and selecting the “Add Block” option.

After making a new block, it is possible to rename it by right-clicking on the block. Assume that a relay has two functions of “Distance” and “Under Excitation”. These functions are tested by the impedance method. So it is necessary that there are two “Distance” blocks in this section. After adding a new block, by right-clicking on it and selecting “Rename Block”, its name is changed to “Under Excitation”. By double-clicking on “Under Excitation” block and selecting “Zone Setting” tab on this page, a “Quad” zone is defined for this block according to the described settings. After that, click on “OK”.

Now that there are two “Distance” blocks, one of them should be active. If the cube next to the block is colored, it means that it is active; if it white, it means that it is not active. Now, if you click on “OK”, the information of the active distance block is displayed. Here, the “Mho” characteristic is active. Now, for activating the second distance block it is necessary to right-click on the intended block in the “Test Object” window and select “Set as Active Function”. By doing this, the intended block is activated and the previous block is deactivated and by clicking on “OK” the characteristics of “Distance” and “Under Excitation” blocks that are from the “Quad” type are displayed in the “Impedance View”. Also, in the advanced mode, it is possible to mix these two blocks. By right-clicking on each block of “Rio” file, it is possible to delete it.

Column Description: Each of these parameters has some information in their row. In the “State” column, by double-clicking on each cell, “Rio Parameter Viewer” page is opened. In the “Enabled” section, you can activate or deactivate this parameter. By deactivating a parameter, the status of its “state” changes. In the “Name” column, the name of the intended parameter is provided. In the “ID” column, there is a unique name selected for each parameter. In the “Description” column, there is an additional description provided for the intended parameter.

In the “Value” column, the user can select a value for the intended parameter. In the “Type” column, the type of the inserted data for the parameter is specified. In the “Min” and “Max” columns, the minimum and maximum allowed value for the parameter are specified. The “Formula” column is an indicator of that whether this parameter is derived from a formula or is dependent on another parameter. More will be said about this column in the “XRio” section.

How to make a Rio file by Excel: The point is that there is a series of relays that do not provide a “Rio” file as an output. To get a “Rio” file from this type of relays, click on the “Excel to Rio Files” icon on the “Rio Converter Excel” page. Then, select your intended relay from the list. In this list, you can find the name of relays whose “Excel” file exists in the created software. After selecting the relay, its related “Excel” file opens. On this page, you can enter information about the relay and after entering the information, by clicking on the “Save Rio File” option, a “Rio” file is created from the intended relay. This “Rio” file can be imported by using the “Import from File” icon and after that you can save the relay information. By selecting “Advanced” from the “View” menu, a new row is added to this toolbar page so you can add or delete new blocks or parameters manually if you decide to do that.


The first matter that should be discussed in the “XRIO” part of the instruction is the reason for turning to these files. The first reason was that “RIO” files did not have a specific set of standards for coding. For example, if from the list of “RIO” files of the relays on the “Load XRio and Rio File From list” page which is provided in the software, the () and () files are opened in the notepad, you can see that these two files have different coding and there is no specific standard to them.
The second reason was that when an "RIO" file was loaded, only "RIO" information was available. "RIO" information is that into which all relay settings can be compiled. For example, when “Distance” characteristic of the “Micom” relay is translated and the characteristic curve is formed, there is some information that is not inserted into the software. For example, it is possible that it exists in the relay of “power swing blocking” function but its information is not inserted into the “RIO” because, basically, it is not possible to do so. The third reason was that specification changes of the relay were not the same in relay and the software. It means that, if the user made a change to the translated “RIO” which was a known format, it is not clear that which settings needed to change in the relay so that it could follow the curve of specified characteristics. The fourth reason was that if a parameter was changed from the setting of the relay, it was necessary to get those settings, again, from the “RIO” relay and this file had to be loaded and translated in the software so that the relay and software settings were exactly the same.
The second important matter which is related to “XRio” is that the user needs to know the components of an “XRio” file and what happens when it is loaded in the Vebko software. To explain this a little further, a “XRio” file is loaded from the “Micom p441” relay. You can see that the first thing that happens is that a “SCRIPT FUNCTION” and a tree diagram of the settings are formed in this section of the software. In the end, the “RIO” which is a translated version of the relay characteristics is completed. We will discuss more the concept of “XRIO” and its components in future videos.

To further study the “XRio Converter” file, by clicking on “Import from list” icon on the “Load XRio Converter and Rio file from list” page, an “XRio Converter” file related to the “AREVA MiCOM P441” is loaded. After the “XRio Converter” file is loaded, it is possible to export this file from the software separately. To do this, by clicking on “File” menu, you can export the “XRio Converter” file in forms of with or without formula. In this part, for a better understanding, first, export the “XRio Converter” file without formula by using the “Export without formula….” option.

Then, the same “XRio Converter” file is loaded in the software without formula. By opening the “XRio Converter” file in notepad++, you can see that this file is written in “xml” format. In the subset of "XRio", the version and language of the file are defined. It is then observed that the "XRio Converter" file without formula consists of two main parts of "Rio Converter" and "Rio Type".

By opening the “Rio Converter” section, you can see that this section consists of another section named “Properties” where information about date and time are mentioned. In fact, the style of this type of coding is “xml” where each section opens and closes with a tag. For example, “XRio” tag is opened here and again closed in the end and the “</” sign indicates its closure. also, it is possible to open or close the “Rio Converter” tag by clicking on the square next to it. The “ScriptReference” tag is opened and closed in the same line because there is a “/>” sign in the end. The second part which is the “Rio Type” tag, contains fixed information of the relay and is the same “Rio” file as described before.

By opening this tab, it is observed that the “Rio” tag consists of “DEVICE”, “DISTANCE”, “OVERCURRENT”, “CBCONFIGURATION” blocks which are originated from the relay specifications. These blocks are the “xml” model of the “Rio” file which is included in the “XRio Converter” file. As it is written, the “Rio” tag is of the “Block” kind. By opening this block it is observed that the “Rio” block consists of other blocks. By opening this block it is observed that inside this block there is a “DEVICEMODEL” which is of the “Parameter” kind. This means that this block has a “value” of “P441 P442 P444”. Likewise, there are other parameters including “MANUFACTURER”, “DEVICETYPE”, etc. in the “NAMEPLATE” block.


This information can be observed in the “Vebko AMPro Test” software after entering the “XRio Converter” file. The information related to “XRio Converter” file is available in the “Test Object” window. In the tree diagram of this section is the “XRio Converter” block and its subsets -similar to the “Rio” Block-. Likewise, the “Device” block and its subsets are -similar to the “Name Plate” block-. In the “Name Plate” block the parameters mentioned in “XRio” are entered in the table. For example, the “DEVICE MODEL” parameter which has the value of “P441 P442 P444”, is displayed in the “Value” column of this table. As another example, in the “Rio” block in the “XRio Converter” file and in the path of “DISTANCE” and “PROTECTEDOBJECT” blocks, it is observed that the value of “LINE” is entered for “PT connection” with “ID”:”PTCONN”.

If you follow the same path in the “Test Object” window in the “Vebko AMPro Test” software, namely the “Distance” directory in the “Rio” block, you can see in the “Protected Object” table that for a parameter with “ID” :”PTCONN” in the “Value” column, “at line” is entered while in the “XRio Converter” file, “Line” was entered as the value. The reason for the difference in values of the“Vebko AMPro Test” software and the “XRio Converter” file is that the codes written in the “Rio” section, receive the values from “XRio” and then enter the corresponding values for different parameters in accordance with design of the codes, which is here “Line” for a parameter with “ID”:”PTCONN” in the “XRio” corresponds to “at line” in “Rio”.

In “Vebko AMPro Test” software, there are columns like “Name”, “Description”, etc. for each parameter which provides the user with information about the intended parameter and there may be no code for these sections in the “XRio Converter” file. Initialization of these columns in the "Rio" is in the way that according to the code written by the programer, wherever in the "ID" column the phrase "PTCONN" is written, its name is "PT Connection" and "Potential transformer connection side" is entered as described in the "Description" column for it. Also, the programer coded other columns like “Type” has mentioned it in the code to be displayed in the “Rio” section. For the mentioned parameter it is “Enumeration” which means that it is selective and the user can select a value from the drop-down field in the “Value” column.

It should be noted that for every piece of information in the “Custom” part which is not fixed, its code must be written in “XRio”. This will be more explained in future videos. Another point is that the “User Interface” mode is included in “Rio” section. This means that by double-clicking on any block of the subsets of “Rio”, for example, “Device” block, the “Device Setting” page opens where all parameters of the subset of this block can be observed and changed. These changes are, simultaneously, recorded in parameters table as well. But, if you double-click on any block other than “Rio”, a series of information about “ID” of the block as well as its name are displayed.
After identifying the problems with “RIO” files, “OMICRON” company decided to implement a new idea. According to this idea, a file format named “XRIO” was created in which a section named “Relay parameter section” was designed for every relay and all relay menus were arranged and addressed exactly the same way as in the relay software.

Another section of this file is “Additional information” which includes that necessary information which is not available in the relay software and should be read from its catalogue. For example, if you click on “General information” tree diagram on “General” block, you can see that “AREVA” is recorded as the “Manufacturer” which is not available in the relay menu but is necessary to complete the device information.


The important point in getting familiar with “XRio” is that you should know how “XRio” blocks are defined. For example, in “Relay Parameter Section” tree diagram and in the “SYSTEM DATA” block, the “Language” parameter is of “Enumeration” type and its value is defined as “English”. Now, if the “XRio” file of this relay is opened in “Notepad++”, after opening the “Custom” tag, you can see the “Setting” block, “ID_00” block and parameter with “id=ID_0001”. The “Name”, “ForeignId” and “DataType” of this parameter are “Language”, “0001” and “Enumeration” respectively. In the “EnumList” tag, you can see that, four languages including English, French, German and Spanish are available as “Value” for this section and in this case “English” has been selected.


Now, if you return to the “Vebko AMPro Test” software, you can see the exact same information in the “Test Object” section. This means that by double-clicking on “Relay Parameter Section” in the tree diagram you can see that its “ID” is defined as “SETTINGS”; then by double-clicking on the “System Data” block you can see that its “ForeginID” is defined as “ID_00”. In its parameters table, you can see that “Enumeration” is defined as “Type” for the parameters named “Language” and “ForeignID:0001”. Also, in the “Value” field there are four languages of English, French, German and Spanish available where “English” is selected by default in accordance with the displayed codes.

After an “XRio” file is loaded, the necessary settings and information of the “Rio” section are completed accordingly and the cells whose information is dependent on a formula or parameter from the “XRio” file, are turned purple. For example, the value of nominal frequency in the “Nominal Values” block is defined according to a formula from the “Formula” column and if this value is modified manually, the color of the cell changes to pink which means that there is no more a connection between the value of this cell and the formula defined for it. To make the value of this cell again dependent on the formula, right-click on it and select "Recalculate formula".

To find out about that how the nominal frequency (with purple color) is defined, first, you should select it and then click on the “Reference Map” icon to view a map of the parameters to which the frequency is dependent. By clicking on any of the boxes in this section, the parameter that affects the final value of the frequency is displayed which, in here, the frequency is taken from “Fnom”. The value of “Fnom” parameter is, itself, based on a formula and is dependent on another parameter which by clicking on the “Map” box, you can see that a parameter named “Frequency” is used. This means that, since “50” is set as the value for “Nominal Values”, the value for “Fnom” is, according to its formula, “50” too and finally the amount of nominal frequency in “Nominal Values”, according to the defined relation, is “50” Hz.

Now, if you open the “XRio” file in “Notepad++”, you can view the path that was used to find the affective parameters in the software in the codes of this file. Follow the path “Rio->Device->Nominal Value” in the codes of this file until you find “Fnom”. You can see that this parameter has a value of “50” but has a “ValueRefList” whose affective parameters are in the mentioned “Reference”. To find this parameter, you need to follow the mentioned path which is “CUSTOM.RIOPLUS.POWERSYSTEMPARAMETERS.FNOM”. You can see that type, value, unit and formula of this parameter are mentioned in this path. It is mentioned in the formula of this section that if “ID_0009=FIFTY”, the value for this parameter is 50, otherwise it equals 60. It is also necessary to define the two phrases “ID_0009” and “FIFTY”. To view the definition of these two phrases, you need to open the “ValueRefList” tag. You can see that there is a “Value reference list” mentioned for each of these phrases. For “ID_0009” you should follow the path “CUSTOM.SETTINGS.ID_00” and find the value of “ID_0009”. In this case, you can see that this parameter is named “Frequency” and its “ForeginID:0009” and is of the “Enumeration” type. Also, in the “EnumList” tag, “50” Hz is defined for “FIFTY” while “60” Hz is defined for “SIXTY”.

The explained case is a very simple example of defining parameters values of a relay for test. An another example, it is possible to select and open the “ZONE P GROUND” block from the tree diagram of the distance block and then click on “M3” to view its parameters in the table. If the “Reference Map” of the “Angle” parameter is opened, you can see that this parameter is dependent on many other parameters. By clicking on any of the available boxes in this “Reference Map”, the given parameter for address is displayed.
In previous sections, some explanations about “XRio converter” and ways of addressing parameters were provided. According to what have been said, “XRio” has a series of “Xml” codes as well as various parts such as “Script”, “Custom” and “Rio”. In “Custom”, all the information that is included in a tree diagram of the software is defined in “XRio Converter”. “Script” includes intermediate functions by using which it is easier to create or define blocks and parameters of “Custom”. “Rio” block, mostly, contains specific fixed parts some of which such as “Name” and “Description” do not exist in the codes of “XRio Converter” and are added to the “Vebko AmPro Test” software separately.
As has already been said, if the cell color of any parameter is purple, it means that the value of this parameter is obtained by using <<from>> a formula and is related to some other parameters. To investigate the relationship between parameters and the influence of each parameter on other parameters, open its “Reference map”. For a more thorough examination of “Reference map”, if you select “Frequency” parameter from “System Data” block and then open its “Reference map”, by selecting “Reference End To this Node” radio button, you can see that this parameter affects two other parameters. You can see those parameters by clicking on any of the boxes (in which your intended parameter’s address is mentioned).

As another example, if you click on “DISTANCE ELEMENT” from “SETTING GROUP” tree diagram and open “Reference map” after selecting “Zp” parameter, you can see that this parameter has influence on so many other parameters in the settings of this relay and by changing this parameter, the related ones change too. On this page, in addition to observing the relationship between parameters based on value, it is possible to specify that based on what parameter is each block or parameter active or inactive. For example, by selecting “AUTORECLOSE” block and opening its “Reference map”, you can see that this block’s activeness is related to “Internal A/R” parameter but because “Disabled” mode is selected in the “Value” column, this block is inactive as well.

As another example, if you select “Dead time2” parameter from “AUTORECLOSE” and select “Enable” radio button from “Reference map”, you can see that this parameter’s activeness is related to the four other parameters displayed on the map of this page (”Reference map”).

After getting familiar with “XRio Converter”, it is necessary to, also, get familiar with the concept of “Name”, “ID”, “Foregin ID” and “Description”. ”ID” Definition: The relay producer companies define a unique “ID” for every parameter and in all relays of a brand, this ‘ID” is used for a specific parameter; for example, in the “7UT613” Siemens relay, “ID=21015” is related to the “PROT.OBJECT” parameter. This “ID” is used in other relays produced by this company for the same parameter. Also, in connecting to the relay via Modbus protocol, if this “ID” is sent to the relay as a “Packet”, the relay will return the parameter value related to the sent “ID”.

”Foreign ID”: Unlike “ID” which is used as a standard for identification of the same parameters in relays produced by a company, “Foreign ID” is used as a means of differentiation between parameters of different relays which allows them to be used in other software’s. As an example, in “7UT613” relay of Siemens, there is a parameter named “PROT.OBJECT” defined with “ID=21015” and “Foreign ID=0105”. If the user intends to enter and analyze some models of relays produced by different companies in a software like “Digsilent”.

The interesting point is that in some relays such as Siemens, the “ID” and “Foreign ID” are different while in some other relays such as “P441”, after loading its file in the “Load XRio and Rio file from list” page, it can be seen that the “ID” and “Foreign ID” are the same. Also, in “Name” and “Description” sections there is information, provided by the producer company, about name of the parameter as well as some description about that parameter.

An introduction to “XRio” and its difference with “XRio Converter”: By clicking on the “Import from list” icon on the “Load XRio and Rio file from list” page, “XRio Converter” of a relay is selected where the information regarding the relay is complete in the “Custom” and “Rio” sections. It should be noted that it is not possible to extract the “XRio Converter” file from a relay because producer companies do not put the file in their relays. In fact, the relay producer companies never limit their relays to a single tester device such as “Omicron”.


Therefore, instead of the “XRio Converter” file, the relay producer companies provide a file with “.CSV” or “.text” format in which information of the “Custom” section along with the values set to the relay can be found. Upon extensive use of “XRio” which has been created by “Omicron” company, most relay producers decided to provide their users with “XRio” output files of their relays too. You should consider that this file is not the same as the “XRio Converter” file which is designed and written by producers of the tester device and is available in the tester software.
The “XRio” file of the relay contains “Custom” section as well as “Relay Parameter Section” and “Additional Information” blocks with the information and values set to the relay, but it does not contain “Rio Plus” and “Template Controller” sections. If, in the tester software, the “XRio Converter” file is selected correctly, after loading the “XRio” file of the relay in the “XRio Converter”, the settings and necessary information of the relay are completely imported to the “Rio” section.

Some more points regarding “XRio” and “XRio Converter” should be mentioned: The first point is that if the “XRio” file of the “7SA522” relay is opened in “notepad++”, by opening the “Rio Converter” tag it can be seen that unlike “XRio Converter”, there are no “Script References” functions in this section. Einige weitere Punkte zu „XRio“ und „XRio Converter“ sollen noch erwähnt warden:

The second point is that in the “Custom” tag, only information regarding “Setting” block is available which is the same as “Relay Parameter Section” in the software and in some relays such as “7SA522”, the information regarding “Additional Parameter” is also available which is the same as “Additional Information” in the software. Also, the information regarding “Device” block has been made available in the “Rio” section by a producer of the relay.



The third point is that if the “XRio” file of a relay is selected and loaded by clicking on “Import from file” and without “XRio Converter”, it can be seen that the mentioned sections are available in the “XRio” section of the software but because of not using the “XRio Converter”, the values of “RIO” section are not linked with the “XRio” information and only the “DEVICE” section has been completed according to the information of the “XRIO” file.

The last point is that if the “XRio” file of a differential relay such as “7UT613” is loaded in a universal room such as the sequencer room, in the “Rio” section, the blocks other than those completed according to the settings of the relay and information of the loaded “XRio” by “XRio Converter”, like “Distance” block which are entered to the software by the designer of the tester are empty of information because in the “XRio” file of the relay there is no information about them.
After getting familiar with “XRio” file that is provided by the relay as an output, it is necessary to get familiar with other sections of this file. First, open the “XRio” file of the “7SA522” Siemens relay with “notepad++”. In this file, the relay provides the user with the information regarding the “Setting” as well as the values that are “Set” to the relay. As it has been said before, in this file, unlike “XRio Converter”, there are no “Script References” functions in “Rio Converter” tag.

The information related to “Relay Parameter Section” block with “ID=Setting” can be found in the “Custom” tag while the relay parameter information is available in its subcategories. For example, you can find “ID=PID_16611”, “Description=Setting Group Change Option”, “Foreign ID= 0103”, “Data Type= Enumeration” and “Enum List” in the parameter with “Name= Grp Chge OPTION”. Moreover, the information regarding “Device” block is mentioned in the “Rio” section.

Entering relay information in the software: Before loading the “7SA522” relay settings in “Vebko AMvPro Test” software, it is necessary, the “XRio Converter” file related to “7SA522” Siemens relay, which is available in the “Vebko AMPro Test” software, to be loaded. By clicking on “Import from list” icon, the “Load XRio and Rio file from list” page opens. On this page, in “XRio” mode, the model of “7SA522” relay is entered in the “Search” field. Then, its “XRio Converter” should be selected. After this file is loaded, the “XRio” file of the relay should be entered. To do this, click on “File” menu, then select “Load Relay Setting”. After that, select “XRio” relay output format from “Relay Config Type” field.


In the “Config file path” the path to the “XRio” file is determined and the “XRio” file is selected. In the “Matching Algorithm” section, the user needs to specify the type of information that is to be loaded from the “XRio” file to the “XRio Converter”. If “Equal ID” option is checked and the other options are unchecked, then, only those parameters of the relay whose “ID” is the same in the “XRio” and “XRio Converter” files are loaded in the software. By clicking on “OK”, a message is displayed. In this message, the phrase “Parameter Values Imported” shows the number of parameters that are loaded in the software and their “ID” is the same as the “XRio Converter”.

Also, the “Different Names” phrase shows the number of loaded parameters that have the same “ID” but whose “Name” is not the same in “XRio” and “XRio Converter” files. The phrase “Corrected Names” shows the number of parameters whose “Name”, being different, is corrected by the software in accordance with the “XRio Converter”. The phrase “Errors” shows the number of erred parameters. The error can have various reasons; for example, the “Type” of a “Text” parameter can be specified as “String” in the “XRio Converter”. The phrase “Corrected Errors” shows the number of parameters whose error is corrected according to the “XRio Converter”. The phrase “Duplicate IDs” shows the number of parameters that have the same “ID” or “Foreign ID” in “XRio Converter” or “XRio” file. In such a case, Vebko software does not load the values of these parameters.

After clicking on “OK”, the relay information is loaded in the “XRio Converter”. After the relay information is loaded, the parameters entered on the left side are displayed in “Relay Config Log” field at the bottom of “Test Object” page while “xml” format of the “XRio” file is displayed on the right side. For example, the “Grp Chge OPTION” parameter is loaded in the software with no problem or the name of “RG/RL(>Z1)” parameter in “XRio” file is different from its name in “Xrio Converter” file.


Load Relay Setting Page: By reopening “Load Relay Setting” window, after determining the format of the relay file and selecting the path of “XRio” file, by clicking on “Advanced View” option, a window with the same name opens. Tree diagrams and the “xml” format of these two files are located at the top and bottom of this page, respectively, in a way that the “XRio” file of the relay can be seen on the right while the “XRio Converter” file can be seen on the left. If “Show XML documents” option is checked, these two files are, also, displayed as “xml”. For example, in the “XRio” file of the relay in “CUSTOM” block, the “Grp Chge OPTION” has “ID=PID_16611”. This parameter has the same “ID” in “CUSTOM” block in the “Xrio Converter” file of the software. As another example, a parameter in “XRio” file with “Id=PDI_25555” is named “50(N) – B1 instBl” while in “Xrio Converter” file the same “ID” is named “50(N)-B1 Pil/Bl”. This is why this parameter is placed in “Different Names” category.


In “Matching Algorithm” part of the “Load Relay Setting” window, if the “Equal Foreign ID” option is checked, the parameters whose “Foreign ID” is the same in both “XRio” and “XRio Converter” files of the relay, are loaded. If the “XRio Contains Setting Foreign ID” and “Setting Contains XRio Foreign ID” options are checked, the parameters whose “Foreign ID” in “XRio” file includes some additional parameters, such as a letter or a half-space, are loaded and vice versa. For example, a parameter’s “Foreign ID= 109A” in XRio file while the same parameter’s “Foreign ID= 109A-B” in “XRio Converter” file. If the “XRio Contains Setting Foreign ID” option is checked, this parameter is loaded in the software and vice versa.

The “Equal Code of Foreign ID (PCM600)” option is for “ABB” relays. There is no connection between the “Foreign ID” of relay’s “XRio” and “XRio Converter” file in “XRio” file of these relays but in some conditions, the “Foreign”s in the “XRio” file of the relay and “XRio Converter” file are connected. For example, on the “Test Object” page, by clicking on “Import from file”, first, an “XRio Converter” related to the “ABB REL 65f0” is loaded; then, by clicking on “File” menu and selecting “Load Relay Setting” option, the “XRio” file related to this relay is selected. Also, in the “Matching Algorithm” tab, only the “Equal Code of Foreign ID (PCM600)” option is checked. By opening the “Advanced View” page, both files are displayed as “xml”.

As an example, a parameter named “BIM_3” with a specific “Foreign ID” is selected in the “XRio Converter” file while this parameter has a different “Foreign ID” in the “XRio” file of the relay. But it is seen that a part of the “Foreign ID” is the same in both files which means that the eight first characters and then the four second, third and fourth characters and the twelve fifth characters should be the same in the “Foreign ID” of both files so that this parameter is loaded in the “XRio Converter”. Then, by clicking on “OK”, it is seen that “2179” parameters are loaded in the “XRio Converter”.


To write the “XRio Converter” file, it is necessary to get familiar with some concepts. To begin, load “XRio Converter” of “7SJ62” relay in “Test Object” window. By clicking on “50” block in the path of “50/51 Overcur”, “Setting Group A” and “Relay Parameter Section” on tree diagram of the “XRio Converter” file, parameters of the “50” block are displayed.

Description of a block’s specifications: By double-clicking on “50” block, the “Rio Parameter Viewer” window opens; you can find “ID”, “Name” and “Description” of a block in “General Settings” section. Also, it is possible to specify a “Comment” and “Foreign ID” in every block. In the “Enabled” section you can see whether a block is enabled and if it’s dependent on a formula. By clicking on “…” option, “XRio Formula Editor” window opens.

On the right of this window, a formula is written for this block. “References” section includes “Ref. Enums” and “Ref. Params” sections and whether the “50” block is enabled depends on parameters and the “Enumerations” added in this section. To add a parameter, click on “+” option and select a parameter from the “XRio” tree diagram on the “Add Ref. Param” window; its details are displayed in the “Details” section. Details include “Name”, “ID”, “Description”, “Value”, “Data Type”, RefParam Name” and “RefEnum Name”. “Ref Enums” of this parameter are displayed in the form of a tree diagram at the bottom of the page.


By clicking on “Add RefParam” and “Add RefEnum” options respectively, the selected parameter and its “RefEnum” are added to the “References” section. After adding the parameters to the “References” section, the formula should be entered on the right side by using the “ID” of the added parameters. Also, you can use the toolbar available on this page to write the formula. In the “Result” section, the final formula along with the type of acceptable data and the result of this formula are displayed. After writing the formula, you should click on “Test” option. If the formula is written correctly, a notification “Test was successful” is displayed.


Description of a parameter’s specifications: If you double-click on one of the parameters from the “State” column, for example, “50-3 PICKUP” parameter, the “Rio Parameter Viewer” window opens. In the “General Setting” section, just like the “Block” section’s description, the same info, such as “Foreign ID” and “ID” are displayed but this time for a parameter. The difference is that this time there are “Value Properties” and “Display Properties” sections as well. In the “Value Properties” section, the value of a parameter, as well as its type and maximum / minimum allowed values are mentioned. Also, it is possible to depend on the value of a parameter on another parameter by using the formula.


In this case, its formula is displayed in the “Formula” field which is exactly similar to the “Block” section. If the value of a parameter depends on another parameter, its cell is purple. In “Display Properties” section, the settings related to how the value of a parameter is displayed are set. In the “Unit” field, the unit of the parameter and in the “Digits after decimal” field, the number of decimals displayed the “Value” field is specified. In the “Multiplier” field, it is possible to specify a coefficient for unit of the parameters. For example, if unit A is specified, by selecting coefficient K, this parameter is displayed in kilo amperes.

To write an “XRio Converter” file in the “Test Object” page, first, you need to add a block. To begin, right-click on “Custom” block and select “Add Block”. Also, you can use “Ctrl+B” Combined key to add a block. Likewise, another block is added to the subset of “Custom” block.

Then, the blocks should be named; to rename the blocks, right-click on “Custom” block and select “Rename Block”. “7sj62” is selected as the name for this block which is an example of an Over current relay. It should be noted that you can also use “F2” shortcut key to rename a block. The blocks “Block1” and “Block2” are named “Relay Parameter Section” and “Additional Information” respectively according to the relay menu.

After naming them, you should specify “ID”, “Name”, etc. for each of the blocks. By double-clicking on “7sj62” block on “Rio Parameter Viewer” page, “ID=CUSTOM” and “Name=7sj62” are specified. You can also specify “Description= Custom defined relay parameters”, “Foreign ID” and “Comment” for this block. In “Enabled” section, by selecting “Enable” it is specified that this block is active (enabled). Then, click on “OK” to save the changes. Likewise, double-click on “Relay Parameter Section” and specify “ID=SETTING”. Also, for the “Additional Information” block, specify “ID=ADD_PARAM”. It should be noted that only capital letters are accepted as “ID” and it is not possible to use characters such as “()”, “{}”, “/” etc. the only allowed character is “_”.

Next, the “Relay Parameter Section” block is selected and three more blocks are added to its subset. The first block is named “Device Config” and by double-clicking on it, “ID=DC” (short for Device Config.) is specified. To add a parameter to this block, right-click on it and select “Add Parameter”; then select the parameter type from the options available in the “Enumeration” on the “Parameter Type” window. Then, the list of “Enumerations” of this parameter is specified on the “Edit Enumeration Items” window and for each “Enumeration”, “ID(string)” and “Value(string)” is entered. For example, the first “Enumeration” with “ID=TXT_1_101” and “Value=Disabled”, the second “Enumeration” with “ID=TXT_2_101” and “Value=Definite Time” and the third “Enumeration” with “ID=TXT_1_101” and “Value=Time Overcurrent” are specified. By clicking on “OK”, this parameter is added to the box on the right side and a “Name” and an “ID” should be specified for it. By double-clicking on “State” column, “Rio Parameter Viewer” window opens and “ID=OC_101”, “Name=50/51” and “Description=Time Overcurrent” are specified for the parameter.



Next, rename the second block to “Power System Data” and by double-clicking on it, specify “ID=PS” (short for Power System). Then, add another block named “CT’s” with “ID=CT” to the subset of this block. Now, add a “Real” type parameter to this block. “Real” type is used for parameters with numerical value. By double-clicking on “State” column, on this window, specify “ID=CT_PRIMARY”, “Name=CT PRIMARY”, “Value=300”, “Min Value=10”, “Max Value=5000” and “Unit=A” for the parameter. This time add an “Enumeration” type parameter and specify two “Enumerations” with “ID=TXT_1_201”, “Value=1A”, “ID=TXT_2_201” and “Value=5A”. Then, by double-clicking on “State” column, specify “ID=CT_SEC” and “Name=CT Secondary”.


Now, to proceed, press “F2” button and rename the third block to “Setting Group” and by double-clicking on it, specify “ID=SG” (short for Setting Group). By using “Ctrl+B” combination key, add another block to the subset of this block and name It “50/51”; then double-click on it and specify “ID=ID_50_51” for this block. Add two more blocks with the names of “50” and “51” to the subset of this block and specify “ID=ID_50” and “ID=ID_51” for them respectively.

In the “50” block which includes the function “50”, add “Time Delay 50” and “Pickup 50” parameters according to the aforementioned information. As an example, for “Pickup 50” parameter, information such as “ID=PICKUP_50” and “Name=Pickup 50” are specified on “Rio Parameter Viewer” window.

Likewise, add two parameters to block “51”. After adding these two parameters with names of “Pickup 51” and “Time Dial 51”, you should add another parameter in which curve function “51” is specified. This parameter is of “Enumeration” type with two “Enumerations” and with “ID=TXT_1_51”, “Value=Normal Inverse”, “ID=TXT_2_51” and “Value=Very Inverse”. Then, double-click on “State” column and specify “ID=CURVE_51” and “Name=IEC_Curve”.


Add a block named “Relay Information” with “ID=RI” (short for Relay Information) to the subset of “Additional Parameter” block. In this new block, information such as time and current tolerances are entered which are specified according to the manual of the relay. To do this, press “Ctrl+P”, select a “Real” type parameter and specify “ID=I_TOL_ABS1” and “Name=I Tolerance abs” for this parameter and then according to the manual of the relay, specify “10mA” as its “Value”. Add more parameters to this block with names of “Operate Time”, “t-Tolerance rel”, t-Tolerance abs”, “I-Tolerance abs5” and “I-Tolerance rel5”. The information related to these parameters is mentioned on each line. So far, the information about “Relay Parameter Section” and “Additional Information” for the overcurrent function is provided simply and briefly. Also, the structure of “XRio Converter” is completely covered. Now, whether these blocks are enabled should be determined.


So far, “Relay Parameter Section” and “Additional Information” for an Overcurrent function have been explained simply and briefly; also we have completely covered the structure of “XRio Converter” menu. Now we should talk about determining whether these blocks and parameters are enabled.

Enabling and disabling blocks: “50/51” block is located under the subcategory of “Setting Group”. To associate the enabling of “50/51” block to the parameter measure of “50/51” in the “Device Config” block, double-click on “50/51” block and select “Formula” in “Enabled” section. Then, click on “…” icon to open “XRio Formula Editor” window. The parameter with which the enabling of “50/51” block is associated should be entered in “References” section.

To enter the intended parameter, click on “+” to open “Add Ref.Param” window. From the box at the top of the page, select “50/51” parameter from the tree diagram of “XRio Converter” file in the “Device Config” block. After selecting this parameter, by clicking on “Add RefParam”, “50/51” parameter is added to the “References” in the “Ref.Params” section. “Enumerations” of this parameter are listed at the bottom of the page in the form of a tree diagram. Select your intended “Enumeration” and click on “Add RefEnum” to add the enumeration to “Ref. Enums” section. “Enumeration=Disabled” with “ID=TXT_1_101” is selected here. After closing this window, you can view the path to each parameter in the “Path” column. Paths are displayed by using the “ID” of each block. For example, “50/51” parameter with “ID=OC_101” is located along the path of “CUSTOM”, “SETTING” and “ID” blocks. Also, for writing the formula, “ID” of these parameters is used.



In the right box, it is specified that if there is a parameter with “ID=OC_101” and “Enumeration=Disabled”, “50/51” block should be enabled. This formula is written as “NOT OC_101=TXT_1_101”. After clicking on “Test”, if a message saying “Test was successful” is displayed, the formula is correct and there is no problem. If a tiny change is made to the formula, for example the “ID” is changed, by clicking on “Test” a message saying that there is no parameter with “ID=TXT_2_101” will be displayed. Then, by clicking on “OK” two more messages will be displayed saying that the displayed formula is not correct and the last message says “Test was not successful”. By correcting the formula and closing the “XRio Formula Editor” window, you can see that the status of the block is “False” and this block, displayed with an “X” sign, is disabled. If the measure of “50/51” parameter is changed in the “Device Config” block, (Value=Definite Time), the “50/51” block is enabled and the “X” mark is removed.



Likewise, it is possible to associate enabling or disabling of other blocks with one or several parameters. Like the previous situation, a formula should be written for “50” block. By repeating the previous stages and selecting “50/51” parameter and “Enumeration=Disabled” with “ID=TXT_1_101”, a formula should be written for the activeness of this parameter on the “XRio Formula Editor”. This formula is written as “NOT OC_101=TXT_1_101”. So, whenever “50/51” block is enable, this block should be enable as well. Click on “Test” to validate the written formula and in the end click on “OK”.

For enabling of “51” block, double-click on it and select “Formula”. After opening the “Add Ref.Param” window, select “50/51 parameter and “Enumerations” of “Disabled” and “Definite Time”. In fact, “51” block is enabled when enumerations of “Disabled” and “Definite Time” are not selected. Then, the formula is written as “NOT OC_101=TXT_1_101_ AND NOT OC_101=TXT_2_101”. Click on “Test” to validate the formula and finally click on “OK”. If “Definite Time” is selected as the value of “50/51” parameter in the “Device Config” block, “50/51” and “50” blocks are enabled while “51” block is disabled. If “Time Overcurrent” is selected as the value of “50/51” parameter, all three blocks are enabled.


Enabling and disabling parameters: In each block, it is possible to associate Enabling of parameters with another parameter. For example, in “51” block, “IEC Curve” parameter is enable when “Time Overcurrent” is selected as the value of “50/51” parameter. To do this, double-click on “State” column and select “Formula” from the “Enabled” section. By clicking on “…”icon in the “XRio Formula Editor” window like the previous example, in the “Add Ref.Param” window “50/51” parameter and “Enumeration=Time Overcurrent” with “ID=TXT_3_101” are selected and added to the “References” section. The formula is written as “OC_101=TXT_3_101” at the right side and by clicking on “Test” the validity of the formula is examined and the “OK” is selected. If in “Device Config” block, “Time Overcurrent” is selected as the value of “50/51” parameter, “IEC Curve” parameter is enabled while if “Definite Time” is selected, “IEC Curve” parameter is disabled.


After completing the information regarding “Relay Parameter Section” and “Additional Information” sections, it is necessary to-you should- complete information of the “Rio” section as well. In “Rio” section, by double-clicking on any block, a window, which includes information about parameters of that block, opens; this information is also available in the tree diagram of that block. For example, parameters like “Device Name”, “Manufacturer”, etc. are located in “Name Plate” block. It is possible to assign a value to these parameters directly or associate them with parameters from “Custom” section by using formulas. In this video, necessary parameters for an overcurrent function are linked to values from the “Custom” section. Note that in writing a formula, the “ID” of each parameter is used.

Linking parameters of “Rio” section: In this video –the target- our goal is to complete the information regarding the “51” function. “In”, “I prim”, etc. parameters are located at the “Nominal Values” section. To link values of the “In” parameter with the values of “XRio”, it is necessary to define a formula for this parameter. To do so, after double-clicking on “State” column, in “Rio Parameter Viewer” window from “Value Properties” section, click on “…” icon in the “Formula” field to open “XRio Formula Editor” window. On this window, first the intended parameter (CT Secondary) should be entered. To do this, click on “+” and in “Add Ref.Param” window, select “CT Secondary” parameter from the “XRio” tree diagram. Then, select “Enumeration=1A” and “ID=TXT_1_201” from the box at the bottom of the page to add them to the “References” section. -For The “In” parameter when the “CT Secondary” parameter’s “Enumeration=1A” ,the value of the parameter “In=1A”; otherwise, it should be “5A”. To write this formula, the “If” command is used in a way that the final formula is “IIf(CT_SEC=TXT_1_201,1,5)”. Then, click on “Test” to validate the formula. In the “Result” section, “Result Value=1A”. Finally, click on “OK” to save the settings.



You can see that the color of “Value” cell of “In” parameter is turned into purple which means that its value is associated with another parameter based on the formula in the “Formula” column. Also, by clicking on “Reference map”, you can see that the value of this parameter is linked to another parameter. By double-clicking on the box of the parameter, the given address for this parameter (CT Secondary) is displayed. If the value of this parameter is changed to “5A”, the value of “In” parameter changes accordingly. The value of “I prim” parameter is linked to the value of “CT Primary” parameter in the same way. By following the mentioned steps, “CT Primary” parameter is added to the “References” section. Because this parameter is of the “Real” type and lacks “Enumeration”, to write the formula, only the phrase “CT_PRIMARY” is entered. The written formula means that the “I prim” parameter will have the same value as the “CT Primary” parameter.




“Overcurrent” block: After completing “Device” block, information of the “Overcurrent” block should be completed. By double-clicking on this block, you can see that there is a series of parameters in “Relay Parameters” and “Elements” tabs which are also available from the “Overcurrent” tree diagram separately. Also, in the “General” block, parameters such as “Time Tolerance Relative”, “Time Tolerance Absolute”, Current Tolerance Relative” and “Current Tolerance Minimum” are available. The information regarding these parameters is available from “Relay Information” block in “Custom” section. These parameters should be used in the “Rio” section as well. It should be noted that the value of “Reference Current” parameter is, by default, linked to the value of “INOM” parameter in the “Nominal Values” block. Double-click on the “State” column in “Time Tolerance Relative” parameter and on “Rio Parameter Viewer” window, click on “…” option. On the “XRio Formula Editor” window in the “References” section, after clicking on “+”, “t-Tolerance rel” parameter is added to the “References” section from the “XRio” tree diagram. Then, the formula is written in form of “TTOLREL”. Next, click on “TEST” and after “Test was successful” message is displayed, click on “OK”. A “5%” value is displayed in the “Result Value” section. Likewise, the value of “Time Tolerance Absolute” and “Current Tolerance Relative” parameters are linked to and associated with the values of “t-Tolerance abs” and “I-Tolerance rel” parameters. In the manual of the relay, “Current Tolerance Minimum” parameter is stated as that there is at least “10mA" and “50mA" current error in “1A” and “5A” nominal currents respectively. To state this parameter in the software, the formula should be written as “0.01*Inom”. First, it should be determined whether the nominal current is “1A” or “5A”. Because the “Current Tolerance Minimum” parameter is stated in accordance with “IREF”, to write the formula, “CT Secondary” and “Reference Current” parameters and “Enumeration=1A” with “ID=TXT_1_201” are should be selected and added to “References” section. Finally, the formula is written as “0.01*if(CT_SEC=TXT_1_201,1,5)/IREF”.




Note that in the “CT” block, the values of “IPrim” and “ISec” parameters are, by default, linked to the values of “IPRIM” and “INOM” parameters in “Nominal Values” section. Moreover, the parameters of “VT”, “Neutral CT” and “Residual VT” blocks are, by default, linked to the values of “XRio Converter”. The “Timed Overcurrent Element” subcategory in the “Overcurrent Elements” block gives us information about “50/51” function like “Pickup” current and operation time. As mentioned before, in this video, our goal is to complete the information of “51” function. To activate “51” block, double-click on “OverCurrent” block. Then, in the “Element” tab double click on “Tripping Characteristic” column and select “IEC Normal Inverse” curve from the “Manage / Select characteristic” window and then click on “OK”. Then, in the “Operating Curves” block, you can see that the “51” curve is defined as an “IEC Normal Inverse” and the information about this curve is displayed as well.



In the previous video, the information regarding “Device” block and some parts of “Overcurrent” block such as “General”, “CT” and “VT” were completely covered. As mentioned before, under the “Elements” tab by double-clicking on “Overcurrent” block, “Normal Inverse” curve is selected for “51” function; the information related to this curve is located in “Overcurrent Elements” block. Now we are going to complete the “Overcurrent Elements” block information.

Enabling a characteristic curve: As you can see, activeness or inactiveness of the characteristic curves is determined in “Active” column. To link the value of this parameter which is located in the “Timed Overcurrent Element” block, by following the mentioned steps in previous videos, in “Add Ref.Param” window in “Device Config” block, “50/51” parameter with “Enumeration=Time Overcurrent IEC” and “ID=TXT_3_101” is selected and in “51” block, “IEC Curve” parameter with “Enumeration=Normal Inverse” with “ID=TXT_1_51” is selected and added to “References” section. Then, the formula is written as “OC_101=TXT_3_101 AND CURVE_51=TXT_1_51”. To validate the written formula, click on “Test” and finally click on “OK”.


Determining the value of lpickuup.nom: The parameters related to “Ipickup” current and its tolerances are located in “Pick up Current” block. To link the current value of “Ipickup” whose value is a coefficient of “IREF”, double click on “State” column and by clicking on icon “…” in “Value Properties” section, click on “+” on “XRio Formula Editor” window and select parameter “Pickup 51” from “51” block and “Reference Current” parameter from “General” block on the “XRio” tree diagram to add them to “References” section. Then, using the “ID” of added parameters, the formula is written in the box at the right side as “PICKUP_51/IREF”. The formula is validated by clicking on “Test”. The value of “Ipickup.nom” parameter is calculated in accordance with that the value of “Pickup 51=1A” in “51” block and the value of “CT Secondary=1A” in “CT’S” block.



Determining the current tolerances: To link the value of “Tolerance Absolute Positive” parameter with “Current Tolerance Minimum” parameter, by following the mentioned steps from the “XRio” tree diagram, in the “General” and “Overcurrent” blocks from the “Rio” section, the “Current Tolerance Minimum” parameter is added to “References” section and the formula is written as “CURRENTTOLABS” in the box at the right side and then the formula is validated.

Likewise, the values of “Tolerance Absolute Negative", “Tolerance Relative Positive” and “Tolerance Relative Negative” parameters are linked with parameters with “ID=CURRENTTOLABS”, “ID=CURRENTTOLREL” and “ID=CURRENTTOLREL” respectively. The “Tolerance Actual Positive” parameter selects the highest amount of positive tolerance from “Tolerance Absolute Positive” and “Tolerance Relative Positive” and based on a percentage of “IREF” puts it in its “Value” field. So, by following the previous steps and adding “Ref.Params”, the formula is written as “Max(TOLABSPOS,TOLRELPOS*NOMVAL/100)” and validated.


“Tolerance Actual Negative” parameter is almost the same as the previous parameter. The only difference is that it calculates the highest amount of negative tolerance and its formula is written as “Max(TOLABSNEG,TOLRELNEG*NOMVAL/100)”. Also, for “Test Positive” parameter, the formula is written as “NOMVAL+TOLACTPOS+NOMVAL*TESTTOL/100”. This parameter shows the maximum total error of the test which may occur because of measurement error of current transformers, test device, noise, etc. in “Test Negative” parameter, the formula is written as “NOMVAL – TOLACTNEG –NOMVAL * TESTTOL / 100” which shows the minimum total error of the test.

After determining current tolerances, the information related to “Time Multiplier/Trip Time” block should be completed. In this block, by following the mentioned steps, the value of “Nom.Time Multiplier” parameter should be linked with “Time Dial 51” parameter which is located in “51” block.

According to “IEC” standard, the “Ipickup” current value of relays can range from “1.1” times to “1.3” times of the nominal current. Based on the manual of this relay, “1.1” is selected for this relay which means that the relay must not “Pickup” less than the determined current. This parameter is located in “Min Operate Current” block with the name of “Nom.Min.Op.Curr” and its value should be linked with “1.1” times of the nominal current. So, the formula is written as “1.1*NOMVAL”. According to “IEC” standard, if the injected current is bigger than “20” times of the nominal current, the relay should give a trip at a “Definite” time. This parameter is located in “Max Operate Current” block with the name of “Nom.Max.Op.Curr” but in this video, we skipped entering the information of this parameter. It should be noted that the activeness of “Range Limits” value should be linked with another parameter in “Device Config” block. This parameter is located in “Timed Overcurrent Element” block with the name of “Use Range Limits”. By repeating the mentioned steps for linking and selecting the “50/51” parameter and “Enumeration=Time Overcurrent IEC” with “ID=TXT_3_101”, the formula is written as “OC_101=TXT_3_101” and after testing, the “OK” option is selected. You can find this parameter in “Elements” tab of “Overcurrent” block. If this option is enabled, the relay must not “Pickup” in current values less than “lmin”.



The information regarding the curve is mentioned in the tree diagram of “Operating Curves” and “Standard Curve” blocks.

You can view the changes made by double-clicking on “Overcurrent” block. Under the “Relay Parameters” tab, the tolerance values are derived from the determined formula and its cell color is turned purple. Also, under the “Elements” tab, the parameters for which a formula is determined are turned purple. Then, click on “Ok” so save the settings. You can see that the “Normal Inverse” curve is displayed on “Overcurrent Characteristic” window.



To further examine the validity of written “XRio” file, some cases are tested as a sample. To do this, “Disabled” is selected in “Device Config” block and then by double-clicking on “Overcurrent” block, you can see that the curve has been disabled. Also, by clicking on “Ok”, no curve is displayed on “Overcurrent Characteristic” window.


As another example, the value of “Time Overcurrent IEC” is selected in “Device Config” block and in “51” block, “Pickup 51=4A" is determined as the current value while “Time Dial 51=0.5” is determined as time. In the “Overcurrent” block it is observed that the same changes are made. For example, the minimum current value is “Ipickup=4.4A”. After clicking on “OK”, the changes are made to “Overcurrent Characteristic” window.



Before talking about the “AMT-Sequencer” room and its features, because there are items that are related to the “Device Setting” information, it is necessary to provide some additional information about this section. At the left of this page, the general information about the relay is entered. This information includes name of the manufacturer, type of the relay, serial number, installation location etc. As the type of information in this section indicates, this information is used merely as report and does not affect the test or its results. But the information at the right which is partly derived from the relay settings can be used as a reference for determining the voltage and current output of the device.

In “Nominal Values” section the information related to nominal frequency and turn ratio of PT and CT are entered. From the information of this section, the PT secondary voltage is known as nominal voltage while the CT secondary voltage is known as nominal current. Note that in “Vprimary” and “Vsecondary” section, it is possible to enter the ratio of transformation in line to line or phase. In “Residual Voltage/Current Factor” section, the coefficients of residual voltage and current for relays where the residual voltage and current are separated from the input voltage and current are mentioned. These coefficients are used to calculate VE and IE. In “Limits” section, the range of maximum output voltage and current of the device are specified and the user can, according to the type of wiring specified in “Hardware Configuration” section, determine the maximum output voltage and current of the device.

In the “Debounce Time” field In “Debounce/Deglitch Filter” section, it is specified that every 3 milliseconds, the device examines the signal transmission from the relay. In “Deglitch Time” section, it is specified that the transferred signal from the relay should be retained for 400 microseconds until the reception of signal is detected. Note that both of these values can range from 200 to 1.5 microseconds.

By using “Save to template” option, the information entered in this section is saved in the software as a template and it is possible to load this template by using the “Load Template” option. The “Import” option is used when the user wishes to use the settings of this section on another computer or to be able to recover the settings after cleaning the cache of the software.

After getting familiar with “Hardware Configuration” and “Test Object” pages which are used for configuring the device and entering the relay characteristics, now it is time to get familiar with the "AMT-Sequencer" room. As mentioned in previous videos, “AMT-Seque ncer”, is the main room of the software and it is possible to design, run and evaluate all tests of the relays and equipment from this room. To design any test, first, it is necessary to become familiar with the pages as well as features of this room. This room includes all windows, diagrams and options that a user needs for doing a test.

“Table View” window: different states of injected signal, analog and digital inputs and outputs of the device for performing a test are created in this window as tables named “state”.

“Detail View” window: details related to each “State”, including the type of “State”, status of “Binary Outputs”, status of all “States” etc. are located in this window.

“Signal View” window: the overall waveform of the output signal of the device and “Binaries/Analog”s of inputs and outputs of the device during a test are displayed in diagrams of this window in accordance with the settings of every “State”.

“Vector View” window: injected signals of the device in form of vectors, differentiating between imaginary and real values, main harmonic etc. are displayed on this window. This window and “Signal View” window are used to analyze the performance of the relay as well as resolving issues.

“Measurement View” window: this window is used for time and value assessment of the results of the performed tests. It is possible to set the settings of this page before or after performing the test and evaluate the performance of the relay and the tested equipment.

“Star-condition Repetition” window: this window has three main tabs where it is possible to specify the conditions to start the test, repetition time of every test and settings related to the test counter.

“Harmonic Restraint View” and “Impedance View” windows: these two windows are used to view the impedance, differential trajectory and “Power Swing” test.

The first step in designing a test is to make different states of the test in “Table View” window. This means that to simulate fault state, it is necessary to inject signal several stage and receive feedback. Every stage of the test is showed on this window in form of a table named “state” and each “state” is made of several components.

To open the “Table View” window, it is possible to use “View” menu or the toolbar at the top of the page. In the first part of every “state”, RMS value, phase and frequency of the outputs of the device, which are selected in “Hardware Configuration” part, are specified. In the first column of this part, the RMS value of the outputs of the device is specified. The maximum allowed value is determined in “Limits” section in “Test Object” page. In the second column, the phase of the output signals of the device is specified which can be between 0 to 360 degrees. Also, in the third column the frequency of the output signals of the device are specified which can be between 0 to 1.5 kHz. If DC signal is needed, the frequency should be specified as 0.




In the “Bin. Out” section, the open/close state of “Binary Outputs” of the device is determined in accordance with the user’s wish. In the “Trigger” section, the conditions of “state” completion are determined which can be based on time, by pressing “space” button by the user and, also, based on receiving a specified signal from the relay or a combination of all three of these conditions. It is necessary to consider these two points:
The first point is that in this section, it is possible to activate the related condition by double-clicking on any of the icons. To adjust the settings related to the “Inputs” you can do so from “Detail View” window or simply by checking “Trigger Condition” option.

The second point: these conditions have “OR” logic with each other. This means that if several conditions are met, if one of them is true, the current “state” ends. In the next section the type of “state” is determined which can be selected from the available drop-down list. Note that each of these types is described in “Detail View” section. In “Bin. Input” section, the momentarily receival state of signal on every activated binary inputs is specified. In the “Comment” section, any important note about each “state” is recorded by the user. Note that entering information in this section is only possible in “Detail View” page.

By right-clicking on any column of the “Table View” window, a list containing several options opens. Each of these options is designed for a specific purpose. After right-clicking on the column related to “RMS” value, by selecting “Nominal Value”, the amount of current and voltage in each cell is changed to specified nominal values in “Device” block in “Test Object” page. By selecting “Zero” it is possible to set the cell value to zero. If the user wishes the voltage or current in all three phases to be equal to the selected cell value, they can select the “Equal Magnitudes” option. Also by checking “Link Magnitude” option, the values of all three phases will be linked together. It should be noted that if two groups of voltage or current are activated from “Hardware Configuration”, you can see that the three phases of group A are linked together while the three phases of Group B are linked together. To better understand this, enter 2amps as the current for one of the phases of group A and enter 4amps as the current for one of the phases of group B.


The “100% Load” option is used for changing the current to nominal value. The “50% Load” option is used for changing the current to half of the nominal value and the “Unloaded” option is used for changing the current to zero. Note that by selecting any of these options, the voltage is changed to the nominal value.
If the user copies the values of voltage and current by right-clicking in “Vector View” window and selecting “Copy to Clipboard”, by selecting “Paste From Vector View Clipboard” in “Table View” window they can paste these values in their intended “state”. Also, by clicking on “L1L2L3->L3L1L2” option, the rotation of the phases as well as their values will change.


“Link to XRio” option enables the user to relate the value of voltage, current, phase or frequency to any desired parameter in “XRio”. By selecting this option, “Link to XRio” window opens where the desired parameter can be selected. For example, in the “XRio” tree diagram in “Rio” section, in “Nominal Value” branch in “Device” block, the “In” parameter is selected. Also, it is possible to multiply the selected parameter by a specific value or add it to a specific value which is, finally, displayed in the box at the bottom. On the top right of this window it is possible to search a parameter. By checking “Filter by Sender Unit” on the left, all “XRio” parameters which have the same “unit” with the selected parameter in “Sequencer” are marked.

After linking the intended voltage, you can see that the selected cell is turned purple which indicates that this cell is linked with a value from the “XRio”. By selecting “Go to Linked Value”, it is possible to view that the selected parameter in “Sequencer” is linked with which parameter in “XRio”. If the user does not wish the parameter to be linked with “XRio”, it is possible to remove the link by selecting “Remove Link” option.


By right-clicking on this column and selecting “Line Angle”, the angles of the selected voltage or current will equal with angle value of transmission line. It is possible to view and adjust this value in “Distance” block in “Test Object” page. By selecting “Zero”, it is possible to set the selected voltage or current to zero. If the user wishes to have the minimum amount of received current in the beginning of voltage injection, by selecting "90°" option, the phase of the injected voltage is set to 90 degrees. Balance Angle” option is selected for each cell, the related signal is selected as the reference signal and other phases are set at a degree with a 120 degrees, degree of difference with the reference signal.
The “Reverse Rotation” option does the same in counterclockwise. This means that if this option is selected for a cell, regardless of its phase value, -120 degrees is Added to the next phase, respectively. By clicking on “Link angles (Equals)”, the angles of all three phases are equated and if one of them is changed, the others change accordingly. Also, the “Link angles (Balance)” option causes that if one of the phases is changed, the others change with a 120 degree difference.
By selecting the “Nominal Value” from the options available for this column, the frequency value in each cell is changed to its nominal value in the “Device” block in the “Test Object” page. By selecting “DC”, the frequency is changed to zero and it is possible to produce “DC” signal.

If the user wishes all the frequency values to be equal, the “Equal Frequency” option can be used. By selecting this option for any cell, the frequency of other signals is set equal to the selected cell."Link Frequency" links all values of the frequencies with each other. This means that if one of the frequencies is changed, the other frequencies change the same amount as well and all the signals will always have the same frequency. If you need signals with different frequencies, you should uncheck this option.
If you wish to create “DC” decaying signal, after setting the frequency to zero, it is possible to enter the time constant in the phase column. As you know, the relation of a decaying signal is written as “A*e^(-t*T)”. In this relation “A” is amplitude while “T” is the opposite of time constant. This means that the number you enter is the “T”.


By double-clicking on any window in the software it is possible to maximize it and by repeating the double-click it is possible to restore the previous state. The separate toolbar of the “Table View” window is located in the second row at the top of the “Vebko AMPro” software in the “Sequencer” room. By using the “New State” option, it is possible to create a new “State”. This “State” will be placed after the last created “State”. This is equal to the “Append” option available by right-clicking anywhere at the top of any “State”. When there are multiple “States”, it is possible to make the intended “State” smaller by double-clicking on it or clicking on the cog icon and selecting “Small Mode”.




By using the “Delete State” option, it is possible to delete a “State”. This option contains “Selected State” and “Unselected State”. As you can see, there is a small square at the top of every “State”. By checking this square, you can select this “State”. If when deleting a “State”, “Selected State” option is selected, all of the states whose “Square” has been checked will be deleted. If “Unselected State” is selected, all “States” whose square has not been checked will be deleted. You can view this option by right-clicking on the ribbon at the top of any “State” and selecting the “Delete” option. Moreover, by selecting a “State” and right-clicking on it and then selecting “Delete” or “Delete State” option from the toolbar, it is possible to delete that “State”.



If the user wishes to add a “State” and place this new “State” in a specific order, they can use “Insert Before” and “Insert After” options. In this case, the user clicks on a “State” and then selects “Insert Before” to add a new “State” with similar information before the current “State”. By clicking on a “State” for the second time, the user can place the new “State” after the current “State” by selecting “Insert After”. It is, also, possible to view these options by right-clicking on any “State”.
To create an impedance shot in the “Sequencer” room, “Insert Z Shot” option can be used. By selecting this option, a window named “Insert Impedance Shot” opens where you can adjust the value of the parameters. In “Line Parameters” section, impedance of the line as well as its angle can be specified. To change these values, you should go to the “TestObject” page in the “Distance” block. In “Fault Parameters”, the error information is specified. The type of the error, the location of the error in form of a relation of length of the line and the error current are specified in “Fault Type” section, “Location” and “Itest” section respectively.


In “Time Setting” section, the time related to “Prefault”, “Maxfault” and “Postfault” “States” and also the delay time of the circuit breaker operation is specified. This value should be adjusted from the “CBConfiguration” block in “TestOject” page. In “Trigger/Measurement” section, the reception contact of “Trip” signal is specified and in the slide bar of that section, the active binaries of the device are displayed. You can see that only the binary number one is active here. Also, in “Tnom”, “Tdev+” and “Tdev-“section, it is possible to adjust the nominal time for reception of “Trip” with the values of positive and negative tolerance for evaluation of the test in the “Measurement View” window. By selecting the "Insert Z Shot" option, three "States" are created consecutively after the current "State” with the names of "Prefault", "Maxfault" or "L1L2L3, 100%" and "Postfault". This can be done, also, by right-clicking on any of the “States” and selecting “Insert Z Shot”.

The “Default State” option in the right-click menu of “States” returns all values of “States” to the default settings in the “Device” block in “TestObject” page. “Select File to Merge” option is used when the user wishes to import the information of several “States” to his page from a saves test file. By selecting this option, the corresponding window opens and in “Select File” section, by selecting “Browse”, you can select your intended file. By doing so, the “States” existent in the intended file are displayed. By checking any of these “States”, you can select that “State” to import its information to the current page. Then, in the section related to “Insert Information”, the intended location for importing the “State” is specified. In “Location” section, it is specified that the “State” should be added before or after the current “State” and in “Current State” section, it is possible to determine the current “State”. Finally, by selecting “Add” you can import the information.


The next option is “Copy & Paste of State” and by selecting it, the corresponding window opens. In “States List For Copy” section of this window, the list of currently available “States” opens and by checking any of them, it is possible to select the information of that “State” for copying and in the “Options For Paste” section, just like the previous part, the location for pasting the “State” is specified. Also, in “Repetition” section, you can specify how many times this copying procedure is to be repeated. You can do this by using the options available in the right-click menu or any “State”. By clicking on “Paste State”, you can paste the copied “State” information to the current “State”. If the user has changed the name of “States” and wishes to restore the default name of the “States”, the “Correct Names of States” option can be used.

The last part has two options which are related to displaying the signal of “States” in the “Signal View” window. By selecting “All States”, it is possible to view the voltage and current signals of all “States” in “Signal View” but if “Current State” is selected, it is only possible to view the signals of the current “State” in the “Signal View”. At the left of the toolbar, the number of “States” and “State” numbers are displayed. In this section, it is possible to move to after and before the current “State” as well as the last and first “State” by using “Next State”, “Previous State”, “Last State” and “First State” respectively.




After creating different “States” for the test in “Table View” window, it is necessary to specify the details of each “State” separately in “Detail View” window. To open this window, click on “Detail View” from the “View” menu or click on “Detail View” icon from the toolbar at the top of the page. you can Also keep “Alt” key and press left click or press mouse scroller to open “Detail View” as “Pop up” Style.


“Analog Out” tab: Generally, in the “Analog Out” tab, the details related to each “State” including output voltage and currents of the device, the type of “State”, the state of input and output binaries of the device, the ending conditions of each “State” and some other settings are mentioned.

“Binary Out” tab: In this tab, the settings related to opening and closing the active output binaries of the device and their connection with each other are adjusted.

“Trigger” tab: In “Trigger” tab, the ending conditions of each “State” and some settings related to the “Overcurrent” errors of the device are adjusted. Moreover, the comments of the testing person are recorded in the comment box of this section.

“Serial” tab: This tab is used to send a series of hardware codes in form of a “Packet” from the “AMT” to an external instrument.

“Report Setting” tab: This tab is used for the report settings of every “State”. It is possible to add or remove the characteristics of the selected “State” to or from the report. In future videos, every introduced section along with its details will be explained separately.

In the beginning of this video, we close the “Measurement View” window and change the size of other windows. In “State Type” section, the type of “State” is selected from the “State Type” dropdown field and in the “State Name” field a name (Vebko) is selected for the “State”.

In “Set Mode and Fault Type” section, the outputs of the device are specified according to parameters and types of faults. For example, in “Direct” mode, the output voltage and current of the device are determined directly but in “Line-Line” mode, the user specifies values of the line voltage and the zero sequence voltage, and the device produces the output voltage and current values in accordance with those other values. It should be noted that in this video, the instruction is done in “Direct” mode and descriptions about different “Set Modes” will be provided in future videos.

In “Binary Outputs” box, the state of binary Outputs of the device are specified where the user can enable or disable any binary according to the condition of the test. Moreover, from the “Binary Out” tab the user can adjust the settings related to binary Outputs in more details.

In “Binary Inputs” section, the state of active binaries of the device and the reception time of contact is specified. “Trigger setting” section: In “Comment” field, the user can add a note about the current “State”. This note is, also, viewable from the “Table View” window, “Comment” field. In “State Termination” section, the user determines the conditions for termination of the current “State” and initiation of the next “State”. In “Timeout” field, the signal injection time is determined by the user and after that the test ends or goes to the next “State”.



If the user wishes to specify conditions to terminate the current “State” according to reception of “Pickup” and “Trip” signals from the relay, they need to use the “Use binary trigger condition as specified below” option. To do this, first, the needed binaries should be enabled from the “Hardware Configuration” page. Then, in “Binary Trigger Condition” section, the condition of each binary for terminating the current “State” is specified. The conditions that the user can use are mentioned in the slide bar in front of each contact.
Condition “0”, no contact has been received by the binary. Condition “1”, the binary, has received “Pick Up” or “Trip” contact. Condition “0 -> 1”, the binary is first in “0” condition (no contact received) and then “Pick up” or “Trip” contact is received. In this condition, it is necessary for the binary to detect “0” to “1” signal. Condition “1 -> 0”, the binary is, at first, in condition “1” (contact received) and then the contact is removed from the binary. In this condition, it is necessary for the binary to detect “1” to “0” signal. Condition “1 -> 0”. “0 -> 1”, if the binary detects any of the conditions “0 -> 1” or “1 -> 0”, the termination command of “State” is made. Condition “X” means there is no condition determined for “State” termination of this binary. It should be noted that if more than one condition is determined for “State” termination, the user needs to choose one logic from “AND” and “OR” logics from the “Trigger Logic” section to apply to the determined conditions. By using the “AND” logic, to terminate the “State” all conditions should be met while by using “OR” logic, if any of the conditions is met, the “State” is terminated.
It should be noted that all this setting can be adjusted in “Binary Inputs” box by checking “Trigger Condition”. In this section in “Detail View” window, by checking “Show Time from this State” option, the contact reception time origin since the current “State” started is specified. Also, if you wish only for the last binaries state change to be displayed, check “Show only last change” and select one from among “1”, “0” and “0&1” radio-buttons in accordance with your needs. “0&1” option displays the last state of zero and one. It should be reminded that in the default mode of the software, if the binary is open circuited, it means that no contact is received and when the two ends of the binary are short circuited it means that contact has been received. This setting can be adjusted by changing the value of each binary from “True” to “False” in “Reverse” column of the “Hardware Configuration” page.


For example, from the “Hardware Configuration” window and “Binary / Analog Input”, 6 binaries are selected with specific active “Targets”. Then, in “Trigger” section, the conditions of the binary are set at "0"، "1"،"1 ˃˗ 0"، 0 ˃˗ 1، 0 ˃˗ 1 . 1 ˃˗ 0 and X and “OR” is selected as the logic between them. In this case, by fulfilling any of condition, the current state is terminated but if “AND” logic is selected, all conditions must be fulfilled for the “State” to be terminated.
Note that in “State Termination” section, between “Time Out”, “Space Key Press” and “Use Binary trigger condition as specified below” there is an “OR” logic and if they are selected simultaneously, if any of the conditions is fulfilled , the current “State” is terminated. By using “Trigger Logic Minimum Time”, the user specifies that how long the determined condition should last for the “State” to be terminated. It should be noted that this feature only works on conditions “1” and “0”.
In the field related to “Delay after Binary Trigger”, the user makes a delay time between when the condition is fulfilled and when the “State” is terminated. For example, to simulate key performance delay, if 50 milliseconds is entered in this field, the current “State” is terminated after a 50 milliseconds delay and the key cutoff time is simulated. View videos of “Synchronizer Room” to see how “Synchronizer Mode” works.
In “Other Setting” section, by checking “Disable Error Other”, errors of “Other” type are disabled in the current “State”. Also, by checking “Disable Error Overvoltage of Binary”, the “Overvoltage” errors of the analog binary inputs of the device are disabled in the current “State”.

In the "Error/Trigger Overcurrent" box a condition for the software overcurrent error or the termination of the state in case high current extraction is specified. By selecting "Overcurrent trigger" if the current extracted is more than 2A from the device, current state terminate. Therefore the software applies the next "state" and if it’s the last "state" the test ends without giving any error message.

In “Overcurrent” section, the user adjusts the settings related to “Overcurrent” error of the outputs of the voltage outputs. Note that the maximum current of each output is 400 milliamps and 2amps in transient state. In the field related to “Percent Error Overcurrent”, the maximum voltage output current is specified in percent and in the field related to “Threshold Error Overcurrent”, the maximum output current is specified as a number for the “Overcurrent” error. For example, if in the “Percent Error Overcurrent” field 90 percent is entered, if the output current of the device reaches to 90 percent of the voltage output current, which is 1.8 amps, the device errors. Also, if in the “Threshold Error Overcurrent” field, 1 amps is entered, as soon as the current drawn from the voltage outputs exceeds 1 amps, the “Overcurrent” error is displayed and the test stops.
“Disable Relay” section: Generally, the device works in a way that there are relays embedded behind all current and voltage outputs of the device. Before the test, all amplifiers of the device are off and all relays are open. By “Running” the test, the amplifiers turn on in 20 milliseconds, then, for 20 milliseconds the device produces a 60 volts voltage and 5 amps current and then examines that there is no “Self-calibration” error. After that, for 20 milliseconds, zero current and voltage are produced behind the current and voltage outputs. After these steps, the relays close. Now, after 100 milliseconds, the voltage and current of the test are created. By doing this before the test, the device is isolated from any outside voltage. Also, the amplifiers are off and the device is silent.
By checking the box next to the title of every output in each “State”, the related relay opens and no more voltage or current is sent to the outputs. For example, to test “Magnetic Balance” of the transformer, it is necessary to open circuit some wiring in some state which it is done by disabling the relay of the related phase in the device.
because “State Type: Quick” is very useful, for this “State Type”, there is a “Layout” named “Default Layout for Quick” designed for this “State Type” in “Window” menu. In this “Layout”, “Detail View”, “Signal View”, “Impedance View” and “Vector View” windows are located by default.

To describe this “State Type” and to view the outputs, it is better to maximize only “Detail View” and “Signal View” windows. In this “State Type” it is possible to, either manually or automatically, adjust the voltage and current signal output of the device in form of an increasing or decreasing ramp. In this “State Type” the user can create an increasing or decreasing ramp not only on the amplitude of signals but also on phase and frequency values. In “Analog Out” tab in “State Type” section, “Quick” is selected from the slide bar and in the “State Name” field, a name is selected for the intended “State”.
Description about “State Type: Quick” is provided in “General: Direct “mode. In this mode, the voltage and current signals are initialized directly. To create an increasing or decreasing ramp on outputs of the device, information of “Analog Output Channels” and “Step Values” tables should be completed.
In this table the start value of signals is entered which indicates the start point of the ramp. This start value can be entered for all three parameters amplitude, phase and frequency of current or voltage. It should be noted that it is possible to use ramp on both voltage and current signals simultaneously. For example, the start values of voltage signals are “10”, “15”, and “20” volts and “2”, “3” and “4” amps for current signals. Other information related to “Analog Output Channels” has been described before.
In this table, the value of “Step” to increase or decrease signals is entered. In this table it is possible to enter the “Step” value for all three parameters amplitude, phase and frequency. This means that it is possible to increase or decrease all these parameters simultaneously with different or the same amplitudes. At the top of this table, by checking “Simple mode (L1-L2-L3)”, you will have the same steps for all three voltage or current phases. After checking this option in “Voltage” and “Current” sections, the parameter on which we wish to create a ramp is selected from the slide bar in the “Ramp on” section. Then, the “Step” value is entered in “Step Value” field.
After unchecking “Simple mode(L1-L2-L3)”, in “Step Values” table, “1”, “2” and “3” volts are entered for voltage signals as ramp values while for current signals, “0.1”, “0.2” and “0.3” amps are entered as ramp values.
By checking “Enable mouse wheel” option, if the cursor is on “Step Values” table, by using the mouse wheel, it is possible to increase or decrease the signal values and the specified steps simultaneously. This can be during or even before running the test. It should be noted that these changes are only possible if the ramp is set on “Manual” mode.
In this section by checking “Show Time from final step”, the time from the final step is displayed. One of the uses for this is in measuring the trip time of the relay. By checking “Clear Test after Start Edit” after running the test, if any changes are made to the test, without using the Clear test option, Information and setting can be altered.
By checking the "Enable mouse wheel everywhere" option and holding the mouse pointer over the "Detail View" window, the values of the signals will increase or decrease with the specified steps if the mouse roller is rotated. If the mouse roller is turned upwards, the ramp will be incremental, and if it is rotated downwards, the ramp will be decreasing. This option is also used when the ramp is changed manually. If you also check the "Enable mouse wheel on step Table" option, the output values will change only by turning the mouse roller if the mouse pointer is on the "Step Values" table.
By checking “Show Only Final Trip” option, the trip time is displayed by binary inputs of the last step. In “Time Out” field, the injection time of “State” is specified which is by default in set on “999” seconds in “Quick” mode. In “Quick” mode, the ramp is created either automatically or manually. After running the test if the “Manual” option is selected, the ramp is created manually and by clicking on “˄” and “˅” it is possible to create increasing or decreasing ramp.
If during the test “Auto” option is selected, ramp is created automatically. In "∆t" field the time of each step is specified. By selecting “Up”, the ramp increases automatically and by selecting “Down” it decreases automatically. In “Enable Reset” field, it is possible to specify the reset time of signal value in a way that after checking this option during the test, the signal value is “Reset” for the specified period of time which is determined in “Reset” in “Reset Values” table.
In this “State Type” it is possible to add information and results of the test to the output report by clicking on “Add to report” option. After clicking on this option, by opening the “State and Comment of Report” page, the settings related to the output report are adjusted. In the “Title” field, a title is entered for the output report and in “Show in Report” section from the “Quick” tree diagram, it is specified that what information are to be included in the output report. In “Comment” section, it is possible to add an additional comment or explanation for the report. In “Custom Image” section, you can add an image to the report. In this report, it is the user who determines whether the test was successful or not by clicking on “Passed” option for success and “Failed” option for failure of the test. Then, the result is included in the report which can be viewed in the “Report View” window.
By clicking on “Edit.Delete.Report” option, the “Delete from Report” window opens where it is possible to edit or delete the added reports. It is done by selecting the intended report and clicking on “Edit Selected Report” to edit the report and then clicking on “Passed” or “Fail”. It is, also, possible to delete a report by clicking on “Delete Selected Report”. In the row of every report there are columns like “Trip Time”, “Detail View”, etc. which are added to the report if “True” is selected as their value but “False” is selected, they are removed from the output report.
By clicking on “Swap” at the top of the page, “Quick Setting” and “Ramp Termination” sections are swapped. This is done, according to the user's need, to show the "Ramp Termination" section. In “Ramp Termination” section, the conditions for terminating the “Ramp” are specified. The difference between this section and “State Termination” is that here the signal injection is continued and only step change of signals is terminated but in “State Termination” after the condition is met, the “State” is terminated. The termination conditions of “Ramp” are just like “Trigger Setting” which has been described in previous videos.
By selecting “Reset Value”, it is possible to adjust the “Reset” value for voltage and current signals in “Reset Values” table so if “Apply Reset” is selected during the test, the values of voltage and current signals change to the specified “Reset” values. This feature is useful in tests like “Minimum Voltage to Operate Circuit breaker. By clicking on “Apply Zero”, the values of voltage and current signals are changed to zero. By clicking on “Hold Value”, the values of voltage and current signals remain as they are and do not change.
The information related to "Trigger Setting" has been described in previous videos. By selecting "Offset Value", it is possible to give an offset to the signal in the "Offset Value" table. For example it is possible to give a value of "DC=10" volts to "VLE-1" signal or even give a value of decaying "DC" to the initial voltage. It is also possible to add a harmonic offset to the initial signal by changing the frequency. After repeating the test, all changes made along with their time are displayed in “Changes” section. “Disable Relay” section has been described in previous videos.
To better explain this “State Type”, other than “Detail View” window, “Signal View” window is maximized too so you can view the outputs. In the “Signal View” window, the signal view type is set on “RMS” mode, “Digital” signals are disabled and, to have a better view of the signals, the signals are turned “Bold”.



In this “State Type”, it is possible to set the voltage and current outputs of the device to increasing or decreasing “Ramp. This “State Type” is used when the user wishes to get a threshold for a parameter. It should be mentioned that it is possible to apply this “Ramp” to amplitude, phase and frequency or a combination of these options for voltage and current signals.

It should be noted that, to better understand the concept of “Step Ramp”, only “General: Direct” mode is explained. Creating a “Ramp” output requires three values: start value, step value and final value.

In this section, the start value of “Ramp” is specified and it indicates that from what point the “Ramp” should start. These values can be specified for the three parameters of amplitude, phase and frequency separately. For example, values of voltage in this section are set at 5, 10 and 15 volts. “Binary Output”, “Binary Input” and “Other Setting” sections are explained in previous videos and will not be mentioned here.

In “Step Values” section, the value for every “Step” is specified. These values can be specified for the three parameters of amplitude, phase and frequency separately. For example, the value of “Step” for voltage is set at 1, 2 and 2 volts.

In this section, the final value of the ramp signal is specified which indicates that at what point should the ramp finish. These values can be specified for the three parameters of amplitude, phase and frequency separately. The final value of voltage in this section is 20, 25 and 30 volts.

You can see that the signal of all three voltage phases has reached from the start value to the final value, according to the specified steps, in form of a “Ramp”. In the “Time Setting” box in “Step Ramp Setting” section, the time of each step is specified. This value is 500 milliseconds by default. By checking the “Enable Reset” option, it is possible to allow the signals to “Reset” after a specific time period. In “Reset Time” section, the time of each “Reset” step is specified which is added to the “State” time. To set the value and its parameter you should go to the bottom of the page in “Reset Values” section. This section and “Disable Relay” section has already been described in previous videos.

There are two options in the “Ramp Type” section where the first option, which is “Step Values”, is active by default. By selecting this option, the settings are as described before. As you can see, for example in L1 phase, each “Step” is increased by 1 volt every 500 milliseconds but by selecting “Rate Value per Second”, the number of steps specified in the “Step Values” table is determined as value per second. For example, L1 phase should increase by 1 volt every second. According to the specified “Step Time”, every second, there will be two 500millivolts step.

In “Ramp Description (Errors)” section, steps of the “Ramp”, the total time of the “State” and the errors are described. By using the “Simple Mode” option, it is possible to specify the value of steps of the “Ramp” and the final value of the “Ramp” more easily. By checking the “Simple Mode” option, the settings of “Step Values” and “Final Values” table are disabled and a new section including voltage and current sections are opened.
In these sections, first, the parameter is selected from the slider bar. This slider bar includes amplitude, phase and frequency options. After selecting the parameter, two options are displayed. In the “Step Value” and “Final Value” fields, the step value of the “Ramp” and the final value of the “Ramp” are specified respectively. The difference between this option and the previous state is that in this state all three phases change simultaneously.


An important point in “Ramp” on frequency is that there will be signal jump. So, it is possible that while testing the frequency relays, an appropriate response is not received from the relay; while “Ramping” on a frequency, to keep the signal steady, it is necessary to check the “Continuous in Frequency Step”. By specifying 2Hz as the start value of frequency and 3Hz as the “Step Ramp” and 50Hz as the final value, there will be a frequency jump in the output signal. To view this frequency jump, first, the output signal must be set on “Inst”. As you can see, by checking “Continuous in Frequency Step”, this frequency jump disappears.
This “State Type” is similar to “Step Ramp”. The only difference is that in “Step Ramp” the parameter changes step by step at user-defined time intervals but in “Continuous Ramp”, the parameters increase or decrease continuously with 400 microseconds time steps.

The parameters adjusted for “Continuous Ramp” include start value, final value and total time and the start values are specified in “Start Values” table. Here, the values for voltage signals are 5, 10 and 15 volts. “Binary Output”, “Binary Input” and “Other Setting” sections have been described before and we can skip them. In “Final Values” table the final value of the parameters is specified. Here, the values for voltage signals are 20, 25 and 30 volts.


In “Total Time” field in the “Continuous Ramp Setting” section the total time of the “State” is specified which is linked with the “Timeout” time in “State Termination” in “Trigger” setting. “Trigger”, “Offset Value”, “Error/Trigger Overcurrent” and “Disable Relay” sections have been described in previous videos and more descriptions should not be necessary here.

Another important matter about “Ramp” is that, in addition to put ramp on voltage and current, in “Step Ramp” the user can put ramp on impedance by changing the “Set Mode”. Since the hardware is only capable of recognizing voltage and current and cannot recognize the impedance parameter, and because there are so many impedance parameters, it is not possible to send these parameters to the hardware in every “Step”. So, in “Step Ramp” firstly all values of impedance steps are sent to the software and then measured voltage and current sent to the hardware as an array every time “Step” in “Continuous Ramp” is 400 microseconds, the amount of calculations and arrays is greatly increased and it is not possible for the results of the calculations and created arrays to be sent to the hardware. So, this “State Type” is always carried out in “General: Direct” mode.


In order to better explain this "State Type", in addition to magnifying "Detail View" window, the "Signal View" window is also magnified to observe outputs. As you are aware, based on the Fourier series expansion, a periodic signal can be expressed in terms of the sum of several sinusoidal waves with various coefficients and frequencies. In "Harmonic" State Type, the user can inject voltage signals and harmonic current by"AMT" device. To this purpose, in "Detail View" window, "Analog Out" tab and "State Type" part, the "Harmonic" State Type is selected from dropdown field. As can be observed, in this"State Type", the user can create and inject a signal with two desired harmonics. To this purpose, first the signal data or main harmonic should be entered in "Analog Output Channels" and the other two desired harmonics in "Free-Order Harmonic #1" and "Free-Order Harmonic #2".




As aforementioned, the main harmonic data are entered in this table. These data include the amplitude, phase, and frequency of each signal. It is noteworthy that the harmonic voltage and current signals can be simultaneously injected by device. For example, the data of three balanced voltage signals with an amplitude of "50" V and a frequency of "50" Hz, and three balanced current signals with an amplitude of "500" milliampere (mA) and a frequency of "50" Hz are entered. Other parts of this section have been explained in previous films.

The data related to the desired "nth" harmonic signal are entered in this table. These data include amplitude, phase, and frequency, which are entered for voltage and current signals. It is noteworthy that the maximum allowed value for frequency is "1500" Hz. For example, the third harmonic data are entered in the table, including three voltage signals with an amplitude of "10" V and a frequency of "150" Hz and three current signals with an amplitude of "300" mA and a frequency of "150" Hz. After data were entered, the waveform corresponding to this signal containing the main and third harmonics is shown in "Signal View" window. During the test, the output waveform and the actual value of harmonic injected by the device can be observed in "Signal View".


The data related to the desired nth harmonic signal are entered in this table. These data include amplitude, phase, and frequency that are entered for voltage and current signals. It should be noted that the maximum allowed value for frequency is "1500" Hz. For example, the fifth harmonic data are entered into the table, including three voltage signals with an amplitude of "5" V and a frequency of "250" Hz and three current signals with an amplitude of "200" mA and a frequency of "250" Hz. After data was entered, the waveform corresponding to this signal containing the main third and fifth harmonics is shown in "Signal View" window. During the test, the harmonic signal injected by the device can be observed in "Signal View". Please note that a decaying DC offset value can be used in this table instead of harmonic signal.


As mentioned before, one of the features of Vebko device and software is relay testing in transient state. To easily access the windows needed for this “State Type”, a “Layout” named “Default Layout for Transient” is designed specifically for this state which is located in the “Windows” menu. This layout includes “Detail View”, “Signal View”, “Measurement View”, “Vector View” and “Impedance View” windows. Here, to have a better view of the “Detail View” window, all other windows is closed. When a fault occurs, the relay saves the fault information and moments before the fault as a “Comtrade” file and provides the user with this file. By using this information it is possible to view impedance or differential trajectory or by injecting the same transient signal, simulate the fault moment and test the relay performance again.


Other than “Comtrade” file with “cfg” extension, there is another file with “dat” extension. These two files have the same name and for the “comtrade” file to be loaded in the software, both files must be together.
In “Transient Setting” section, the settings related to “comtrade” file are adjusted. By selecting “Import Comtrade”, the “comtrade” file exported from the relay is imported and loaded. Moreover, a list including several “comtrade” files is located in the software. By selecting “Import Comtrade from List” option this list opens and a file can be selected and loaded. After loading a transient file, the data related to that file is loaded in the table of this section. In “Signal” column, name of the output of the device is specified. To change the outputs of this section, “Analog Out” tab in the “Hardware Configuration” page can be used. In “Channel” column, current or voltage signals allocated to output of the device are displayed. By opening the drop down field, it is possible to change the allocated signal.


In “Scale” column, the user can determine a specific percentage of the Transient signal amplitude for injection. In “Min” and “Max” columns, positive and negative amplitudes of signals of “Comtrade” file are specified. In “Pirm.factor” and “sec.factor” columns, the conversion ratio of “VT”s and “CT”s is specified in relation to the “Comtrade” file and it is possible that values of these coefficients are not the some in some files. In that case, the user needs to edit them. For example, here “Prim.factor” is set at 1 kilovolt and by right-clicking on this column and selecting “Apply to all Voltage”, this value is set for other voltages as well.

In “PS” column, it is specified that the information of “Comtrade” is primary or secondary side. If it is “Primary”, in “Min” and “Max” columns the secondary values are placed in “Prim.factor” and “Sec.factor” in accordance with the given conversion ratio. If “Secondary” is selected, in “Min” and “Max” columns, the original values of the file are placed. To calculate the “RMS” value of the signals of “Comtrade” file and displaying it in “Signal View”, first, “Calculate RMS, Phase and Other” option should be checked and then in “Setting” tab, in “Show Type” box, the “RMS” radio button is checked. After seeing signal's "RMS" value, "show type" is get back to the instantaneous state.


By checking “Select All Channel” in “Channel” column, it is possible to select all voltage and current signals existent in the “Comtrade” file for outputs of the device while if this option is unchecked, in the list of every output, it is possible to only select signals from the same type of output. For example, in “VL1-E” output, only voltage signals of the “Comtrade” file are visible. The reason for the existence of this option is that in some transient files, the unit of signals is not given in volt and ampere and the software is not able to differentiate between current and voltage and allocate it to the output of the device. So, it is necessary for the user to manually introduce the voltage and current signals to outputs of the device.


If the user wishes to view the waveform of all voltage, current and digital signals existent in the “Comtrade” file in “Signal View”, he should select “Current State” from the toolbar. Then from the “Setting” tab in “Signal View”, he should select the signals that he wishes to view. But in “All State” state, it is only possible to view the waveform of the outputs of the device in each “State” and not the waveform of all signals in “Single View”. To better analyze the transient signals in “Vector View” window, it is possible to open up to 5 “Vector Views” and, view the vector of different signals in different times. Complementary description about “Vector View” window will be provided in the videos related to this window.




If the current and voltage values allocated to the output of the device which are specified in “Max” and “Min” columns exceed the allowed injection amount of the device, an error message is recorded in the “Errors” section. By selecting the “Limit Voltage and Current of Transient File to Setting”, the amplitude of these signals is limited to the injectable amount by the device. The difference between this option and “Scale” is that by selecting this option, a part of the signal amplitude which is exceeding the allowed amount is cut but in “Scale”, only a coefficient is multiplied by signal amplitude and no part of the signal is cut. The name of the “Comtrade” file is written in “File Name” section.

By right-clicking on “Prim. Factor” column or “Sec. Factor” and selecting “Fill Primary Secondary from Device” option, the “Prim. Factor” and “Sec.factor” values are entered in the “Test Object” page from “Device” block and if “Fill Primary Secondary from Comtrade File” is selected, the values of this column are entered from the “Comtrade” file. In “Sampling Rate” section, the information related to sampling frequency of the device and “Comtrade” file is specified. In “Original” field, the original value of the signal sampling frequency, in “Used” field, the value of used sampling frequency to be displayed in “Signal View” window and in “Frequency” section, the test signal frequency is specified.



If the user wishes to apply a part of the transient waveform to the device, he can use the “Trim Time” section where its start time is specified in “Start Time” section and the end time is specified in “End Time” section. In this section, when the “Comtrade” file is loaded, the time value is extracted from the “Comtrade” file. To inject a part of the transient signal by device, first, the “Current State” option should be selected. Then, by activating “Cursor1” and “Cursor2” in “Setting” of the “Signal View” window, the beginning and end of the signal is specified. Finally by clicking on “Apply from trackbars” option, the values of “Cursors” are entered automatically. Also by selecting “Reset Time” option, these times reset.




One of the applications of “State Type” Transient” is that the impedance and differential trajectories of distance and differential relays could be observed. The meaning of trajectory is the route of the change of differential or impedance characteristic of differential and distance relays in their characteristic curves based on the injected waves to the relay. For this purpose, at first, from the “window” menu, the “Default Layout for Transient” option will be selected so the arrangement of the windows would change. In this arrangement, the “Detail View”, “Signal View”, “Vector View” and “Impedance View” windows are positioned that is used for observing the trajectory.


In the following, the “Detail View” window will be selected from the “State Type” drop down field of the “Transient” state. Then, the “current State” option will be selected from the toolbar on the upper part of the page. By doing this, the signals related to “State Type” in the “Signal View” and “Vector View” will be displayed after entering the “Comtrade” file.


For observing the differential or impedance trajectory, the data related to relay must be loaded in the software so the characteristic curve of the relay would be displayed in the “Impedance View”. In this video, the objective is to show the impedance trajectory of a distance relay.

To do so, the “Test Object” icon will be clicked so the “General Test Object” would be opened. On this page, by having “XRio” ad “Rio” files of the relay, the data of the relay would be entered in two ways. In this video, the data are loaded using the “Rio”. To do so, we will click on the “Import from File” option, the file of “Rio” of the distance relay will be selected and loaded, and the OK option will be clicked. After loading the relay data, the impedance characteristic relay will be displayed in the “Impedance View”.



After entering the relay information, the transient state file that is extracted from the relay should be loaded in the software. As you know, the “Comtrade” output is two files with the format of “CFG” and “DAT”. If these two files are not located in a folder, then, this file will not be loaded in the software. To do this, click on the “Import Comtrade” option and then the intended file will be selected and loaded. Note that if the “Rio” has the same name as the “Comtrade” file and is located in a folder, by loading the “Comtrade” file, the data of the “Rio” file will be loaded automatically. After loading the “Comtrade” file, the voltage and current signals will be displayed in “Signal View” and the information of voltage and the current signal will be displayed in the “Detail View” window. “Calculate RMS…” should be checked to the software calculates the RMS and phase of the voltage and current signals to trajectory display. After this, in the “Signal View” window, the “Setting” tab, the “cursor” option will be checked. After activating the “Cursor”, the impedance trajectory could be observed online in the “Impedance View” by moving the “Cursor 1” in the time axis of “signal View” window. Note that for the differential relays “Comtrade” files, six current phases and for distance relays “Comtrade” files, three current phases and three voltage phases should active. Also, you have to check that the assigned signals to each output to be exactly according to the state that exists in the real state and in case of difference, it should be manually modified.







As mentioned in the “Impedance View” window, the impedance or differential characteristic curve of the relays is displayed. By opening this window, the impedance characteristic curve is displayed by default. This curve displays the line impedance in terms of “R” and “X”. In the “Impedance View”, select the “Differential” icon from the left-side icons for displaying the differential characteristic curve, so the differential characteristic curve of the differential relay would be displayed. This curve will be explained more in the differential trajectory video.


In the “Impedance View” window, by clicking on the “Undo” or “Redo” icons, we can return to the previous or next changes that are done on the characteristic curve. The “Zoom Model” icon places the mouse cursor in the zoomed condition for magnifying a part of the characteristic curve. The “Optimize all” icon will show the characteristic curve shape as a complete curve. The “Zoom In” and “Zoom Out” icons are used for magnifying and zoom out the characteristic curve. Using the “Pan Mode” icon, the characteristic curve could be displaced. By clicking on the “Hide/ Show Toolbox” the existing icons in the “Toolbox” could become hidden and shown again. Using the “Fault Type” icon the fault display can be specified. By clicking on the “Export CSV” from the settings of the relay zones that are checked, a “CSV” format output could be saved. Please pay attention that one CSV file will be given for each zone.








By clicking on the existing gear wheel in the below of this window, some options will be displayed for a better trajectory. By checking the “Between Orange, Green” option, the trajectory will be displayed as a line that its waves are between the orange and green colors in the “signal View”. As a result, the trajectory will be displayed between these two “cursors”. By checking the “all Points” option, the trajectory will be displayed in all the points and at all the times of the “Comtrade” file. In the “Circle.Ref” field, it will be specified that the trajectory will be simultaneously displayed by displacing which cursor on the “Signal View”. Here, by changing the “Cursor” to orange the trajectory changes could be observed. The “ZL1E”, “ZL2E”, “ZL3E”, “ZL1L2”, “ZL2L3” and “ZL3L1” options show the impedance trajectory in different faults. The display of the trajectory of that fault can be deleted from the characteristic curve by unchecking each of them. In the below of each of these options, the coordinates of the impedance point is displayed as the “R” and “X” as online by moving the “Cursor 1” in “Signal View”.


For observing the amounts of voltage and current at each moment, in the “Vector View” window of the “Type” field, the “Orange” option should be checked that is related to orange-colored “Cursor”. Then, the voltage and current values and also the trajectory variations could be observed online by changing this “cursor”.

As already said, one of the functions of the "State Type: Transient" is to observe the impedance and differential trajectories of distance and differential relays. The route trajectory signifies the variation of differential or impedance characteristic curve in differential or distance relays based on the injected wave shapes. To this purpose, at first, from the "Default Layout for Transient" option is selected from the "Window" menu, so the arrangement of windows change proportionally to this test run. In this arrangement, the "Detail View", "Signal View", "Vector View" and "Impedance View" are located in a way to observe the trajectory.


Subsequently, the "Transient" state is selected from the "Detail View" window from the "State Type" slider field. Remember for "Comtrade" files of the differential relay six current phases, three current phases and three voltage phases must be active for "Comtrade" files of distance relay. Also, examine if the assigned signal to each output matches exactly the real condition and in case of any differences you have to correct it manually. At first, six current phases are activated in the "Hardware Configuration" window and the voltage phases are deactivated.


In this video, the objective is to import the relay information and "Comtrade" file simultaneously. This case happens when the "Comtrade" and "Rio" files of the relay have an identical name and saved in one folder. Then, click on the "Import Comtrade" option and the "Comtrade" file of the "7ut613" differential relay is selected. After that, the "Open Comtrade File" message is shown. This message signifies that a "Rio" file with the same name as the "Comtrade" file exists. By clicking on "YES", the "Rio" and "Comtrade" files of the relay are loaded simultaneously and in case of selecting "NO", the "Rio" file won't be loaded and the relay information should be loaded separately. In this video, after clicking on the "YES" option, the "Rio" and "Comtrade" files are loaded simultaneously. After loading the "Comtrade" file, the "Detail View" window should be checked to see if the assigned signals to the current outputs accommodate the real condition or not. In this table, the "3I0" signal is imported instead of the "IL1-M2" signal that is not correct. Therefore, in the "Channel" column, the IL1 (1) slider field is right-clicked and the "IL1-M2" is selected. The "IL2-M2" and "IL3-M2" signals are assigned to fifth and sixth outputs, respectively. Then, from the toolbar on the top of the page, the “Current State" option is selected. By doing this, the signals related to "State Type" is displayed in the "Signal View" and "Vector View" after importing the "Comtrade" file.




Subsequently, click on the "Differential" icon on the "Impedance View" window, so the characteristic curve of the differential relay is displayed. This curve is based on "I bias" and "I diff" that are bias current and differential current, respectively. Remember by selecting the "Differential" curve, proportionally, the name of the window is changed to "Differential Characteristic". After this, the "Cursor" option is checked in the "Setting" tab in the "Signal View" window. Do not forget to check “Calculate RMS…” option which displays the differential trajectory. After activating the "Cursor", by moving the "Cursor 1" over the time axis in the "Signal View" window, the differential trajectory could be observed instantly in the "Differential Characteristic" window. By checking the "All Point" option, the differential trajectory is displayed in all the time of the "Comtrade" file. Other options of the "Differential Characteristic" window are similar to the "Impedance View" window that has been explained in previous educational videos.

In "State Type: Tracking", power swing test or "power swing blocking" of distance relays is done. Power swing protection or "power swing blocking" is performed at the level of power transmission network. In order to conduct "Power Swing Blocking" test, after selecting "State Type: Tracking", the "Impedance View" window should be opened to display the impedance characteristic of relay, because in vebko software, this test is conducted by impedance characteristic.
![]()
![]()
![]()
The power swing blocking test is usually conducted in three-phase fault and "Z-I const." mode. That is why in "Fault Type" field, the fault type has been selected to be "L1-L2-L3" by default. In "Z-I const." mode, the test current is constant and different voltages are generated to create fault impedance. "Analog Output Channels" table data have been created based on this "Set mode". The values of voltage and output current from these data are calculated by software and displayed in "Table View" and adjusted by the device. It should be noted that in "State Type: Tracking" state, the "Ananlog Output Channel" table is "Read Only" and no value can be changed to the table.
![]()
At the beginning of this test, data related to distance relay should be entered into the software so that their impedance characteristic can be displayed in "Impedance View". To this purpose, click on "Test Object"; by selecting "Import from list" icon, "XRio Converter" file for distance relay "P441" is loaded.
![]()
![]()
![]()
Then in "File" menu, select "Load Relay Setting" option, and in the opened window of "XRio" file, select distance relay "P441". By unchecking the options in "Matching Algorithm" part, which was previously described, "XRio" file is loaded. Upon clicking on the "OK" option, the relay impedance characteristic is displayed in the "Impedance View" window.
![]()
![]()
The power swing blocking test is conducted based on the impedance characteristic. In this test, the impedance observed by the relay enters the tripping zone from a zone out of the characteristic curve (No Tripping Zone) and exits rapidly; in this case, the relay must "block" its trip. There is a table next to the impedance characteristic curve in "Impedance View". This table can be used to enter power swing blocking test data.
![]()
In order to conduct this test, one point outside the characteristic curve, one point inside the characteristic curve, and again one point outside the characteristic curve should be added. After the points are added in the characteristic curve, it is observed that a row has been added to the right table per point. In the "Num.Step" column of this table, the number of points are entered between the previous point and the selected point and depicted in the impedance characteristic curve.
![]()
![]()
In "t nom" column, the total time of voltage and current injection corresponding to these are entered. In"I test" column, the injection current of these points are determined. Considering that the injection is in the form of constant current, the current of all points is constant. The real and imaginary values of the selected point have been entered in "R" and "X" columns, respectively. . Once the table data of this test are completed, this test is ready to be executed and upon clicking "Start" option, the test is conducted.
![]()
![]()
![]()
Using options in "Set Mode" field in "Set Mode and Fault Type" part, the user can introduce certain parameters to software to test in "Analog Output Channels" table and produce the device voltage and the current corresponding to them. The output values of device can be observed in "Table View" window.

Considering test conditions, the "State Types" of "Continuous Ramp" and "Harmonic" are performed only in "General: Direct" mode. Additionally, considering "Power Swing" test conditions, " State Type :Tracking" is performed in "Distance: Z-I const" mode. Note that since in "Transient Type", the values and type of data are extracted from "Comtrade" file, "Set Mode and Fault Type" part does not exist.




The "Set Mode" filed can be put on different modes in the "State Types" of "Step Ramp", "Quick", and "Normal"; in this film we refer to "General" modes. "Analog Output Channels" table in "General" modes has "Signal", "Amplitude", "Phase", and "Frequency" columns.

In this mode, values of voltage signals and the output current of the device are directly determined by adjusting the phase values of voltage signals and the values of current signal lines in "Analog Output Channels" table. In this mode, the frequency value can be determined in "Analog Output Channels" table, but in other modes, the frequency value is obtained from"Test Object". As it can be observed, values of "Analog Output Channels" table have been directly entered in "Table View" window.
In this mode, the output signals values of the device are determined by adjusting the line to line values of voltage and current signals, as well as the value of zero sequence voltage in "Analog Output Channels" table. As it can be observed, the current values in "Analog Output Channels" table have been directly entered into "Table View" window. By changing the zero sequence voltage to 5V, the voltage value of each phase changes to 6 V in the first phase and 4.583 V in other phases based on the defined relations.

In this mode, by adjusting the value of voltage and positive, negative, and zero sequence current in "Analog Output Channels" table, the values of device voltage and current signals corresponding to them are determined. In order to observe these changes, the negative sequence value changes to 5. According to mathematical relations, the value of the first phase and the other two phases was calculated to be 11 V and 4 V, respectively. In addition, by changing the negative sequence current to 2 Amperes, the output values of current changes to 2.391, 3.973, and 1.581 Amperes, respectively.



In this mode, the values of device voltage and output current signals are determined by adjusting the phase value of voltage signals, apparent power, active power, and reactive power in "Analog Output Channels" table. The fourth to sixth rows of apparent power are related to each phase and the seventh row is the apparent row of three phases whose magnitude is determined in "Amplitude" column and their angle is determined in "Phase" column. Moreover, the eights to tenth rows are related to the active and reactive power of each phase, and the eleventh row is related to the active and reactive power of three phases. The active power value is determined in "Amplitude" column and reactive power value is determined in "Phase" column.

As it can be observed, the voltage values in"Analog Output Channels" table are directly entered into "Table View" window and by changing the value of apparent power of three phases to 50 volt-ampere (VA) in" Analog Output Channels" table, the current values in the output change to 1.515 A in the first phase and 4.167 A in the other two phases.
In this mode, first the fault type is selected from the slider bar of "Fault Type" field, then in "Analog Output Channels" table, the value of fault voltage, fault current, and their angle are entered and the values of device voltage signals and output current corresponding to them can be seen in "Table View" window. As single phase to ground fault is selected here, the values of device voltage and output current in that phase are considered to be equal to the value of fault voltage and current in"Analog Output Channels" table.

As mentioned before, using options in "Set Mode" field in "Set Mode and Fault Type" part, the user can introduce certain parameters into software to test in "Analog Output Channels" table and produce the device voltage and the current corresponding to them.

is used for impedance and distance functions, in this mode, the user enters fault impedance and test current, and the device injects the corresponding current and voltages to it. If user determines the fault impedance in terms of magnitude and angle, the software calculates "R" and "X" values and displays them in the second row. For example, the impedance value of 1 ohm (Ω) has been entered with a 45º angle, and the "R" and "X" values are shown in the second row. If the fault impedance is also adjusted in terms of "R" and "X", the software calculates the impedance and angle and shows it in the first row. For example, the value of "R" and "X" has been adjusted to be 100 milliohm (mΩ) and 50 mΩ, respectively, and the values of impedance and fault angle are shown in the first row. In this case, the test current of 2 A is entered for dual phase fault "L1-L2" and the software calculates the voltage and test current values using mathematical relations and shows them in "Table view". In "Distance: Z-V const" mode, by keeping voltage constant and adjusting it by user, and by adjusting the fault impedance value, the test current value is calculated using mathematical relations and displayed in "Table View". Additionally, in"Distance: Z-Zs const" mode, the value of fault impedance and "SIR" parameter value, which is the ratio of source impedance to fault impedance, are adjusted and the values of current and test voltage are calculated using mathematical relations and are displayed in "Table View".



Now if user wants to consider the fault impedance in terms of a percentage of a parameter, he can use three modes: "Distance: Z%-I const"، "Distance: Z%-V const", and"Distance: Z%-Zs const. " in the "% of" part, it has been determined that fault impedance should be selected as a percentage of line impedance. In the "Z%" part, it is determined that what percentage of the selected value the fault impedance should be, and in "phiZ" part, the impedance angle is adjusted.

In "Distance: Z%-I const" mode, the fault current is constant and the software calculates its corresponding voltage and current based on the fault type and impedance. In addition, the value of fault voltage is constant in "Distance: Z%-V const", and when the user adjusts it, the test current values are calculated by software. Additionally, by adjusting "SIR" parameter in "Distance: Z%-V const" mode, the value of current and test voltage is calculated in software. It should be noted that the current and test voltage values are also calculated using the above mentioned formulas with the difference that the impedance value is selected to be a percentage of the line impedance. For example, in "Distance: Z%-Zs const" mode, the impedance test point is selected to be 80% of the line impedance with a 40° angle and "SIR" value is adjusted to be 10. Now the values of voltage and test current are calculated using the above mentioned mathematical relations and displayed in "Table View".

If user wants to conduct "OverCurrent" test in this room, he should adjust "Set Mode" on "Overcurrent: ITest" and adjust current, current angle, and voltage for directional functions in "Analog Output Channels" table. In "Table View" page, the values of voltage and test current are calculated based on the selected "Fault Type". For example, for two phase fault "L1-L2", the test current of 1 A with a 40° angle and voltage of 5 V was adjusted and the values of current and test voltage can be observed in "Table View".


Additionally, in order to test differential relays in this room, the user should open "Hardware Configuration" window and disable the voltage outputs and enable all 6 current phases. Then in "Detail View" window adjust the "Set Mode" on "Differential: IBias, Idiff". By adjusting "IDiff" and"IBias" values to be 0.5 and 7 times of the nominal current in "Analog Output Chnnels" table, the current of different phases is calculated for differential function and displayed in "Table View" window. Pay attention that these values are calculated based on the parameters adjusted in "Differential" block of "Test Object" page, and the user is required to enter the specifications of the protected equipment and tested relay.


This option appears in the “States” after “State
Type: Step Ramp” in “Detail View” window. By checking this option, the current or
voltage value of the current State is injected from where the previous “State”
is finished. This option is used to
measure the relay trip time or “Pickup Drop off” test in relays. For example,
in “Pickup Drop off” test an increasing “Step Ramp State” is created where
three-phases 2amps to 4amps current increases with 0.2amp steps and “Trigger”
condition for reception of “Pickup” signal is specified. Note that “Binary
Input 2” is specified for “Pickup” signal reception.



The second “State” is a decreasing “Step Ramp” where three-phases 4amps to 2amps current decreases with 0.2amp steps and “Trigger” condition of “Dropping” the relay (1->0) is specified. After performing the test, you can see that after receiving the “Pickup” contact, the second “State” starts decreasing from 4amps until the relay “Drops”. But if you check the “Continue Last State Amplitude” option in “State2” and perform the test, after receiving the “Pickup” signal, the current in the second “State” starts decreasing from where the relay performed the “Pickup” and keeps doing so until the relay performs the “Drop”.




If you check the “Show Actual Value” option in “Hardware Configuration” window, the “Disable Get Actual” option appears in “Detail View” window. By checking this option, the actual current or voltage value will not be displayed in that “State”. If there are two “States” and the injection time in a “State” is too long and you do not want to view the actual value, by checking the “Disable Get Actual” option in “Detail View” window, the actual value will not be displayed in that “State”.


In the back of every voltage or current output of the device there are relays which separate the “Amplifier” section of the inside of the device from the front panel. Before performing the test these relays must be connected and then the voltage or current is injected from the outputs of the device. In “Disable Relay” section in “Detail View” window, by checking any of the options available in the list, it is possible to disable the relay related to that output and then after performing the test you can see that the actual output value of the intended port equals zero. This option is used in tests such as magnetic flux division in transformer because by using this option, it is possible to create different modes of open circuit of coils for the test automatically.

To perform tests such as transformer wiring resistance test which needs a long time to charge the winding of the transformer, the current starts increasing from zero and during this time, because of the difference between the specified current and the actual current injected by the device, there is error Other. So to make the test practical it is necessary to disable the error “Other” so that the test can continue. Also, in this test, it is possible that huge voltage peaks occur momentarily; therefore to avoid stopping the test, the “Overvoltage” error of the binary needs to be disabled as well.
The last option on this page is “Start Time Ref. From This State”. To better understand the function of this option, suppose that there are two “States” and the first one is “330” milliseconds while the second is “35” milliseconds. Normally, the first “State” is followed by the second “State” and the signal is continuous. In this example, if you zoom on the border of the two “States” in “Signal View”, you can view the continuity of the signal. In this case, the time reference to determine the phase of the signals is the first “State”. This is why even though in the second “State” the “Il1” current phase is zero, its signal does not begin from zero. Now, by checking “Start Time Ref. From This State” option, you can see that the time reference of the second “State” is changed and considered from the beginning of this “State”.

The "signal view" window is used in all test pages, including "AMT Sequencer", "AMT Distance", "AMT Differential", AMT Overcurrent", etc. In order to open this window, one can use the "view" menu, the "signal view" option, or the tool bar, "signal view" icon. The output voltage and current signals as well as the status of the device "binaries" are shown in this window. In "setting" tab, this window setting is performed.



In order to zoom in or out along horizontal axis, click on "zoom" option and use Zoom In (+) and Zoom Out (-), respectively. Here, “Plus” is used to Zoom In (+). In addition, you can also use the + and - keys on the keyboard or the Scroller.
In order to zoom along vertical axis, hold down Ctrl and roll the mouse wheel. By doing this, you can zoom in on the voltage diagram of group "A" and along "y" axis. This can also be done by holding down the Ctrl key of the keyboard and using the + and - keys.
Using "Optimize" option, the diagram display can be optimized. If the user intends to optimize the curves along horizontal axis, the "Optimize X-Axis" option or the X shortcut key of keyboard can be used. If one intends to optimize the curves along vertical axis, they should use the "Optimize Y-Axis" option, or the shortcut Y on the keyboard. If the "Optimize all" option is selected, the whole curve is displayed within the specified time, and the diagrams are optimized in terms of both "x" and "y" axes.
In the "view" option, you can zoom in on the given diagram along "Y" axis, for example the voltage diagram of "A" group is set on"100". Additionally, some values have been written beside the coefficients of this list that are used to apply changes using the keyboard buttons. Here, for example, it is observed that this diagram is shown along "Y" axis twice magnified using voltage "A" group diagram and by pressing "2" on the keyboard.
In "signals" option, the displayed signals are shown in the corresponding diagram. From this part, the user can hide the signal curve in the selected diagram by unchecking the desired signal. For example here the "V L1-E" signal is hidden in the diagram. Additionally, the user can also hide or show that signal in the diagram by holding down "shift" key on the keyboard by clicking on the desired signal name. For example, by holding down "shift" and clicking on the "VL1-E" signal name, this signal can be added to the diagram.
The "bold" option is used to make the signals displayed on the diagram thicker, for example here by checking "V L2-E", it can be observed that its signal become "bold"; moreover, the line next to the signal name becomes "bold". By holding down "Ctrl" key and clicking on the desired signal name, it can be displayed in "bold" state or the user can leave this state. For example, by holding down the "Ctrl" and clicking on the "VL2-E"signal name, this signal leaves the bold state.
Remember the options "View", "Signals", and "Bold" act differently for each diagram, for example, by right clicking on group "A" voltage diagram and adjusting the "view" on 200%, it is observed that the height of relevant voltage diagram increases by 200%, but the height of the current outputs of group "A" diagram remains unchanged. Additionally, by right clicking on the group "A" voltage diagram and by opening "signal" and "Bold" options, it can be seen that only group "A" voltage signals are shown. So if you want to use the "View", "Signals", and "Bold" capabilities for current outputs of "A" group, you should right click on the current diagram of group "A" and apply the required changes.
In the "diagram" option, the list containing all signals exists and the given signal can be selected to be displayed in "signal view". Please consider that here the signals used in test and enabled from "Hardware Configuration" can be selected. The group "A" voltage outputs, group "A" current outputs, and the device binaries have been selected by default to be displayed in the "signal view". For further explanation, first go to "Hardware Configuration" to enable all voltage and current outputs of the device; now if the "Voltage all" option is selected, all voltage outputs of groups "A" and "B" are shown in a diagram. Moreover, if the "Current all" option is selected, all current outputs of groups "A" and "B" are shown in a diagram. If the user wants to have each of the voltage and current outputs in a separate diagram, that signal should be enabled here by checking it. For example the "IL1" and "IL2" signals are checked. It is observed that each of the "IL1" and "IL2" signals are displayed in separate diagrams. Additionally, if the user needs to display the current outputs of group "B" in a diagram, the "current Group B" should be selected from this part. Each signal can be added to or removed from this window in this way.
If the user has made any changes in the way of displaying signal lines, hiding signal, adding or reducing signal, etc., by clicking on "Default View" option, all settings in this window will be restored to default and the applied changes are removed.
The following items “signal view” right clicks menu
“Signal properties”: This item is used for setting the display and color of signals in “signal view”. When you click on it, “signal properties” page opens. Also, you can open this window by double clicking “signal view”. The display and color of analog signals can be set by “analog signals” tab. You can select the signal from “signal” frame. Here, “V L3-E” is selected as an example. The selected signal can be observed in the field “Name”. The selected signal cannot be changed. In “Line style”, the user can select a style for signal curve display. Solid is the default style. However, the user can change that in the existing dropdown menu. The line thickness is set by “line width” that has a maximum value of 15 point. By clicking “color”, you can select a color for signal line. “Marker type” is used for inserting a special geometric shape along the signal path; the geometric shape can be selected out of the shapes in the list. Here, “square” is selected for “V L3-E”. Before leaving this page, any change in the signals can be observed in “preview” field. In the field “space between markers”, the space between the selected “markers” on the signal line can be set based on “pixel”. For example, “10px” is selected on the space. On “preview” field, you can see some circles created on the signal curve; the space between these circles is “10px”.


The display style and color of binary signals are set in the “binary signals” tab. The signal is selected from the “signal” menu, and the name is observed in the “name” field .Here, “Bin. Out 1” is selected. The signal color is selected from menu “color”. Here, orange is selected as the signal color. The changes in the signal can be observed in “preview”. By clicking “OK”, the settings are applied on the signals. Note that in order to retrieve the default settings of signal display, you can click “reset to default” in “signal properties” window.

You can open “selected signal (lissasous)” by clicking on it. In this window, the user can select two signals from the fields “horizontal axis” and “vertical axis” and display them terms of one another. For example, here the two signals “V L1-E” and “V L2-E” are selected and displayed in terms of one another after clicking “Zoom all”. In the left toolbar, there are some tools for making changes in the curve. These tools are respectively used for displaying and hiding the toolbar, selecting the pointer icon, undo and redo, zooming the curve, zoom all, zoom in, zoom out, and selection of pan mode for moving the curve.

Note that the user can press the mouse scroll and move “signal view” curves on the diagram. The window “go to time signal view” can be opened by “Ctrl + G” keys. If the user wants to observe the signal at a specific time, the considered time should be specified in the field “specific time”. Also, in order to determine the signal between two points, the user should specify the times in the fields “from” and “to” in “In range” section. For example, 0.5 second is inserted in “from” and 0.8 second is inserted in “to”. You will see that the signals of voltage group “A” are displayed in the specified range.

If the user has inserted several curves in “signal view” window, these curves can be observed by using the keys “up” and “down”. For instance, some curves are activated and can be seen by using the up and down keys.
At the top bar of this tab, there is a list of enabled signals in the device inputs or outputs being enabled in “Hardware Configuration” window. each of these signals in “Signal View” window, it should be selected in this bar; Note that “Show Actual Value” should be set to see “Binary Input”. For example, “ voltage group B” is enabled in “Hardware Configuration” window. Then, by enabling “ Binary Input” “C3” on “Trip” signal and setting its “Show Actual Value”, these signals are added to the list of enabled signals in order to display in “Signal View” settings that the relevant signal can observed by selecting each one.

Since the voltage and current outputs of Group “A” are enabled in “Hardware Configuration” window, all voltage and current signals of Group “A” can be observed by selecting “Voltage GroupA” and “Current GroupA”.These options can be displayed in this way if “B” voltage and current groups are enabled; in addition we can also have a specific graph for each phase by selecting each one of the phases.
“Voltage All” and “Current All” options represnet the voltage and current output signals of groups “A” and “B” in a graph. “Digital” option represents the status of receiving or not receiving “Binary Input” and “Binary Output” signals in a specific graph. Fot this purpose, set the “State” time to 5 seconds in “Detail View” and “Trigger” is set to 1 “C3” binary. After performing the test, this binary is short circaited and you can see that receving the signal is shown on “C3” binary in “Digital” graph.

In “General Setting”, the settings related to the display of signals is performed. In Radio Button, displaying the signal will be effectiove by selecting “RMS” in button radio, and the signal display will be instantaneous by selecting “Inst”.

Two options “Period Time” and “Num. Of Period” in this section for the “Actuals” being received from the device.
“Period Time” is used for indicating the time of a period and the default value is set according to frequency, but you should change this manually by changing the frequency.”Num. Of Period” is used for calculating the “RMS” value based on the average number of several periods. As the number groes up, the longer it will take, while the accuracy increases and there will be less fluctuations.
By selecting “Live Scroll”, you can easily observe the voltage or current signal changes at any moment of the injection and the instantaneous signal changes. In order to see this, a test will run on the zoomed signal and you can always observe the moment of injecting the signal.
By selecting “Highlight Current State”, a part of the signal related to the current “State” is specified. In order to see this, if another State is added, a part of the signal related to the current State will be highlighted. “Show Time On Binary” displays the time related to disconencting or connecting the output and input binaries to “Digital” graph. For observing it, run the test , on which the time is shown by connecting and disconencting the “C3” binary.

In “Show Table”, the settings related to “Cursors” and “Data Table” are made. First, you should enable Cursor and Data Table by selecting them at the top of the table. In this table, up to three “Cursors” can be enabled in “Cursor” column and Data Table can be used for analyzing the signals. Remember to show the data in each “Cursor” in “Data Table” the related “Data Table” column should be checked. In addition, three other rows specific to the difference between “C1”, “C2” and “C3” cursors can be enabled or disabled in “Data Table” column. After enabling “Cursor” and “Data Table” at the top of the table, you will see a table and two “Trackbars” added to “Signal View” window.”Time” column represents the time when the “Cursor” is on it. In “Signal” column, a signal is dedicated to “Cursor”. “Value” column represents the signal value, “RMS” column represents the effective signal value, “ Phase “ column shows the signal angle and in “ Frequency “column, the test frequency is displayed.

In “Extra Setting”, “Cursor” attaches to the moment of receiviong the digital signal and increases the reading accuracy by “Snap” while “Cursor” is enabled and by approaching “Cursor” to the moment of recording the digital signal. In “Extra Options” and “Num. Of Points” field, the number of sampling points from the signal is specified and if you can reduce this value, you will see that displaying the signal will leave the full sinusoidal state. “Refresh All” refreshes all computational sections in “Signal View” window.
The “Operation” part is used when the user decides to conduct a computational operation on the existing signals. At first, the number of the required “Operations” is entered and clicking on “Initiate” creates the “Operations”. Here the number 3 was entered. A separate section is opened for each “Operation” and the given “Operation” can be deleted by clicking on the red Cross mark in the corner of the box.

In the “Operation Mode” part, it is found that with what kind of signal the “Operation” is performed, analog or “Dry”! If “By Dry Value” is selected, the active “Binary Inputs” are shown in the table At first in “Hardware Configuration” page binaries “C3” & “C4” are enabled that by using this option you can see the binaries and determine a value for them, here value “5” is assigned for each of them.For each operation A “Calculated” option is added above “Setting” bar per “Operation”. By checking this option, the “Calculated” signal is displayed in “Signal View”. In this diagram, the values of the contacts that are connected are aggregated and displayed in the diagram; this is used to test capacitive banks. For example, you can observe that the values are added in staircase by receiving the contacts “C3” and “C4”.

In the “Number of Signal” part, the number of signals used in “Operation” shows that 2 or 4 signals can be selected. In the dropdown field related to “Singnal 1” and “Singnal 2”, the given signals are assigned to them, and by checking “Advanced” option, a section is opened in which the signal information, such as the signal unit, can be determined. Additionally, by entering a value in “Coef.” field, the given signal is affected by a factor, and in the “Name” field, a name can be determined for signal. In the “Operation”dropdown field, the user determines the type of mathematical operation to be performed between signals. In the “Advanced” part of this field, a name can be determined for this action.

After the “Operation” is specified, the “Add Time” part is added which can determine time intervals on the signal diagram. In order to make it clear, at first, the time state is set at 10 seconds in “detail view”, and the same intervals are determined on the signal by specifying a time of, for example, 2 seconds in “Auto Add Time” part. If the user intends to determine non-identical time intervals, by selecting “Add Time” a window with the same name is opened, and some rows are added by right-clicking upon it. The first column determines the “Operations” to be used for calculation of the values of this row. In “Time” column, the given time is selected. In “Value” column, the value of “Operation” in the given time is calculated. The “Slope” column is the gradient column. In “Sig1” and “Sig2” columns, the values of signals at the given time are determined.


In the “Show Signals” part, all parameters corresponding to the voltage and current in test are determined. This part includes some columns and at the beginning of each, the name of the relevant parameter is written. Each column contains some options. By selecting each option, the name of its box is added at the top of the “Setting” tab, and then, by checking this option, the corresponding “RMS”valus is displayed in the “Signal View”.

When “Show Actual Value” option of “Binary Inputs” is set, two parts are added to “Setting” and “Signal View”, for example by checking “Binary-Input Target” option in the “Hardware Configuration” page and the “Binary/Analog Input” tab, all “Binary Inputs” are enabled. Then “Show Actual Value” option of one of them is set to “AC” (or DC) state and the “Show Actual Value” option of all enabled binaries is set at “AC” state upon right-clicking upon it and selecting “Set all Binary like this” option. You can observe that all “Binaries” have been added to the bar above “Setting”. By checking each of them, the corresponding signal can be seen in “Signal View”.
In the “Select Graph For Actual Binary” part, you can select other signals in the proprietary graphs of each “Binary Inputs” whose “Show Actual Value” is enabled to be displayed. In addition to displaying their signals, the “Binary Inputs” are also shown in the graph. This way, a comparison can be made between the “Binary Input” signal and other signal. For example, here we determine that in addition to displaying trip signal, Start” and “VL1-E” signals are also shown in “C1” signal diagram. Additionally, the signal name can be changed. Then by selecting the name on the bar above “Setting”, the signals can be observed.

In “Binary (Analog) Transformer” part, the user can aggregate the signal with a constant value, multiply it by a factor, or apply a phase shift to it. The user may intend to introduce another parameter by applying these factors to the given parameter, for example, if the voltage signal is obtained by multiplying the current signal by 2 and aggregating it with value 3, the introduced parameter will be voltage parameter by selecting the “Voltage” option.

To open this window, “Vector View” option from the “View” menu should be used and it is possible to open up to five “Vector Views” of simultaneously. By clicking on the right arrow of “Vector View” icon from the toolbar desired number of windows can be opened. Here, the first “Vector View” is opened. To better explain this window, first, we close “Detail View” and “Measurement” view windows. In summary, on this window it is possible to view current and voltage input and output values in different modes.



“Signal”, “Magnitude”, the first harmonic, phase, real value, imaginary values are displayed in “Signal”, “Magnitude”, “Harmonic 1”, “Phase”, “Real” and “Imaginary” columns respectively. Also, the arrow of signals can be made hidden in the “Show Arrow” column while the color of arrows can be selected from “Color” column. Moreover, to add the frequency column to this table, by right clicking in this area and selecting “Table” from “Show/Hide” option, the frequency column is added to display the frequency of signals. For example, “V L1-E” signal with a 63.51 volt range and a first harmonic value of 63.51, phase value of 0, frequency of 50, real value of 63.51 and imaginary value of 0 is depicted with a blue arrow.

Now, by changing the status of “Show Arrow” to “False”, you can see that the vector of this signal is made hidden in “Vector View”. To optimize the display of “Vector View” vectors, right click on this section and check “Optimize”. If you want to manually optimize the display of vectors, first you need to uncheck “Optimize” option and then optimize the display of vectors from the related fields at the corners of this page.

Also, if you want to add a signal to be displayed in “Vector View”, by right clicking on the vector section of this window, you should select or remove your intended mode to be displayed from the “Show” option. By default, only “Output Value” and “Actual” are selected and phase voltage and current values of the device are displayed. By unchecking “Output Value” and selecting “Line-Neutral”, you can see that in addition to phase voltage and current values, voltage and current values of neutral point are displayed in table and vector as well.

Also, if you want to display line-line values of output voltage of the device, you should select “Line-Line” from this list and check this option. Then you will see that the values of line-line voltage of the device are displayed in the above table and the vector display of them is displayed in the below vector. If you wish to see the symmetrical current and voltages, select “Symmetrical” option and by doing so you can see that the zero, negative and positive sequence values of voltage and current and their vector view are displayed in the below table.

By selecting any of the “Power (Sv)”, “Power (Sa)” and “Power (Sc)” options, the value of power is calculated in accordance with the current and voltage of the test as well as different calculation methods and then displayed in the related rows. For example, by selecting “Power (Sv)”, you can see that S1, S2 and S3 quantities are displayed in three rows. In “Magnitude”, “Phase”, “Real” and “Imaginary” columns, the apparent power value, angle, active power and reactive power are displayed respectively. Now, since here “Power (Sv)” is selected, the power value of “Sv” is displayed according to the formulas in the box and after being calculated according to vector method,it is displayed in “Sv” row. Also, in “PFv” section, the coefficient value of apparent power is displayed.

Now, if the user selects “Power(Sa)”, the power value of “Sa” is calculated using the calculation method and according to the formulas in the box and then displayed in “Sa” field. In “PFa” field, the coefficient of power is first calculated using the same method and then displayed.

If “Power (Sc)” is selected, the value and coefficient of power are calculated using the algebraic method and the displayed formulas and then displayed in “Sc” and “PFc” rows. You should keep it in mind that S1, S2 and S3 quantities are the same in all three methods and displayed on the vector. Also, when the load is unbalanced, “Power (Sc)” method works better than the others and VƩ and IƩ parameters refer to algebraic sum of voltages and algebraic sum of currents respectively. Also, V and I parameters refer to current and voltage of the system which are calculated in a four-phase system using the displayed formulas.

Here we are going to introduce the other sections of the “Vector View” page. To view the values related to current and fault voltage, the “Set Mode” in “Detail View” window must be set on “Fault Values” or other types of faults available in this drop-down list. By selecting “Fault Value”, “VFault” and “IFault” rows are added to the table. It is possible to directly determine the value of these rows in “Vector View”.

The next option is “Fault Impedance” which is activated by selecting “Set Mode: Distance” in “Detail View” window. By selecting “Set Mode: Distance” in “Detail View” and “Fault Impedance” option in “Vector View”, a new row named “ZFault” is added to “Vector View” table. Note that when this row is added, it is no more possible to modify “VFault” and “IFault” and impedance fault is directly entered in “ZFault” row.
“Angle for directional” option shows the angle between currents and line and neutral voltages which is suitable for analyzing directional over current tests. For this information to be displayed, it is necessary to set “Set Mode” on “Overcurrent: I Test” in “Detail View” window.
The next option is “Differential”. “HW” in front of this option means that this option is disabled due to “Hardware Configuration”. To solve this, go to “Hardware Configuration” and activate all 6 current phases.

“Overcurrent: I test Vdir” option is used for showing the current, line voltage and the angle between these two. Note that to display these values in “Vector View”, “Set Mode: Overcurrent: I test” needs to be selected in “Detail View”. “Voltages” and “Currents” options show output voltages and currents of the device in terms of different parameters including symmetrical voltage and current, neutral etc.

“Powers” option shows the apparent power obtained from different methods. If you want to only view the “Residual” voltage and current in “Vector View”, you can use “Residual” option while to view the “Actual” values, “Actual” option is to be used. “Text of Circle” and “Text of Vector” options are used to view the angles of the circle with 90 degrees step by step and the name of each vector in the circle vector respectively.
Next, we make an increasing “Ramp” “State”, from 10 to 60 volts with 2 volts paces and a 1 amp current. Then in “Signal View” window, “Data Table” and 1, 2, 3 cursors are activated and “V L1-E”, “V L2-E” and “V L3-E” signals are assigned to “Cursor 1”, “Cursor 2” and “Cursor 3” respectively.

There are 5 states in “Type” field. In “Normal” state, values are displayed in the table while performing the test. By selecting “Orange”, an orange “Cursor” appears at the top of the widow which is linked with “Cursor 1” in “Signal View” window and by moving this “Cursor”, the time is displayed in “Time” field. You can see that by moving this “Cursor” the signal values of all parameters are displayed in the table of “Vector View” window and as a vector in vector graph of this window. Because this “Cursor” is linked with the “Cursor1” from “Signal View” window and “VL1-E” is selected for “Cursor1” signal, instantaneous and effective values of “VL1-E” signal are displayed in “RMS” and “Value” rows in “Signal View” table respectively.

Now, if the user selects “Blue” from the “Types” available in this field, this “Cursor” turns blue and is linked with the blue cursor which is “Cursor 2” in “Signal View” window. By selecting “Green” as “Type”, this “Cursor” turns green and is linked with “Cursor 3” in “Signal View” table. So, it should be noted that in all three “Types” including “Orange”, “Blue” and “Green”, the values displayed in “Vector View” table are similar and only the “Cursor” link of this window changes along with the “Cursors” in “Signal View” window for viewing the instantaneous and “RMS” values of the intended signal.
If “Time” is selected from the available “Types”, a field named “Time” appears at the top of the page and by entering the intended time, values of signals’ parameters are displayed in “Vector View” window and their vector is displayed at the bottom of this page.

In “Reference Signal” field, it is possible to select a signal as the reference in “Vector View” window. By default, this is set at “None”. This means that if the voltage of phase 1 has a 60 degrees angle and the other phases are symmetrical, no signal is considered as the reference and based on what determined in “Detail View”, “V L1-E” and “IL 1” begin with 60 and 0 degrees angles respectively and the other signals are displayed with a 120 degrees phase difference. Now, if “Reference Signal” is set at “VL1-E”, you can see that “VL1-E” signal begins with a 0 angle and the other signals are displayed in this window with a 120 degrees phase difference. Since there is a 60 degrees phase difference between current and voltage in “Table View”, currents are displayed here with a 60 degrees phase difference. Also, if displaying the line is activated in the window, by checking “Show VLL from zero” option, you can see that the vector view of them is displayed from zero in the vector graph of this window.

If you want to perform “Zoom In” or “Zoom Out” on “Vector View” window, after right-clicking on vector section of this window, first you need to uncheck “Optimize” option, then, “Zoom” option is activated and you can “Zoom In” or “Zoom Out” by using this option. Moreover, if you wish to change the color of this page, by using “Colors” option, you can change “Background”, “Foreground” and “Helper Line” colors. For example, here, we change the “Background” color to blue, “Foreground” color to black and “Helper line’ to green. To revert the settings to default, select “Default Colors” from this section.

In reletion the “sequencer” windows, the “Measurement View” window would be explained in this video. This window is used to evaluatthe test results and some criteria determineg for the “Pass” or “Fail” of the test. Note that evaluation can be performed before or after the test then the results rvaluated. To explain this section three “states” of “Prefault”, “Fault” and “Postfsult” are created in the “TableView” that the followed voltages are injected:” in “Prefault”, content voltage of 10 V for two seconds; in the “Fault” state, the voltage will increase from 10 V to 15 V as “continuous Ramp” in 10 seconds and in “Postfault” the 0 V for one second.


The “Measurement View” window has some tabs that each one evaluates a special item. In the “Time Assessment” tab, an event time is evaluated in the test this event is received by a signal from “Trip” or “Pick Up” from a relay or logic with a combination of various conditions. In this tab, some rows is “added” and multiple time evaluations can be performed. In the “Name” column, a name, for example, “Trip Time” can be inserted for evaluation. Since it’s possible that a “Trip” signal can be recorded in different times, in the “Ignore before” and “Ignore after” a General range from the test “States” are selected so the time evaluation of these events are performed in this range. For example, by selecting the “State :Fault”, all the events before the “Fault” “state” would be ignored in the “Ignore before” column. In the same way, by selecting the “State” in the “Ignore after” column, all the events after the “Fault” “state” are ignored.
In the “Start” column, the time reference and in the “Stop” column, the event that is meant to be evaluated is specified. Here, receiving the “start” signal are selected from binary 4 as the reference and receiving the “Trip” contact as the binary3 would be selected as the intended event for time evaluation. Note that, there exists an option named as “Logic” in the “Start” and “Stop” columns that by right-clicking on it and selecting the “View Custom Setting”, a logic with the combination of various conditions for evaluation start time reference and final conditions of evaluation time calculation would be specified. In the “TNom” column, the expected nominal time of “Start” and “Stop” enters and in the “TDev+” and “TDev-” columns, the positive and negative tolerances are entered that could be different from each other.

Here, to evaluate the test, a nominal time of three seconds, a positive tolerance of two seconds and a negative tolerance of one second are entered. After running the test and recording the results in the table, the real-time of the event is specified in the “TAct” column that is about 3.623 seconds and its deviation from the “TNom” is recorded as a percentage in the “TDev” column. In the “Assessment” column, the evaluation is performed that if the “Tact” time is in the defined range of (Tnom)-(TDev-) to (Tnom)+(TDev+), the evaluation is “Passed” and if it is not in this range the evaluation is “Failed”. Here, because the 3.623 seconds are located in the range of 2 to 5 seconds, the test is passed. In the “user comment” column, you can enter your desired notes.

In the right-clicks of this section, by selecting the “Copy” option, the information of an evaluation row could be copied and by “Pasting” it, a new row with the information is created. By selecting the “Add” option, a blank row is added to the evaluation table. By selecting the “Insert before” and “Insert After” a blank row is added before and after the selected row and other time evaluations can be defined in these rows. The “Delete” will delete the selected row.

The last option in this section is the “Show/ Hide” option that is composed of two “Table” and “Report” options. There exists a list in the “Table” and “Report” sections that are exactly the same as the evaluation table columns. By unchecking each of them, that column would be deleted from the “Table” in the “Measurement View” or the “Report” section.
One of the tool for evaluating the binary inputs that should be preserved during the test is “level assessment”. In “level assessment” tab, the binary situation of the device inputs can be assessed at the start of a “state”. An example is provided for this process.

First three “states” are created in the window “table view”. Then, the range of voltage signals are inserted as “30” v in “state1”. The value of “4” seconds is inserted in the “trigger” field. Then, the value of “10” v is inserted in “state2” and its time is set as “3” second. The value of “30” v is inserted in “state3” and its time is set as “4” seconds.

In the following, by clicking “hardware configuration” in the tab “analog out”, current signals become deactivated. The binary inputs 3 and 4 can be activated in the tab “binary/analog input” in “binary-input target”; then, they are assigned a name. Here, the type of binary inputs is set as “dry”.

Then in the window “measurement view”, click on the tab “level assessment”. In this tab by clicking “state name”, the names of the existing “states” are inserted in “table view”. This name is uneditable. Note that in this tab, you cannot add a line manually. In the “level assessment” tab, the right click tool is deactivated, and for every “state” in the window “table view”, a line has been created in this tab. So, the number of assessments in this section depends on the number of “states” existing in the “table view” window.
س

The result of assessment is presented in the “assessment” column. The value of time tolerance for assessment of the zero or one level of the binary input is entered into the column “tolerance”. It can be simply stated that assessment of the level of each signal at the right and left sides of the starting point of each state depends on the value of time tolerance specified in this part. Suppose that the value of 30 ms is inserted as the tolerance of a binary input, the figure presents the schematic level assessment of the signal of this binary input. As it is obvious, level assessment at the two sides of state2 is done by a time tolerance of 30 ms in order to check the condition specified for this assessment; for example the level of the binary input should be equal to 1. As assumed, if the considered condition is that the level of Trip signal should be equal to 1 for state2, the result of assessment will be passed.

In the “level assessment” tab, the number of binaries defined in “hardware configuration”, column is added with the same name. In this part, you can set the level one or zero regardless of the binary level condition that is X.
In this film, the goal is the assessment of the level one of the binary 3 (Trip) in “state2”. Suppose that the level of binary 3 before and after the second “state” is equal to one for “40” ms and assessment result is pass. For this purpose, the value of “40” ms is inserted in “state2” in the field “tolerance”, and the level one is inserted in the field “Trip” (binary 3). A comment about the assessment can be inserted in “user comment” that is also used in the output report. Then run the test. After the test, assessment is done and the result is presented in “assessment”. As seen in “signal view”, before and after the “state2”, binary one has been preserved for at least “40” ms. So, the result of assessment is “pass”.

The “Ramp Assessment” tab is used for evaluating a signal in case special condition in the test. For example, if a relay picks up, the current amplitude is assessed and evaluated. Note that this evaluation is used only for the “States” of the “Ramp” type. For better explanation, three states are generated in such a way that the first state is adjusted as “Normal” with the voltage of 5 V for two seconds, the second “State” is adjusted as “Step Ramp” from 5 V to 20 V with 1 V steps and the third “State” is adjusted as “Step Ramp” from 30 V to 50 V with 2 V steps. In addition, in the first column a name, for example, Ramp will be entered for evaluation.

In the “Ramp State”, the intended “State” is selected from the “states” of the “Ramp”. Note that because this evaluation is only for the “Ramp” type “States”, the first “State” that is as “Normal” type is not shown in this field and from the states of two and three, the “State 2” will be selected for evaluation. In the “condition” column, a condition is specified for evaluation that here, the intended condition is specified as receiving the “Trip” signal from one binary. Also, in the “Signal” column, the intended parameter for evaluation is selected. For example, the “VL1-E” is selected. It means that the “VL1-E” voltage is evaluated when the trip signal is received. If you want to evaluate other signals simultaneously, you have to the right-click, select the “Add” option and create other columns and define another evaluation. Other existing options in the right-click section has been explained in previous videos.
In the “Signal Type” column, you have to set the evaluation to be performed on what parameter of the selected signal. Here, the “Amplitude” is selected. In the “Nom” column, the intended value of the amplitude in the time of term happening is specified. For example, this value is set to be 40 V. in the “Dev+” and “Dev-“ columns, the positive and negative tolerances are entered in which can be different from each other. Here, to observe the performance of this section, the positive and negative tolerances of 2 V and 3 are, respectively.

By running the test, in the time of receiving the “trip 0->1” signal by third binary of the device, the actual value of amplitude of the “VL1-E” signal is shown in the “Act” column in which its deviation from the nominal value in the “Dev” column is about 42 In the “Assessment column, the evaluation result specifies that if the “Act” value is located in the allowable range i.e. (Nom)-( Dev-) to (Nom)+( Dev+), the assessment result will be “Passed”, otherwise it would be “Failed”. Here, because the value of 42 is in the range of 37 V to 42 V, this evaluation will be “Passed”. In the “T Act” column, the “Trip” signal receiving time is specified and recorded by the device that here, this time is about 3.39 seconds. Also, in the “T Act Final Step” column, the receiving time of the “Trip” signal is recorded from the last step of the “Ramp”, which here is about 399.2mili seconds. In addition, if you want to define a “comment” for your assessment, you can enter your intended comment in the “Use Comment” column.

In this tab, you can evaluate a parameter from the intended signal in a specified time first a “Step Ramp” with voltage from 55 V to 65 V with 1 v and 40msecond steps has been created. In the “Name” column, you can select a name, for example, “Voltage”, for assessment. you Also, have to select the “State” in the “Reference State” column, and the intended signal in the “Signal” column for assessment, which “State 1” and “VL3-E” will be selected, respectively.

In the “signal Type” column, you have to adjust which parameter should be evaluated. Here, this parameter will be selected as “Amplitude” so the amplitude of the “V L3-E” signal in the assessment time will be measured and evaluated. Now, the specified time for assessment should be entered in the “Time” column that here, 200 ms will be selected.
In the “Nom” column, the expected value for the amplitude of the selected parameter is specified, which here, the expected value for the “V L3 E” phase voltage should be adjusted. For example, here, the voltage is set to be 60 V. in addition, in the “Dev+” and “Dev-” columns, the positive and negative tolerances are entered. Note that these tolerances can be different from each other. Therefore, the positive tolerance and negative tolerance are entered as 1 V and 0.5 V, respectively then "run" the test.

After completing the test, the actual value of the “V L3 E” signal amplitude is shown in the “Act” column. Also, its deviation from the expected value is specified in the “Dev” column in percentage, which here is zero percent. In addition, the assessment result will be specified in the “Assessment” section. If the “Act” value is in the allowable range of tolerance, i.e. (Nom) – (Dev-) to (Nom) + (Dev+), the assessment result is passed. Otherwise, it is “failed”. You see that because the “Act” value is in the range of 60.5 V to 61 V, this assessment has been considered as “Passed”. In addition, if you want to define a “comment” for your assessment, you can enter your intended comment in the “Use Comment” column.

In the “Calculated Assessment” tab of the “Measurement View” window, the mathematical operation can be performed between the assessments to create a new assessment and evaluate the test. It means that in this tab, a new parameter can be created in the specified mathematical operation that is performed for the “Actual” values of the assessments, and the parameter can be evaluated by the “Act” values that are selected from the “Ramp Assessment” and “Value Assessment” tabs. After specifying the name for the assessment, the intended mathematical operation in the “Calc” column will be selected. In the “X” and “Y” columns, one of the performed assessments will be selected in the “Ramp Assessment” and “Value Assessment”. Note that, the values that are positioned in the “X” and “Y” columns are in fact, the “Act” value of the performed assessments entered in these columns. For simpler separation of the evaluation names, the two letters of “V” and “R” that represent the “Value Assessment” and “Ramp assessment” are used.

In the “Nom” column, the expected nominal value and in the “Dev+” and “Dev-” the positive and negative tolerances will be entered. The true result of the selected mathematical operation in the “Calc” column will be shown in the “Act” column and its deviation from the expected value will be shown in the “Dev” column and in percent. In the “Assessment” column, the result of the created assessment will be specified. If the “Act” value is in the allowable range, the result of the assessment will be “Passed” with a green-colored sign. Otherwise, it will be “Failed” with a red-colored cross. In the “User Comment” column, you can enter your comment if you have any.
In this test, in the “Ramp Assessment” tab, an assessment with the name of “Voltage” is performed for the “V L1-E” voltage that will be entered in the “X” column. In addition, in the “Value Assessment,” an evaluation with the name of “Current” is performed for the “IL1” that will be entered in the “Y” column. In the “Calc” column, the “X/Y” operation is selected. As you know, by dividing the voltage to current, resistance will be calculated. Therefore, the mane of this assessment is entered as “Resistance”. After specifying the “X” and “Y” columns values, the “Act” value is shown. In the “Nom” column, the nominal values are 15.7 and the “Dev+” and “Dev-” values are entered as 0.5. you can see that the “Act” is about 0.26 percent different from the nominal value specified by the user and the assessment is “Passed”.

The "Transient Assessment" section is used to assessing the "States" that are designed for testing the "Transient". In this section, a received contact by the device from the relay can be time-compared to the binary signal in the "Comtrade" file. A sample of the application of this "Assessment" is to compare the performance of the relay while applying the signals of transient file so the user would understand that whether or not the relay has a similar function while a fault occurs.

In the "Measurement View" window, the "Transient Assessment" tab, a name is inserted for assessment in the "Name" field so better feedback is obtained from the specified item. In the "Transient" field, the intended "State" is selected. Remember only the name "States" which are "Transient" type are displayed in this field. In the "signal" field, a binary signal is selected for comparison with the reference signal from the "Comtrade" signal. In this field, the list of all the binaries activated in the "Hardware Configuration" is displayed that one of them should be selected. In the "Reference Signal" field, the reference signal is selected from the "Comtrade" file. By clicking on this field, all the existing binary signals in the loaded "Comtrade" file are displayed. In the "T Dev. -" field, the negative time tolerance related to the digital signal edge is specified and imported in the "Comtrade" file. In the "T Dev. +" field, the positive time tolerance related to the digital signal edge is specified and imported in the "Comtrade" file. The result of the assessment after running the test will be displayed in the "Assessment" field. The green color means the test is "Passed" and the red color meant that the test is "Failed". In the "User Comment" field, a message can be written about the test, before and after the test which is used in the output report. By right-clicking on the "Transient Assessment" the tabs and options are displayed that are similar to right-clicking on the "Time Assessment" tab, which was comprehensively explained in the previous educational videos (Time Assessment). The assessment in this tab is defined according to the comparison of the signal with the reference signal. For assessment, if both the signals are identical in the specified time period and have a similar status, then the assessment will be "Passed". Otherwise, the assessment is "Failed" showing that the relay didn’t have a similar performance while importing error and had another status.


To do this at first, some adjustments should be performed in some windows. In the following, an example of the test will be discussed. At first, the "Transient" state will be selected in the "Detail View" window and by clicking on the "Import Comtrade…" file, the transient state of the "Micom P441" relay is loaded. Then, by clicking on the "Current State" option from the toolbar, all the active and inactive binaries existing in the "Comtrade" file and the voltage and current signals are displayed. In the following, by checking the "Calculate RMS …", the software calculates the effective values and the phases of the signals.


Subsequently, from the "Detail View" window and "Binary out" tab, each of the existing signals in the "Comtrade" file that should be tested and assessed should be ascribed to a "Binary Output" and selected as the reference signal. In this video, two "ZONE1" and "ANY TRIP" signals are ascribed to "binary out" 1 and "Binary Out" 2, respectively and the reception of trip signal from the relay signal is compared to "ZONE1" signal to be assess.

In the "Hardware Configuration" window, "Binary / Analog Input" tab, binary 1 with the name of “Trip" is connected to the relay trip contact for comparison with the active reference signal. In the "Transient Assessment" tab, in the "Name" field a name for example "trip1" is inserted for assessment. The "State1" that is a transient state is selected in the "Transient State". In the "Reference Signal", the reference signal that is selected in the "Binary Output" is inserted (ZONE1) and the "Trip" signal is selected in the "Signal" field for comparison. In the "T Dev. -" and "T Dev. +" time tolerance "3" is inserted. In order to observe the "Binary Input" status, the "All State" option are selected from the toolbar and the test is executed so the fault is applied to the relay. Finally, in the "Signal View" the relay has the same performance as the reference signal, which is defined as the "Binary Output1", and the assessment result is "Passed".



After designing the test in each room, run the test. Here, the "Pick up", "Drop off" test is designed for the three-phase state in the "overcurrent" relay. In this test, the "CT"s turns ratio is set to be 1/1000 and the "Pick up" current of the relay is set to be 2 A. In addition, binary inputs 1 and 2 of the device are activated to receive the "Trip" and "Pick up" signals of the relay. To perform the "Pick up" test, a "State" with the name of "Pick up" and as increasing "Ramp" type is designed, in such a way that the three-phased current increases from 800 mA to 3 A each 500 ms with the 50 mA steps in the stepwise state. To end the "Pick up" test, in the "Trigger" tab, the binary condition of "C2:Start", "0-˃1" is adjusted. The intended "State" for the "Drop off" test is designed as a decreasing "Ramp" type from 3 A to 800 mA in such a way that it decreases 50 mA each 500 ms in the stepwise state. In this "State", the condition for the test end is adjusted to be "C2:Start", "1-˃0" so if the relay "Drops" the test would end. Remember that in the "Detail View" window from the state related to the "Drop off" test, you can check the "Continue Last State Amplitude" so immediately after the first state ends the current amplitude of the second state would start from the previous value in the first state as "Ramp" type until the relay drops. By doing this, the test duration decreases.





For this test, in the "Measurement View" window, several assessments are designed for analyzing the actual values of "pick up" and "Drop". In the first row, the actual value of the "Pick up" current related to the first phase is evaluated. To do this, in the "Ramp State", the " S1: Pick up" is selected, the intended condition for assessment is "C2: Start 0-˃1", the intended signal is "I L1", and the parameter type for assessing this signal is selected in the "Signal Type" as "Amplitude". Now, because the "Pick up" current is 2 A, two is inserted in the "Nom" column that the relay should pick up this current in ideal condition. In addition, the "Dev+" and "Dev-" columns the 100 mA tolerances are selected for assessment. The assessment of phase two and three picks up current is performed in the same way in the second and third-row only with this difference that in the "Signal" column related to these two assessments the "I L2" and "I L 3" signals are selected.

Also, in the fourth row, the actual "Drop" current of the phase one is assessed. For this reason, the "Ramp State" is adjusted on "S2: Drop off" and in the "Condition" column, the "C2: Start 1-˃0" condition, is selected for "I L1" signal. For this assessment, the intended parameter in the "Signal Type" has been selected as "Amplitude". Now, because the current amplitude of the relay "Drop" is 1.9 A, in the "Nom" column, the 1.9 A with 50 mA as positive and negative tolerances is adjusted. Remember that the current drop assessment in phases two and three are performed in the same way with this difference that in the "Signal" column, the "I L2 " and "I L3" phases are selected.
To run the test, you have to click on the "Start" icon in the "Toolbar" section of the software. You can then see that at first, the first state that is designed for "Pick up" test is executed and after applying the trip signal and meeting the specified condition in the "Trigger" tab, the second state is executed and tested. Besides, you can use the "Test" menu or "F5" key on the keyboard to run the test.
In order to apply the changes in the designed states and also re-run the test, you have to "Clear" the previous test results using the "Clear Test" icon in the "Toolbar". Now, by clicking on the red-colored cross icon you see that this test is "Cleared" and the icon related to "Start" is activated. Furthermore, using the "F4" on the keyboard the test can be "cleared". If you want some specified "States" to be executed from the designed "States" in the "Table View", you have to check them in the "Table View" window or by clicking on the right-side arrow of the "Start" icon, by selecting the "Start Selected State", run the selected "States". By selecting the "Start Unselected State" option the unselected "States" are executed. In addition, if you want to stop the test while its performing, you have to click on the "Stop Test" or press "F6". For example, by checking the second "State" by clicking on the right-side arrow of the "Start" icon, the "Start Selected State" is selected and you see that only the second "State" is executed. Now, by clicking on the "Stop Test" icon, this "State" end and the current injection is halted before meeting the specified conditions in the "Trigger" tab.


By clicking on the "View" menu and selecting the "Start-Condition-Repetition" option, or by clicking on its icon from the toolbar this window opens. In the "Start Condition" tab, the test conditions can be specified. If you want the test to be run immediately after clicking on the "Start" icon, you have to select the "Immediately" radio button. After selecting this option in Status bar, the St. Cond. is set on the "Immediately" and after running it the test stars immediately there is no delays exist between clicking on "Start" and "Run". Please remember that the software default is this option.


If you want the test to be run after receiving the contact by one of the binaries, you have to select the "On Binary Input" option. By selecting this option, its right side option is selected that you have to select the intended binary in it to start the test. In this field, the activated binaries are shown in the "Hardware Configuration". For example, the "C2: Start" is selected, now in the statusbar, the "St. Cond." has been set on the BI.2-Start. After clicking on the "Start" icon, you see that because not receiving the contact by the "C2" binary, the test has not been executed, now by receiving the contact by this binary, the test runs.
The third method to start and run a test is the use of a "GPS" antenna. By selecting the "On GPS", a test could run according to the "GPS" clock. One of the applications of this option is in the longitudinal differential or "End to End" tests. To run the test using this option, the socket of the "GPS" antenna should be connected to the rear part of the "AMT" device and the antenna is located in open space. By clicking on the "Start Sync" option, the "sync" process of the device with the satellite begin and in the "GPS Status:" field (shown in the figure) the "GPS" status is shown. By "Syncing" of the device and software in the "GPS Status:" field, the "GPS is Sync" term is shown. In addition, in status bar, the St. Cond. is set on the GPS (Sync). Also, in the status bar, GPS time error is displayed in the "Time Error" section. Please remember that this number should be less than 1000 ns. The tester time is displayed online in this toolbar. In the "Satellite Signal Level History" section, the number of satellites and the strength of each signal is shown. If the number of satellites and the signal strength is proper, the phrase "Detected" is displayed in the "Time Pulse" field and the device receives the "GPS" signals. Then, the device should be able to synchronize its time with the received signals from the "GPS". The date and time of the tester are specified in the "Date and Time Tester" section that this time should be identical with the time of the "GPS" in the "Data and Time GPS" field.



In the 32 bits windows, if the tester time is not the same as the time of your personal computer, you can use the Set Windows" "Time GPS (Win X86) so the time of your computer become identical with the "GPS" time.
Using the "Next Full" and "Start Time" options, how and when the test run are selected. Using the "Next Full", after selecting this option, you have to specify the time between the sequential tests for the "Shot test" from the drop down list. For example, if you have several test points in the differential test, by selecting the "10 Second", the GPS, by considering the injection time of the device, starts to count down in 10 s cycles and in case of existence of untested point, when the inverse counter reaches zero, the next point is tested. Using this option, the start time for the "End to End" tests might not be the same. To solve this problem, you have to start the test using the "Start Time". Remember this time is the time that the device adjusts with the "GPS". Remember in this method, only the first point is tested and the rest won’t. For these kinds of tests, the "Next Full" and "Start Time" should be simultaneously checked so the first point start with the "GPS" clock and the next points would run with the "Next Full" method.
For example, if in the differential room and for "End to End" test you have got four test points and want to run the test at the same time with another point, you have to set the "Start Time" on a special time, for example, 17:47:30 and also, set the "Next Full" on 10 seconds. The first point is tested in the specified time and the next points are tested during the specified time period in the "Next Full". You also see that in the status bar, the test time of each point and the remaining time until the next intended test point will be displayed in the "Start" and "Left Time" sections, respectively.
In the "Data" section, the data about the "GPS" time, test location, etc. are shown. In the "Data and Time GPS" field, the time and data received from "GPS" are displayed. In addition, after that the "Sync" ends, the tester time is recorded in the "Date and Time Tester" field. Remember this time should be identical with the time recorded in the "Date and Time GPS". Also, the geographical width and length of the test location are displayed in "Latitude" and "Longitude" fields, respectively and added to the test report to be used, the exact location of the test could be found on the map. In addition, in this section, in the "Altitude" section, the "GPS" amplitude with respect to the base level are displayed. In the "Fix Mode", "PDOP" and "HDOP" fields, various models of the location, location precision and altitude precision are displayed. In the satellite field, the number of satellites used for settings are displayed. If the device receives the sent pulses from the “GPS”, in the "Time Pulse" field the word "Detected" is displayed. But if these signals are not received, the word "Not Detected" is displayed. In addition, in the "Satellite Signal Level" window, the signals receiving level from the "GPS" are displayed and in the "Satellite Signal Level History", the number of satellites and the signal strength related to various satellites are displayed.
Since this tab is active only in the "AMT Sequencer" room and inactive in other rooms, at first, the "AMT Sequencer" room opens and the descriptions related to this section are presented in the "Start Condition-Repetition" window. This tab is active only in the "AMT Sequencer" room and is inactive in other rooms. This tab is used for repeating a test for the desired number of times. The number of test repetitions are inserted in the "Number of Repetition" field that the test can run for a maximum of 1000 times. For example, here, the number five is inserted so the test would be repeated five times. Also, if the user wants to make a delay between each test repetition, he can enter this time as a delay in the "Time between Repetitions". For example, here, the 1 second is inserted and the test "RUN". You see that the intended test runs five times and with the time intervals of 1 second.

After performing the test, the results of the test need to be saved in form of an output file through “Report View” window. To open “Report View” window, you need to click on “Report View” option from “View” menu or click on the icon of this window from the toolbar. On this window, the report is viewable in two forms of “HTML” and “PDF” and as default the report is displayed as “HTML”.



To view the report as a “PDF” file, you should click on “PDF” radio button. To export the output from this window you need to click on “Export Report” option or save the report as a “PDF” file on your computer by clicking on “Export Report” from “File” menu.
Using the “Export Report” option you can extract the report from the software as a “HTML” or “Doc” file and save it in your desired directory. By clicking on “Report Setting” option, a window with the same name opens. From “AMProStateSequencer” tree diagram, you can specify what to be included in the “Report”. You can select from “Short”, “Long” and “Custom” options for the mode of the report in the field at the top of the window.


In “Short” mode, the software provides the user with a short output file containing the test parameters. For example, you can see that in “Abstract” subcategory, only the results of the test and “Test Module” information which is the test device information are included in the “Report”. But in “Long” mode, the user is provided with a “Long” report of the test. You can see that by selecting this mode in the “Abstract” subcategory, in addition to “Test State” and “Test Module”, “Comment” and “Tested By” options are checked which refer to the comment written in the “States” of the software and the name of the performer of the test respectively. Also, if the user manually selects any of the parameters to be included in the report, they enter the “Custom” mode.
In summary, in the “Abstract” subcategory, a summary of the information regarding the “State” specified for the test including the result of the test, day, date and location of the performed test, test device information, comments and the name of the performer of the test which can be selected to be added to the “Report”. Also, in “Test Object – General Data” subcategory, information regarding the “Device” section and the parameters specified in “CB Configuration” from the “Test Object” window are available to be selected.
For example, you can see that by checking “Other RIO Function” option, the values specified in “CB Configuration” section are added to “Report” window. Also, in “Test Object” subcategory the information related to the system including parameters of the system, time tolerances and grounding factor from distance block as well as protective zones of distance block settings etc. are available to be selected. For example, by checking “System Setting”, you can see that system parameters, tolerances and grounding factor specified in “Test Object” window, are added to the report.
In “Hardware Configuration” subcategory, name of the device, hardware status of the device, binary and voltage output status, “Input” binaries status, “Output” binaries status and “AUX DC” voltage status are selected to be added to the “Report”. For example, by checking “Analog Outputs” option, you can see that the wiring and activeness or inactiveness status of every voltage and current output is added to the “Report”. By checking “Link XRIO References” option, if the value of a parameter in a “State” is linked to a specific parameter in “XRIO”, it is mentioned in the “Report”. “I L1” current is linked to “CT” secondary current in “Device” section and then “Link XRIO References” option is checked. You can see that its information is added to the “Report”.


By opening “Test Setting”, you can see that its three subcategories including “State Group”, “Type Details” and “Start Test Condition” which are the settings related to “States”, their types and test start conditions are located in this section. “State Group” subcategory includes items related to “Detail View” window. If type of any of the “States” is something other than “Normal”, in “Type Detail” section it is possible to add their details to the “Report”. To do this, by opening any subcategory of this section, for example “Ramp Detail”, you can select any section of “State Type” settings to be displayed in the “Report”. In “Start Test Condition” section, it is possible to select the specified start condition of the test to be displayed in the “Report”.

In “Test Result” section, you can select the results of your test which may include assessments, time of the test, signal waveform status in “Signal View”, vector view of device voltages and currents in “Vector View” etc. to be displayed in the “Report”. Note that in “All State” subcategory you can specify the items you wish to be displayed in the “Report” for all of the “States”. Before selecting the options available in “Current State”, first you need to determine the intended “State” and then by going to this subcategory, select the items of this “State” that you wish them to be displayed in the “Report”.

If extra items such as “Operation” are specified for the test, you can select them to be displayed in the “Report” from “Extra Test Result” section. In “Show Calculated” subcategory, you can select the items related to the “Operations” specified in “Signal View” settings to be displayed in the report. If you have specified a lissajous diagram for the test, by selecting “Knee point” and “lissajous” and its subcategories, you can add them to the report.


On “Report Setting” window, it is possible to change the view type of “Report View” window by using “HTML” and “PDF” options. Also, by using the “Scroller” of this section, it is possible to navigate through different pages of the report and view the applied changes. Note that “Scroller” is only available in “HTML” mode.

By clicking on “Advanced” button, the advanced settings page opens on the right side of this page. By using “Export Settings”, you can save an output “sqrs” file containing the settings and if necessary, it is possible to “Load” the setting in the software by using “Import Settings” button and have an output report with the saved settings. This feature is useful when you intend to perform a “Clear Cache” on the software because by doing so, the current settings are removed and “Reset” to default settings of the software. So, before clearing the “Cache”, you can export your settings and after clearing the cache import it to the software.


By using “Save to Template” button, it is possible to save the current settings as a “Template” in the software and when necessary “Load” it by using the “Load from Template” button. Also, if any changes have been made to the report, to reset the settings to default settings of the software, you should click on “Reset to Default” button.
In “General Setting” section, the general settings including numbering headers, showing the characteristics curve guidelines, framing of the texts in the report, showing tolerances, as well as showing the binaries which have been set on condition “X” are adjusted. For example, you can see that by checking “Show border”, a dotted line border is added around the texts of the report in “Test State” and “Test Module” sections.

In “Font Setting” section, the font sizes of “Header” and “Body” are adjusted in pixels. “Header” and “Body” are, by default, set on 12 and 11 pixels here. In “Image Setting” section, it is possible to add size of the characteristics curve of the test, size of “Signal View” picture diagrams and size of “Vector View” diagrams in “Characteristics” field, “Signal” field and “Vector View” field respectively.


For example, here the picture size of “Signal View” is set on the half of its default size which is 300 pixels. Now, you can see that the size of the picture is changed to half of its previous size on this window. Moreover, if you intend to change the format of the pictures added to the report, you can select your intended format from the list available in “Image Type” section.
In “Margin Setting” section, it is possible to set all four margins of the text. In “Document Setting” section, by checking “Insert page number”, you can insert page numbers on report pages. Also, by checking “Insert page break before main heading”, every “HEADING” of the report is added to the beginning of every new page.


By selecting “Fit width to max length data” in “Page Size” section, size of the tables in the report is adjusted according to the page size while by selecting “Fix width”, the page size remains fixed. If size of the table is larger than the page, some parts of the table goes beyond the page boundary.
In “Header/Footer setting”, by checking “Header”, “Header text” field appears which enables you to enter your desired text. Also in “Header height” section, you can specify your desired height for the “Header”.

By clicking on “Logo” and opening “Import logo for report” window, you can insert a picture or the logo of the company in the “Header” of the report.
By checking “Footer”, “Footer text” field appears which enables you to enter your desired text. Also in “Footer height” section, you can specify your desired height for the “Footer”.
By checking “Show persons sign” and selecting “Setting”, “Persons sign” window opens where you can add up to four signs to your report. By clicking on “Add persons sign” and clicking on “Signature” and selecting “Signature” you can add a “Signature” to your report. In “Title” and “Value” sections, title and name of the person are entered respectively.

In “Title” of the “Setting” section, you can enter a general title for all four signatures and add a box for every signature by checking “Show border in report”. Also, in “Repeat mode” section, by selecting “Show in all pages” the entered signatures are displayed in all pages. But, by selecting “Show in last page”, these signatures are displayed only in the last page.
In “Extra setting” section and in “Tested by”, “Approved by”, “Company”, and “Comment” fields, you can enter the name of the performer of the test, the supervisor, and the company as well as comments respectively. Note that to show these items in the output report, other than checking their options in this section, you need to check their options in the tree diagram under abstract branch as well.

By selecting “Browse custom”, you can display specific information of the “Xrio” file in the report by checking their corresponding option. For example, to display “Name plate” and “Location”, you should check these options from the “Test object” tree diagram of the “Device” section in “Browse custom” and “Xrio block report setting” page so that the intended information is specifically displayed in the report.

In the Sequencer room, first in the Hardware configuration window, set the Type Setting based on the 205AMT device and Set the Output Voltage and Signal Output Voltage settings according to what you see . Then open the View Vector window to see the values of the current and the output and input voltages of the device in different modes, we add.
To clarify this concept better, first connect a 100 ohm resistor to the VA 1 voltage output and in the View Table window, Column VL1 is set to 1V and time to 0.1s and after running the test in the View Signal and View Vector windows, you can see the injective and transitive values.
Now you can convert Output Voltage to Output Current. For this, enter the Hardware Configuration tab and changed the Type from Voltage to Current and returning to the View Table window, you can see that the VL1 unit is changed to A.
By injecting 100 mA, you can see that the read voltage is 10V, and this action determines that from the output Current Low, High Voltage we can use two current and voltage control modes.
To determine more precisely the advantage of this option, first change the resistance to 1 kilo ohm. By then converting Type to Voltage and injecting 1V, you see that the current is read as 1 mA. By changing the Type again to Current and injecting 100 microamps, observe the real current injected and the read voltage, we will come to the conclusion that to have low current with high accuracy Convert Current Low, Voltage High into a current. Also, in order to have low voltage with high accuracy, it is necessary to convert Current High, Voltage Low into a voltage.
It should be noted that in Current Low, Voltage High mode, the voltage peak is 420 V and the current peak is 1 A, and in High Voltage, Low mode Current, the voltage peak is 22 V and the current peak is 94 A.
The function of the PMUR device is to record phasor, frequency and rate of frequency changes (ROCOF). The measurement error of each of these values is defined by TVE، FE and RFE respectively as follows:
In the above, X and
The test device is required to record the theoretical value of the injected signal for all time tags along with its signal-to-noise ratio (SNR). The PMU sends the measured data to the test machine using C37.118 protocol. The test device compares the theoretical and measured values of phase، frequency and ROCOF for specific time tags determined by the rate of data transmission، and computes TVE، FE and RFE values.
A phase measurement unit (PMU) is a device used to estimate the amount and phase angle of an electric phase value (such as voltage or current) in an electrical grid using a common time source for synchronization. Time synchronization is usually provided by GPS or IEEE 1588 Precision Time protocol, which allows simultaneous measurement of multiple remote points on the network. They are capable of taking samples from the waveform sequentially and reconstructing the phase quantity, which consists of an angle measurement and a large measurement. These synchronous measurements are important because if the supply and demand of the network are not fully matched, frequency imbalances can cause stress on the grid, which is a potential cause of power outages.
PMUs can also be used to measure frequencies on the power grid. A typical commercial one can report measurements with very high temporal resolution, up to 120 measurements per second. This helps engineers analyze the dynamic events in the network that are not feasible with traditional SCADA measurements that create a measurement every 2 or 4 seconds. Consequently, PMUs equip installations with advanced monitoring and control capabilities and are considered to be one of the most important measurement devices in the future of power systems. The PMU can be a dedicated device, or the PMU function can be incorporated into a protective relay or other device.
To perform PMU test on the start screen of the software, click on the Phasor measurement unit (PMU) room, and in the opened page, 4 tests are designed in 4 tabs called Steady State, Modulation, Frequency ramp, Step.
In the Steady State tab, you can see different modes. For example، in Fault Type Vl1، Mode adds two points with harmonic characteristics of 2، 40% and 70% and 0.2 seconds and after testing and comparing the nominal and measured values، the test will pass or fail.
The Modulation tab consists of two tests of amplitude modulation and phase. According to the standard, either amplitude modulation or phase modulation is applied. The signal model in modulation is considered as follows:
Xa = Xm [1+kx cos(2πfmt)] × cos [2πf0t+ka cos (2πfmt-π)]
For this test, the first points of interest are added, for example, a point with the specifications of F0=500Hz, amplitude 100%, Kx=0.1, Fa=100Hz, Ka=0.9 and SNR=40db, and after performing the test and getting feedback from PMU and comparing the nominal and measured values, the test will pass or fail.
The other two tests will be passed or fail after adding the points and running the test and getting feedback from the PMU and comparing the measured and rated values.
In this video, we’ll walk through how to transmit Sampled Value packets using the Vebko test device. First, we connect to the device using the MAC Address and set the data acquisition rate to Fast. Then, under the Time Synchronizer tab, we set the time synchronization protocol to PTP. Next, we go to the Sequencer room and open the Hardware Configuration window.
In the SV Setting tab, you can either load an SCL file related to the Sampled Value, or manually define a new stream. In this tutorial, we’ll go with the second method.
We click the Add Stream button to add a new stream, and then use the plus icon (+) in the first column to define the desired number of Attributes
In this test, we’ve added four Attributes—one configured as a voltage data and the other three as current data.
We link two of these data points to the output of the test device, and assign fixed values to the other two.
We then set the Sample Rate to 4 kHz and specify that each packet should contain only one ASDU.
The linked data is displayed under the Analog Output tab. In the Voltage Output Signal and Current Output Signal tables, you can assign each data point to the voltage or current outputs of the device—or define a Virtual output. After applying and confirming the settings, you’ll see that two outputs—one voltage and one current—appear in the Table View module.
The voltage data is linked to the Phase 1 voltage output of the device, while the current data is defined as a virtual output. To monitor the packets sent by the device, you can use Wireshark software
. Once the test starts, packets following the IEC 61850 Sampled Value protocol will be generated and visible in WiresharkAs you can see, based on the configuration, each ASDU contains four Data Attributes—two of them are set to fixed values, while the other two are dynamically changing.
This room is used for testing overcurrent functions. It includes three main windows: “Test View”, “Over Current Characteristic”, and “Medium Detail View”. These are used to enter test points and display them on the characteristic curve.


The first step in relay testing is to input the relay information and settings into the software. To do this, select “Test Object” from the top toolbar. Then, under the “Device” section in the tree diagram, enter the “I primary” and “I secondary” values, which represent the “CT” ratio. Please note that any mismatch between these settings and the relay’s actual configuration will lead to incorrect test results.

Next, go to the “Over Current” block in the tree diagram to enter the relay settings. Double-clicking this block opens the “Overcurrent Protection Parameters” window, which includes two tabs: “Relay Parameters” and “Elements”. In the “Relay Parameters” tab, under the “Relay Behavior” section, start by specifying whether the relay is “Directional” or “Non-Directional”. Then, in the “Tolerance” section, enter the tolerance values for “Current”, “Time”, and—if you're working with a directional test—”Angle” as well.


In the “Elements” section, you need to define the relay’s characteristic curve and its specifications. To do this, first select the desired type of overcurrent protection under “Selected Elements” Type. Then, enter the characteristic curve data into the table on this page and generate the relay’s “Curve”.



By clicking “Add”, you can insert a new row into the table and create an additional “Curve” if the protection has multiple “Stages”. The “Copy to” and “Remove” options are used to apply a defined curve to other protection elements or to delete a selected row, respectively. The “Move Up” and “Move Down” options allow you to reorder the stages by moving a “Stage” up or down in the list.

In the “Define Element Characteristic” tab, under the “Characteristic” section, you define the type of characteristic curve. If you want to set current or time limits for the curve, enable the “Active Range Limits” checkbox and enter the relevant data in this section. In the “Reset Characteristic” section, if a specific curve has been defined for the relay’s drop-off behavior, its settings can be entered here. On the right-hand side, you can view the “Curve” of each “Stage” individually on the graph. In the “View Resulting Characteristic” section, the final combined curve based on the defined “Stages” is displayed.


If the relay type has been set to “Directional” in the “Relay Behavior” page, an additional tab named “Define Element Directional Behavior” appears. This is where you configure the zone or area the relay is protecting. A polar diagram is also added, visually showing the angle the relay is monitoring for protection.

In the “Overcurrent” section of the “Test Object”, there is a subsection called “Compatibility”. By selecting different “Element Versions”, the “Pickup” current factors for each “Element” will change. When you choose “Advanced Element”, the factors for the defined characteristics are applied as shown in the diagram. This means the “Pickup” current defined for a given characteristic is multiplied by the displayed factor and applied to the corresponding Fault Type. For example, if you’ve defined an element in the “Negative Sequence” and want to test it under an L1-L2 fault condition, the characteristic will be tested by multiplying the “Pickup” current by √3. These factors are derived from the positive, negative, and zero sequence matrices. One example of how these factors are calculated is provided, and the rest follow the same method.

To make it easier to analyze the impact of the factors on the characteristics, a section called “More Details” is provided in the Test View page. By double-clicking on it, a window opens showing the characteristic information along with their corresponding factors. The main difference between “Advanced Element” and “Zero-Sensitive Elements” lies in the 3I0 characteristic factor, and depending on the relay’s algorithm, one of these two options should be selected.
In the “Other” section, there is an option called “Sensitive” as a separate fault, which is used for relays that require a dedicated current input labeled “Sensitive”. By enabling this option, a new “Sensitive” type is added to the list of “Elements” in the “Elements” section. You can then define a dedicated curve for it, and a new “Fault Type” labeled “Sensitive” will also appear in the “Test View”.



After entering the relay specifications and confirming the changes, you can select test points on the characteristic curve and run the test in both the “Test View” and the “Characteristic View”: “Overcurrent”. Additionally, if the relay is defined as “Directional”, its polar diagram will be visible in the “Medium Detail View” window. In upcoming videos, each of these sections will be explained in greater detail and with more precision.
As mentioned earlier, the first step in relay testing is entering the relay specifications into the software. To begin, we’ll first go over how to input the settings for a "Non-directional" relay. Start by opening the "General Test Object" window. From the "Device" block, enter the current transformer ratio, or "CT" ratio. Then, by double-clicking on the "Overcurrent" block, the "Overcurrent Protection Parameters" window will open, where you can enter the relay settings. In the "Relay behavior" section, you’ll define the directionality of the protection function, the configuration of the "VT"s, and how the "CT"s are connected. Since the relay we’re working with here is "Non-directional", select "Non-directional" in this window. Please note that the "VT Connection" and "CT Connection" options are only active when the relay is set to "Directional" mode. For "Non-directional" relays, these options will be disabled.


In the "Tolerances" section, you can set the current and time tolerances for all relays, and the angle tolerance specifically for "Directional" relays. To set the current tolerance, enter the desired value as a percentage of the test current in the "Relative" field. As you can see, the default setting is 5%. You can also set the tolerance based on a multiple of the nominal "CT" current using the "Absolute" field, where the actual calculated value is displayed in the field next to it. Keep in mind, the software automatically selects the larger of the two defined tolerances when evaluating the characteristic curve. For example, if the test current is set to 1 amp, a 5% tolerance results in a pickup range between 0.95 amps and 1.05 amps. But if an absolute tolerance of 40 milliamps is used, the range would be between 0.96 amps and 1.04 amps. In this case, the software uses the larger range—between 0.95 and 1.05 amps—as the effective tolerance. In the "Time" section, time tolerances can also be configured as either a percentage or a fixed value. For "Directional" relays, the angle tolerance is set in the "Angle" section.

The “Compatibility” and “Other” sections were covered in the first video of the “Overcurrent” room. To define a characteristic curve, go to the "Elements" tab. In the "Element Name" column, you enter a name for the defined "Stages"—for example, here we’re naming it "Stage1". In the "Tripping Characteristic" column, you can select the type of characteristic curve. By default, it is set to "IEC Definite Time". To change the characteristic curve, either double-click on "IEC Definite Time", or click the three-dot icon in the "Characteristic" section to open the "Manage / Select Characteristic" window. In the "Standard" section, you’ll find all the characteristic curves defined under the IEC standard. By selecting any of them, you can view its formula and coefficients in the "Characteristic" area. It’s important to make sure the curve selected here matches the characteristic curve that’s already configured in the relay.


If the relay’s characteristic curve is not listed in this section, or if its coefficients differ from the formulas shown here, you’ll need to go to the "Predefined" folder. From there, look through the "Inverse", "I2T", "IAC", or "Reclosers" folders to find the curve formula that matches the relay and select it.nIf the relay’s formula isn’t available in any of those folders, you can go to the "Custom" folder. By selecting "Custom Formula", you can enter the desired formula manually in the designated field, based on the provided coefficients, as well as the "Itest/Ipickup" and "Time Dial" values—marked as "M" and "Td". Once entered, just click "Save" and the formula will be ready to use. Additionally, if the relay’s characteristic curve is defined by a table of points, you can select "Table Example 2", then click "Copy to User Defined". After that, choose it from the "User Defined" folder and use the "Grabber" tool in the software to input the relay’s curve point by point. This way, you’ll be able to visualize the curve directly. This window and its functions will be explained in full detail in the upcoming videos.



If the relay’s characteristic curve formula already exists in the software, but the coefficients used in it differ from those specified in the relay manual, you’ll need to select the desired formula, click on "Copy to User Defined", and then adjust the coefficients accordingly in the "User Defined" folder. For example, here we select the formula for the "Basler I2T-46N" curve and copy it into the "User Defined" folder. Now, by selecting it, we can enter the required coefficients based on the relay manual. After clicking "Save", the new curve with the updated coefficients will be stored in the software and ready for use.
To continue, the "IEC Normal Inverse" curve is selected here. As you can see, in the "Elements" tab, a "Stage" of the type "IEC Normal Inverse" has been added. Now, in the "I Pick-up" column, the relay's pick-up current must be set as a multiple of the CT’s secondary rated current—here, it’s set to 1.1.You can also set the pick-up current using the "I Pick-up" field at the bottom of this tab. Once it’s configured, its actual value will be displayed in the "Absolute" column. Next, in the "Time" column, the relay’s TMS—or "Time Dial" setting—is entered. This value can also be entered from the "Time Index" field at the bottom of the tab; in this case, it’s set to 0.5. In the "Reset Ratio" column, the relay’s drop-out ratio is defined, which by default is set to 0.95. And finally, in the "Direction" column, you’ll notice that this curve has been defined as "Non-Directional".





After defining a “Stage” for the relay’s trip characteristic curve, you can set the current and time limits for the curve in the “Active Range Limits” section. To do this, first check the “Active Range Limit” box to activate the section. Then, enter the desired values in the relevant fields. For example, if you set “tmin” to 1 second and “tmax” to 30 seconds, you’ll notice that the characteristic curve is now limited within this time range. In the current range section, you might enter “Imin” as 1.2 times “Iref”, and “Imax” as 100 times “Iref”. On the right-hand side of the window, you’ll see that the relay’s characteristic curve is now defined between 1.2 and 100 times the reference current, which is “Iref”, or the secondary rated current of the CT.

Using the “Save as User-defined” option, you can save the characteristic curve created in any “Stage” to the “User Defined” folder under the “Manage / Select Characteristic” window for future use. For example, here we select the first stage and click on “Save as User-defined”. This opens the “Manage / Select Characteristic” window. Then, by clicking “OK” and returning to this window, you can see that the curve and its settings have been saved under the name “IEC Normal Inverse2” in the “User Defined” folder.

As mentioned before if the relay characteristic curve is provided as a table of points, the user needs to manually enter these points into the software. To do so, first, “Table Example 2” is selected from “Custom” folder in “Manage/Select Characteristic” window. You can see that, by default, a curve is created in this section using the points table.

To specify a new curve, by clicking on “Copy to User Define” option, this curve is copied to “User Define” folder and after selecting this curve in “User Define” folder, by clicking on “Grab” the window related to the “Grabber” opens. In this diagram the "X" axis is the current axis, and the "Y" axis is the time axis. In “Axes” section, to show the curve, the current range is specified in terms of “IPu” and the time range is specified in terms of seconds. For example, here the current range is specified between 1 “IPu” and 100 “IPu” and the current axis is displayed between 1 and 100 “IPu”. “IPu” is the CT secondary nominal current. Also, by unchecking the “Logarithmic” option, it is possible to change the diagram display from logarithmic to regular. Also, by using “Open” and “Save” options it is possible to save the created file in this section and open it again on this page and edit or use it if necessary.

Now, from the toolbar click on “New” to open a new blank page for the new curve. In “Point” section, enter the current in “Current” field and time in “Time” field and then “Add” them to the points table of the intended characteristic curve so that it is displayed in the diagram at the right side. Also, by clicking on the related diagram and selecting “Add” or by using the “Ctrl” key and clicking on the diagram, it is possible to create the characteristic curve. By using “Add” and “Insert” buttons, it is possible to add the point entered in “Point” section to the last row of the table and before the selected row respectively.



If the user has a logarithmic image of the relay characteristic curve, it is possible to “Load” it in this window by using “Load Image” option and create the relay characteristic curve for the test by adding the point on the entered curve. Now, here we enter an image of the “7UT63” relay overcurrent characteristic. Then it is necessary to equalize the “Scales” of the diagram in this page with the “Scales” of the entered diagram. To do so, first, by using Alt+left click combination key the current and time axes of the entered image are equalized with the current and time axes of the “Grabber” window. Then, the “Start” and “End” values are specified in “Current” section as 1.05Pu1 and 1.45 respectively. Also, the “Start” and “End” values are specified in “Time” section as 0.05 and 200 seconds. You can see that both diagrams are completely overlapping. Note that these numbers are different for images with different sizes and they need to be specified by the user in a way that the two diagrams overlap in terms of values and size.


Now, by holding down the “Ctrl” key and clicking on the curve with “Dial Setting=0.1”, this characteristic curve is created and approved. If you wish to save this curve in the software for future tests, you need to copy it using the “Copy” button and “Paste” it in “User Defined” folder. Now, by selecting “Save”, the intended characteristic curve is saved in this folder and is usable for next tests.

Note that if a later version of the software is installed, this saved file is removed from the “User Defined” folder. So before installing the new version of the software, it is necessary to make an output “Xml” file by using the “Export” button from “Manage Select Characteristic” page and then “Import” it to the new version. This characteristic curve is displayed in the diagram at the right side of the “Overcurrent Protection Parameters” window. Note that for the characteristic curves created using this method, the time entered in “Time” column of the characteristic table of the characteristic curve is a coefficient which is multiplied by the times entered in the characteristic points table and as a result it influences the characteristic curve time and relay operation time.

To perform the “Overcurrent Directional” test, first select “Test Object” from the top toolbar. Then, in the “Device” section of the tree diagram, enter the “I Primary” and “I Secondary” values, which represent the “CT ratio”. Make sure these values match exactly — any mismatch between them will result in incorrect test outcomes.


After double-clicking on the "Over Current" block in the "Relay Parameters" page, go to the "Relay Behavior"section and select the "Directional" option.Next, in the "VT Connection" section, set the direction of the VT, and in the "Start Point Connection CT" section, define the direction of the CT star point. Be aware that any mismatch in these settings compared to the relay configuration can cause a “180-degree phase shift” between the device settings and the relay.

After configuring the current, time, and angle tolerances in the "Relay Parameters" section, go to the "Element" area. Once you've entered the desired Stages, you need to specify the relay protection direction—either "Forward" or "Reverse"—in the "Direction" field. Next, under the "Define Element Directional Behavior" tab, input the values for Maximum Torque Angle and Sector Opening based on the "RCA-90" method or the formula "(90 – Setting Angle) - 90". The method for calculating these parameters will be explained in the videos related to protection function testing.In Directional mode, a Directional Plane is added to the page, allowing you to visualize the range within which the relay provides protection.In the "View Resulting Characteristic" tab, you can see both the overall characteristic curve and the “Directional Plane” diagram side by side. Note that if you have multiple directional “Stages”, each with a different Pick-Up current and operation time, they will be shown with different colors on the characteristic curve—based on the color assigned to each one in the table above.

To display the “Directional” characteristic curve, also known as the Directional Plane, and to add test points, select "Medium Detail View" from the top toolbar, then place your test points directly on the curve.
If the relay’s “Config” allows for exporting an “XRIO” file, another way to create the relay’s characteristic curve is by using this “XRIO” file.To do this, first select "Test Object" from the top toolbar, then click on "Import From List". In the "Search" field, specify the relay “Template” type—for example, here we’ll select "7UT613".Next, go to the "File" section and choose "Load Relay Setting". Under "Relay Config Type", select the “XRIO” format, and then load the “XRIO” file into the “Config File Path”.To ensure the imported data is correct, you can review the entered parameters using the tree diagram in this section. If needed, use the "Reference Map" to check the parameter values that affect relay operation. If any discrepancies are found compared to the relay’s actual settings, make the necessary corrections.

As mentioned previously, one of the windows in “Overcurrent” room is “Test View”. This window comprises of 5 tabs of “Shot Test”, “Pick Up-Drop Off”, “Setting”, “Trigger” and “Binary Output”. Specifying the test points is done in “Shot Test” and “Pick Up-Drop Off” tabs.

In “Shot Test” tab, you can select fault type and the points for the test and after the test is performed, you can view the results of the evaluation. In this tab, in “Test Point” section the fault current and in “Fault Type” section the fault type are determined. In “Test Point” section, the fault current and the angle between current and voltage are specified in “I Test” and “Angle” fields respectively. Note that this angle is only useful for performing “Directional” tests.
!

If you want to specify the fault current in terms of a coefficient of “CT” nominal current or “Pick Up” current of one of the specified “Stages”, you need to check “I Test Relative” option and specify the coefficient in “Factor” field and then, from “Relative to” drop list select the base current to specify the fault current. This base current can be a “Pick Up” current of one of the “Stages” or “CT” secondary nominal current. After specifying the test current, you need to select the fault type from the standard faults available in “Fault Type” section. These faults include different types of phase to earth, two phase, three phase, inconsistency, “3I0” and “L1”, “L2” and “L3” faults.

To better understand “L1”, “L2” and “L3” faults, suppose that in a line, there is a transformer with a delta connection on the first side. When a fault occurs in the secondary side, the fault phase corresponding current will flow in the first side and this fault current is provided by other phase or phases. “Negative Sequence” or inconsistency faults test is available by selecting “I2”. Since relays detect inconsistency fault by using the value of negative sequence current, by selecting this type of “Fault Type”, the entered fault current will merely be negative sequence current. “3I0” fault is useful for “Earth Fault” in “Summation” mode while “L-E” fault is useful in “Measuring” mode.


By clicking on “Add”, the selected test point is added to the table in this window. Regarding the test points, note that if you check the "I Test Relative to" option and make the test stream dependent to a parameter and "Add" that point, that test point is always dependent on the value of that parameter and by changing the value of that parameter, the amount of the test current also changes. To clear the subject, check the "I Test Relative to" option and the test current is defined twice the rated current, and this point is added to the test table. Now if you change the rated current to 5 amps you will see that the test current changes from 2 amps to 10 amps. By selecting one of the rows and clicking on “Insert” option, the selected row is repeated in the table and by clicking on “Remove” option, the selected point is removed. Also, by selecting “Add to” option, it is possible to copy point or points selected for one of the “Fault Types” to another “Fault Type”. By clicking on “Remove All” option, all test points entered in the table will be removed.
By clicking on “Sequence” option, “Sequence Test Points to” page opens where it is possible to specify test points with equal steps. In “Current Data” section, steps are created in direction of the range. By selecting “Current” in “Sequence Type” field, current steps are directly entered in terms of ampere and by selecting “Factor”, the current is entered in terms of the parameter selected in “Relate to” field.

In “Start Value”, “End Value” and “Step Size” fields start point of the current point, end point of the current point and steps are specified respectively. For example, “Factor”, “Pick Up” current of the first “Stage”, 2 times, 6 times and half of “Pick Up” current are selected as values for “Sequence Type”, “Relate to”, “Start Value”, “End Value” and “Step Size” respectively. You can see that “Step Count” which is the number of current steps or test points equals 9.

Moreover, in “Angle data” section, the information related to start angle, end angle and step size are entered in “Angle data”, “Start Value”, “End Value” and “Step Size” respectively. Here 30, 45 and 5 are entered as these values. In “Step Count” field, the number of current steps are specified which is 4 points. In “Total Shot Count” field, the sum total of points is calculated. This value shows that each point in all 4 specified angle “Steps” enters test table with a specified current range. After selecting the “Fault Type” of “L1-E” and “L2-E” and confirming them, you can see that these points are added to the test point table.


If the performed test has “Failed” points, by selecting “Clear All Failed Tests” option, it is possible to clear all these points from the table of this section. In “Detail” section, the information related to “Trip” nominal time, the allowed operation time range, actual time and test point evaluation are entered in “t nom”, “t min” and “t max” fields, “t act” and “Stage” field respectively. The test points are entered with detail in the table at the bottom of the page. The details include test evaluation, test current, test point angle, whether the test is “Relative” or not; if it is “Relative”, the base coefficient and parameter, nominal time, operation time, fault measure in terms of percentage and seconds and the minimum and maximum operation times are entered. Also, if you wish to add a comment about any of the test points, you can use the “User Comment” cell. At the end of this page, it is possible to select test points table from different “Fault Types”.

“Pick Up-Drop Off” test of the relay is performed In this tab. In “Test Point” section, the settings related to test points is adjusted. If you wish to perform a “Pick Up-Drop Off” test in a “Non-directional” relay, you need to select “Current” from “Target type” section and for Angular “Pickup-Drop-off” test select “Angle”. At first, “Current” is selected for “Non-directional” test.

In “Pickup” field, the “Pickup” current of the relay is specified. This means that ideally, the relay must “Pickup” at this current and here we enter 1amp for this field. In “Reset Ratio” field, the ratio of “Drop” current to “Pickup” current is specified which here is set at 0.95. Note that by specifying a value for “Reset Ratio”, the software calculates the “Drop” current value and displays it in “Drop Off” field. In “Angle” field, the angle of “Pickup” current is specified which is not useful for “Non-directional” relays and depending on the test type, the user can set it at their desired value. Now, since in “Pick Up-Drop Off” tests the software uses increasing or decreasing ramps, the time interval between increasing and decreasing ramps must be entered in “Pickup ∆t” and “Drop Off ∆t” respectively. By default, these values are set at 100 millisecond. In “∆I” field, the values of each “Step” in each time ramp is specified. Here, this value is set at 20 milliamps. Then, in “Pickup Start” field, the ramp initial current value in test is specified. Here, this value is set at 800 milliamps. This means that the ramp begins at 800 milliamps and increases. Moreover, it is necessary to specify the final values of the ramp current as well. These values are entered in “Pickup End” and “Drop Off End” fields for “Pickup” and “Drop Off” respectively. For example, here, the final current values for “Pickup” and “Drop Off” are set at 1.2 amp and 800 milliamps respectively.

Now, according to the values set in “Test Point” section, the software applies an increasing ramp from 800 milliamps to 1.2 amp of current with 20 milliamps ramps and 100 milliseconds time interval and then receives the “Pickup” signal. Then, it applies a decreasing ramp with 20 milliamps ramp and 100 milliseconds time interval until the relay “Drops”. In “Fault Type” section, as mentioned before, it is possible to determine the fault type. Now, by using “Add” button, this test line is added to the characteristic curve of the relay on “Overcurrent Characteristic” window. Also, the related row is added to the table at the bottom of the “Pick Up-Drop Off” page. In “Detail” section, after the test is finished, the real “Pickup” current value of the relay and the relay “Drop Off” current value of the relay are displayed in “Pickup act” and “Drop Off act” fields respectively.


For each “Fault Type”, this test is performed only in one point.
Immediately after receiving “Pickup” contact, the ramp starts decreasing from “Pickup-End” point. If you wish the ramp to start decreasing from the same point as the relay “Pickup” point, you need to check “Last state Amplitude” option.

For “Directional” tests, here the settings for a “Directional” relay is in a way that the “Direction” is “Forward” and “Maximum torque angle” and “Sector opening” are set at -60 and 180 degrees respectively. Then, open “Medium Detail View”. In this window, the operation range of the relay is displayed in green and purple. You can see that this range is set between (-90+60) 30 degrees and (-60-90) -150 degrees. In “PickUp-DropOff Data” section, the test lines selected from the created test lines are displayed in the table at the left side. In the left sidebar of this window, there are some tools used for diagrams which have been explained previously.


Now, “Angle” is selected from “Target type” and “States” of the “Ramp” created by the software are put on the angle. In this mode, the value of the current and the fault current angle are entered in “Current” and “Angle” fields respectively. Also, the amount of angular changes in each ramp, the amount of start angle value for ramp “State” and the final value of this angle are entered in "∆∅", “Pickup Start” and “Pickup End” fields respectively. In “Drop Off End” field, the final angle value for decreasing ramp “State” is specified.

For example, here you should make two search lines in border points. The first search line is set with a 1 amp “Pickup” current and a 30 degree angle. You can see that the fields related to this test line are adjusted at the right side by the software. Note that these values can be specified by the user. Also, in graphic diagram of “Medium Detail View” window, the angular range of the intended test is turned pink. Now, we add this test line to “Pick Up-Drop off” test table. Now, to create the next test line, -150 is entered as the angle value in “Angle” field and this lined is also added to the test lines. You can see that by selecting any of the created test lines, its information is displayed in “PickUp-DropOff Data” window. Note that in performing this test, in “Pickup” current, you should perform the test once at the highest limit of the angle and once at the lowest limit of the angle.

To continue explaining “Overcurrent” room, in this video we are going to explain characteristic curve or “Overcurrent Characteristic”. In “Overcurrent Characteristic”, the inverse current curve is displayed in terms of time. This window is designed in a way that it is connected to other windows in this room and it is possible to add points to the table and perform the test more quickly by using some combination keys.

To add test points to “Test View” table, you can click on the characteristic curve and select “Add” button to add points to the table for test. Also, by holding “Ctrl” key and clicking on the curve, you can add your intended points to the test table more quickly. The third method for adding points to the test table is to enter “I test” current in “Test Point” section and click on “Add” button. This method has been explained in previous videos.

After adding test points to the table, by clicking on “Start/Continue Test” from the toolbar, all test points are tested one after the other. But, if you wish to test each point individually, you can either click on “Start Single Test” or right-click on your intended row or then click on “Apply & Start Test” to run the test. Also, if you wish to test a test point without adding it to the test table, click on the intended test point on the characteristic curve and then click on “Start Single Test”.

In “Overcurrent Characteristic” window, it is possible to apply more settings for better analysis by clicking on the cog at the bottom of the page. Each case is explained in the following.

“Zoom during Test” to zoom on the characteristic curve
“Optimize All” for optimal display of the characteristic curve
“Pan Mode” For moving the characteristic curve
“Horizontal Axis” to display horizontal axis of the characteristic curve in relative form
“Show Row Number” for showing number of the row whose information is entered
“Show All Tact Point” for displaying the operation time of the entire test points on the characteristic curve
If the selected test points are close to each other, you can use “Show Selected Tact Point” for better display of the operation time of each row.
Note that if “Show All Tact Point” and “Show Selected Tact Point” are selected simultaneously, the operation time of the entire test points on the characteristic curve is displayed.
If you wish to add the test point exactly on current lines, you can use “Snap to Grid” option.
Note that it is, also, possible to activate “Pan Mode” by holding “Alt + Mouse Click”.
If “Show Cursor Value” is checked, by hovering the cursor over any point, the current value and nominal time of that point is displayed.
Also, if you wish to have the information regarding every curve, you can check “Show Curve Information” option.

Moreover, there are some features available in the right-click menu of this page which are going to be explained.
“Shot” option shows the coordinates of the shot point. “Add shot” option shows the point added to the table and “Shot at” option shows the coordinates of the point “Shot” on the curve. If “Snap to Grid” is not checked, these two coordinates will be the same.

Explanations of “Zoom Mode”, “All”, “In”, “Out” options are available in “Sequencer” section videos. “Characteristic” and “Test Points” options show Characteristic curve and range of shot points on the curve zoomed, respectively.
In “Show” section, “Curve”, “Test” and “Grid” options are used to display or hide tolerance, “Shot” points and characteristic curve lines respectively. In “Color” section, it is possible to change the background color, “Grid” color of the lines by using the “Background” option. By using “Default Color” it is possible to change the colors to default settings. “Other” Options are the same as those available by clicking on the cog icon at the bottom of the page which were explained in the beginning of this video.



To continue with explaining “Overcurrent” room, in this video we are going to explain “Setting” tab. In this tab, you can adjust some of the test settings. In “Fault Inception” section, the angle in which the fault occurs is specified. But this angle is not the angle between current and voltage but it equally shifts the current and voltage values. To better understand this, select “Signal View” from the toolbar and check “Voltage Group A” in “Setting”. Then, by changing the “Angle” value, you can see the current and voltage signals. Note that to determine the angle between current and voltage, you need to use the “Angle” field in “Shot test” tab.

“Voltage Output” is used in “Directional” tests but if, for any reason, you wish to activate your voltages in a “Non-Directional” test and see the influence of changing voltages on “Overcurrent” test, you can use this section.
In “Trigger On” field in “Pick up Drop off Contact” section you can determine the “Contact” to be used for doing “Pick up Drop Off” test. This option is used in cases where the relay does not have “Pick up” contact. In these relays, by reducing the trip time to zero, it is possible to find the approximate pickup current.

But if you do not wish to change the relay settings, if the relay has “LED” or “Flag” pickup, you can manually issue a “Pick Up” or “Drop Off” command by checking “Space Key Press”. You can perform the test by pressing the “Space” button once at the time of “Pick up” and once at the time of “Drop Off”.
If you wish to create a transient state for the current waveform in “Add Signal” and test the transient state “Overcurrent”, you can do so by checking “Dc decay” (decaying Dc) and specifying the “Amplitude” value in terms of percent and time coefficient in “1/T” and then you can view the changes resulted in the waveform in “Signal View”. Now, if you wish to add “Harmonic” to the transient state, you can do so by checking “Harmonic” and specifying the order of the “Harmonic” in “Number” field and specifying the “Amplitude” in terms of percent and phase angle. Note that by unchecking the options in this section, the signal returns to “Normal” state.


In “Time” section, first, the injection time before fault in “PreFault Time” is entered. In tests such as “Directional” where by injecting voltage, “PTs” draw inrush current, by checking “Ramp in Prefault” you can create a “Ramp” voltage and prevent device errors. Note that checking this option is only possible for “Directional” tests or in conditions determined in “Voltage Output” section.

In “Max Fault Time”, the maximum fault injection time is specified in the form of “Abs” or “Rel” which itself includes three sections. Note that if the time specified in “Max Fault Time” is shorter than time of the “Trip” time of the shot point, result of the evaluation will be wrong.

If you are using “Max Fault Time (Abs)” field, you need to enter a time in terms of seconds for the maximum fault signal injection time (for all points). But, to increase the speed of the test, you can use “Max Fault Time (Rel)”. By checking this option, three other options appear. By entering a number in “Add%ofTnom”, the fault signal injection time in each point equals the test point nominal time plus a percentage of the nominal time entered in this field. This means that if the test point nominal time is 10 seconds and 5 percent is entered in this field, the maximum fault injection time (1.05) equals the test nominal time which is 10.5 seconds. But in “Add Absolute” field, the fault injection time is entered as a sum of the test point trip nominal time plus the time entered in this field. For points which are in “No Trip” area, it is possible to enter a separate time in “No-Trip Time” field. If you enter the time in these four fields, the software will consider the longest time.

“Post Fault” time is entered in “Post Fault Time”. “Delay After Trigger” is used for specifying the trigger time of the intended key and by right-clicking on the related field and selecting “Go To Linked Value”, you can see that it is linked to “CB Trip Time” and if necessary, by selecting “Remove Link” you can enter your desired value instead.

By selecting “Fault Inception” in “Time Reference”, the “Trip” time from the fault injection time is calculated. But, by selecting “Starting”, the “Trip” time is calculated from when the “Pick-up” contact is received from the relay.

In “Load Current (Prefault Current)” section, it is possible to adjust the settings related to “Prefault” phase and current. By selecting “Based on Current” radio button in “Amplitude” section, the “Prefault” current is entered in ampere which is the same for all other test points. But, by selecting “Based on IFault”, the “Prefault” current is entered in fault current which is different for every “Shot” point. You can use “Phase” section for the angle between current and voltage in “Prefault”. By selecting the “Based on Degree” radio button, it is possible to specify the voltage current angle in degrees which is the same for all other test points. But, by selecting “Same as Fault Angle”, the angle between current and voltage in “Prefault” will be the same with “Fault” which is different for every “Shot” point.

In “Other Setting” section, by checking first run "PickUp-DropOff", if you have multiple "PickUp-DropOff" and “Shot Test” points, first, the "PickUp-DropOff" test is performed otherwise “Shot Test” is performed first. By checking “Continue Last State Amplitude”, in "PickUp-DropOff" test, instead of starting from “Pickup End” the decreasing ramp will start from where the relay performed the pick-up”.

To continue explaining “Overcurrent” room, here are some additional explanations. By checking “Pause before Start” in “Pick Up-Drop Off” tab, by running the test using the “Start/Continue Test” method, before testing any point, a message appears and by pressing “Ok”, the software tests that point.

By selecting “Fault Inception” In “Time Reference”, the “Trip” time is calculated since the fault injection time. This option is used for testing the relays which do not have the “Pick Up” contact. But by selecting “Starting”, the “Trip” time is calculated since when the “Pick Up” contact is received from the relay. This option helps to increase the measurement accuracy of the operation time in relays with “Pick Up” contact.

In fact, when you select “Fault Inception”, it is like that you are putting the “trigger” on “Trip” signal. But if you select “Starting”, first you need to make sure that the relay gives a “Pick Up” signal. Selecting this option is like putting the “Trigger” on “Trip”, “Pick Up” and “Trigger Logic” in “And” mode.

In “Binary Output” tab, if it is necessary for the relay to see the key condition, by using the “A” or “B” group voltages or “Aux DC” it is possible to take any needed voltage to the “Binary Input” of the relay through “Binary Output” of the device. This tab has three “PreFault”, Fault” and “Post Fault” modes and you can specify the settings of each one separately.

Directional Earth Fault protection” with ANSI code (67N) is widely used for detecting phase-to-ground faults and serves as a backup protection in transmission lines, as well as in power plants and other facilities where directional earth fault detection is required. Therefore, understanding the operation of this protection function is essential.
In this protection, the Self-Polarization method is used for fault detection, meaning the fault voltage and current are utilized to determine the fault direction. As shown in the figure, this voltage and current include VResidual = 3V0 and IResidual = 3I0.

The reason for using -3I0 relates to the relay's rear wiring configuration. In Siemens relays, the wiring setup is recommended as shown in the figure. As you can see from the wiring, the zero-sequence current enters the relay’s neutral CT in the reverse direction.

To determine the MTA (Maximum Torque Angle), the angle of 3V0 is rotated by φrotation in the clockwise direction. After determining the MTA, a zone is considered forward (as shown in the figure) that spans 90 degrees on either side of the MTA. As a result, the MTA angle is equal to: AngleMTA = (-180 - φrotation).

Since the fault current Isc is injected from the tester during relay testing, the MTA and the Sector Opening range must be defined in the tester software based on the injected current. In this case, the calculations of 3V0 and -3I0 are implemented within the relay and according to its algorithm. Therefore, if the MTA angle in the tester software is increased by 180 degrees, the calculations in the tester (due to the injection of Isc current) will be as shown in the figure: **MTA = (-180 - φrotation) + 180 -----> MTA = - φrotation**

In DOC protection, the fault direction is detected using the angle between current and voltage. For example, if a fault occurs in phase A, the voltage level might drop so low that the voltage and its angle are no longer reliable for the relay. In such cases, the voltage from the healthy phases is used to determine the fault direction. So, if there is a fault in phase A, the voltage from phase BC is used to determine the fault angle (assuming that the voltage angle in the non-fault phases remains constant).

Since a reference angle is needed to detect the fault direction, VBC(ref) must be rotated by an angle ϕ to match the current angle. This ϕ is typically chosen from three values: 30°, 45°, or 60°. At this angle, it can be said that the fault has occurred directly in front of the relay. This angle is referred to as the MTA (Maximum Torque Angle).

The range from MTA + 90° to MTA – 90° is considered the forward direction. However, due to a measurement error of 4 degrees on both sides, a margin is considered. Therefore, the ‘sector opening’ for this condition is set from MTA + 86° to MTA – 86, which equals 172°.

Note on Two-Phase Fault Testing
In two-phase fault testing, to prevent the generation of residual voltage, the angle of the voltages in each phase must be adjusted so that the residual voltage equals zero. Therefore, if the user inputs the phase-to-phase fault voltage (for a BC fault), the relationships shown will apply:


f the phase-to-phase fault voltage is set to 55V and the nominal voltage is 63.51V, α will be 40.9°


In this phase-to-phase fault, to detect the fault, we use an OR condition for faults in phases B and C, where MTA and sector opening need to be calculated separately for each phase, and the union of the two should be considered.
For Phase B:


For Phase C:


As shown in the diagram, the sector opening exceeds 180° by half of the overlap area, unlike the single-phase fault where the sector opening was 180° or less. In general, if the fault voltage is equal to the nominal value, the sector opening increases by 30° on both sides, and this value decreases linearly with the voltage drop

“VI Starting” room is designed to test “51V” function. In this function, the pickup of overcurrent unit depends on the voltage drop. In fact, “VI Starting” is a current function whose “Pickup” is linked to voltage. Note that in “51V” function test, evaluation of detecting or not detecting fault is performed based on the test voltage and current amount which can be “Voltage-Controlled” or “Voltage-Restrained” and is used as generator-differential protection backup as well as for coordinating high-current relays in power systems. To explain the difference between these two functions, characteristic curve and examples are used.
If the “51V” function is “Voltage-Controlled”, its characteristic curve will look like what you can see in this picture. For a relay with this characteristic curve, the relay performs the pickup in currents higher than “5A” and for currents lower than “4A” the relay does not perform the pickup. But if the current is between “4A” and “5A”, the relay performs the pickup only if the voltage is lower than “50V”. In the settings of this function, “4A” and “5A” currents are specified as “I>” and “I>>” respectively.

In the second mode, if the characteristic curve is “Voltage-Restrained”, like the previous mode, the relay detects a fault if the current is higher than “5A” and in currents lower than “4A” it does not perform the pickup. The difference is that between “4A” and “5A”, the pickup voltage value has a linear increase.

In this function, it is possible to specify the settings for phase to phase and phase to earth voltage faults separately. This is also considered in the characteristic curve page of this function so that if you add a shot on the characteristic curve in single-phase “Fault Type”, the specified voltage is the voltage of the phase and if you select two-phase or three-phase “Fault Type”, the specified voltage is line-to-line voltage in which case the device produces the corresponding voltage to produce the line-to-line voltage.



“Test View” and “VI Starting Characteristic” are the two main windows of this room. In “Test View” window, the three main tests of this function are performed in “Shot Test”, “Check Test” and “Search Test” tabs which will be explained in future videos. In “VI Starting Characteristic” window, the characteristic curve of the function is displayed according to the current and voltage. To specify the settings of this function, select “Test Object” from the toolbar and double-click on “VI Starting” from the tree diagram and then enter your desired settings to be displayed in “VI Starting Characteristic” characteristic curve in “VI Starting Parameters” page.

In VI Starting Parameters page, you can enter the characteristic curve information in characteristic section. In I> and I>> fields, the lower and upper limits of the pick-up current are entered. In this protection, for currents lower than I>, the function does not give a pick-up regardless of the voltage. Also, for current higher than I>>, this function gives a pick-up regardless of the voltage. The range between these two values is where the voltage value is influential for the performance of the function. Voltage settings of this function is entered in VLN and VLL fields. As mentioned before, this function needs different settings for phase to earth and phase to phase faults.
VLN is used for specifying phase to earth faults settings; VLN (I>) and VLN (I>>) are used for specifying the voltage value of lower and upper limits respectively. VLL (I>) and VLL (I>>) have the same function for phase to phase faults. Note that for VI Starting-Controlled function, the same value must be entered for the lower and upper limits of VLN and VLL. But for Restrained mode, the lower limit must be lower than the upper limit. Also, current and voltage tolerances of this function are entered in “Tolerances” section.
As mentioned previously, one of the windows in “VI Starting” room is “Test View”. This window has 6 tabs including “Shot Test”, “Check Test”, “Search Test”, “Setting”, “Trigger” and “Binary Output”. Specifying the test points is done in “Shot Test”, “Check Test” and “Search Test” tabs.

In “Shot Test” tab, you can select fault type and the points for the test and after the test is performed, you can view the results of the evaluation. In this tab, in “Test Point” section the fault current and voltage and in “Fault Type” section the fault type are determined. Voltage, fault current and the angle between voltage and current are entered in “Voltage”, “Current” and “Phi” tabs respectively. After specifying the current and voltage of the test, it is necessary to select the fault type from the standard faults available in “Fault Type” section. These faults include different fault types of phase to earth, two-phase and three-phase.

By clicking on “Add”, the selected test point is entered in the table in this window. By selecting one of the rows and then selecting “Insert” option, the selected row is repeated in the table and by clicking on “Remove”, the selected point is removed. By selecting “Add to” option, it is possible to copy point or points selected for a “Fault Type” to another “Fault Type”. By clicking on “Remove All”, all test points entered in the table are removed.

By clicking on “Sequence” option, “Sequence Test Points to” page opens where it is possible to create test points with equal steps. In “Step” section, steps are created toward the range. By selecting “Angle” in “Step On” field, angular steps are entered directly in terms of degrees. This means that the test points are entered according to the origin point specified in “Origin” section in a way that the required angles are resulted in accordance with the horizon. For example, if 45 and 90 degrees are entered as start and end point with 5 degrees steps and 5 volts and 5 amps as origin point, by confirming this settings and “Zooming All” you can see that there are some points added on the “VI Characteristic”. For example, the last point is selected. By doing the calculations mentioned in the picture you can see that the resulted angle is 85 degrees and not 90 which is because the “Origin” point is considered as one of the points as well and the last point of this “Sequence” is removed.

But by selecting “Direction”, an angle is specified in “Angle” field and in this angle from the “Origin” point, with the length entered in “Length” field and by steps specified in “Step Size”, some points are shot on the curve. Note that the length and the steps of the points are specified according to nominal current which is the same as the “CT” secondary current entered in “Device” block on “Test Object” page. For example, if 45 degree, 5 and 0.5 times the nominal current, 0 And 0 are entered as angle, length, step and origin point, by confirming this setting and “Zooming All”, you can see that some points are created in 45 degrees in the characteristic curve with 0 Volts and 0 Amps as the point of origin.

If the performed test has “Failed” points, by selecting “Clear All Failed Tests” option, these points are cleared from the table in this section. In “Detail” section, the information related to “Tip” nominal time, the allowed operation time range, the actual time and evaluation of test point are entered in “T nom”, “T min” and “T Max”, “T act” and “State” fields respectively. In the table at the bottom of the page, the test points are entered with various details. The details include test evaluation, test voltage, test current, the angle between voltage and current of the test point. Also, if you wish to enter a comment for any of the points, you can select “User Comment” from the cell. At the end of this page it is possible to select the test point table in different “Fault Types”.
After performing the “Shot Test” in “VI Starting” room, it is time to perform “Check Test” and “Search Test”. In “Check Test” the upper and lower tolerances of the relay that are displayed as dotted lines in “VI Starting Characteristic” are tested and evaluated. To perform the “Check Test”, first it is necessary to draw some lines named “Check Line” in different sections of the diagram. To draw this line, first in “Origin” section from “Check Line” section, the start point of this line is specified. In “Voltage”, “Current”, “Phi” and “Angle” fields, origin point voltage, origin point current, the angle between voltage and current and the movement angle of the “Check Line” are specified respectively. In “Length” section, the length of the “Check Line” is entered in the intended cell.


Note that the drawn “Check Lines” must cross at least one of the tolerance lines of the point characteristic curve. Then click on “Add” option to add the “Check Line” to “Check Test” lines table. Another way to draw a “Check Line” is to hold down “Ctrl” button and left-click in “VI Starting Characteristic” window and then move the cursor in your desired direction on the characteristic curve. You can see that the information of the drawn “Check Line” is displayed in the “Check Test” lines table. After drawing the “Check Line”, the software evaluates the crossing point of the “Check Line” and the tolerance lines as a “Shot” test in accordance with the performance of the relay. Here, after performing the test, the relay performs a “PICK UP” in the lower tolerance and has no performance in the upper tolerance; so the test is “Passed”. Other parts of this section such as “Fault Type” and “Remove All”, “Sequencer” options etc. are similar to “Shot Test” section which has been explained in previous videos. The only additional option in this section is “Copy to Search”. By marking one of the test lines and selecting this option, you can copy the selected line to “Search Test” and by selecting “Add” in “Search Test”, this line is entered in the “Search Test” lines tables.


After “Check Test”, the last test performed on the “VI Starting” characteristic curve is “Search Test”. The purpose of this test is to find the characteristic curve line and drawing method of the “Search Line” is the same as the two previous methods explained for “Check Line”.
By performing the test, the software starts interpolating the characteristic curve by testing some points on the search line and determines the exact location of the characteristic curve. The number of points on the “Search Line” which are tested by the software is specified by the user in “Setting” tab in “Search Setting” section (which is in fact the resolution of the “Search Test”). There are three “Relative”, “Absolute” and “Max Point Number” options in this section which determine the ending condition of the “Search Test”. The first condition is “Relative” meaning if the difference between the test point value and previous test point is less than the value specified in this field, this point is the response of the test. The second condition is “Absolute” meaning if the difference between the test point and previous point is less than the value specified in this field, this point is the response of the test. And the third condition is “Max Point Number” meaning the test cannot be performed more than the number of points entered in this field and the last point is the response of the test.


“Ignore” field in “Search Interval” section is used when you want to ignore the characteristic curve specified for the intended search line. By entering a number in this section, some points are added on the “Search” line with the specified value as the distance between them. For example, by entering 0.4 in this field, you can see that some lines are added on the “Search Line” with a 0.4 distance. If the test is performed, the points added on the “Search Test” are tested one after the other so that the exact location of the characteristic curve is determined. This option is used when the characteristic curve that you have for the test seems wrong or you have no characteristic curve at all. If you wish to do this for all of the test lines, you can use “Ignore Nominal Characteristic” section located in the “Setting” tab. To do this, by entering the value for “Search Interval” and selecting “Apply to all”, you can apply this settings to all of the test lines and find the relay characteristic curve.

To continue with explaining “VI Starting” room, in this video we are going to explain “Setting” tab. you can adjust some of the test settings. In this tab, In “Time” section, first, the injection time before fault in “PreFault Time” is entered. In “Max Fault Time”, the maximum fault injection time is specified in the form of “Abs” or “Rel” which itself includes three sections. Note that if the time specified in “Max Fault Time” is shorter than time of the “Pick up” time of the shot point, result of the evaluation will be wrong.

If you are using “Max Fault Time (Abs)” field, you need to enter a time in terms of seconds for the maximum fault signal injection time (for all points). But, to increase the speed of the test, you can use “Max Fault Time (Rel)”. By checking this option, three other options appear. By entering a number in “Add%ofTnom”, the fault signal injection time in each point equals the test point nominal time plus a percentage of the nominal time entered in this field. This means that if the test point nominal time is 10 seconds and 5 percent is entered in this field, the maximum fault injection time (105) percent of the test nominal time which is 10.5 seconds. But in “Add Absolute” field, the fault injection time is entered as a sum of the test point trip nominal time plus the time entered in this field. For points which are in “No Trip” area, it is possible to enter a separate time in “No-Trip Time” field. If you enter the time in these four fields, the software will consider the longest time.
“Post Fault” time is entered in “Post Fault Time”. “Delay After Trigger” is used for specifying the trigger time of the intended key and by right-clicking on the related field and selecting “Go To Linked Value”, you can see that it is linked to “CB Trip Time” and if necessary, by selecting “Remove Link” you can enter your desired value instead. In “Load Current (PreFault Current)” section, it is possible to adjust the settings related to “PreFault” phase and current. By selecting “Based on Current” radio button in “Amplitude” section, the “PreFault” current is entered in ampere which is the same for all other test points. But, by selecting “Based on IFault”, the “PreFault” current is entered in fault current which is different for every “Shot” point. You can use “Phase” section for the angle between current and voltage in “PreFault”. By selecting the “Based on Degree” radio button, it is possible to specify the voltage current angle in degrees which is the same for all other test points. But, by selecting “Same as Fault Angle”, the angle between current and voltage in “PreFault” will be the same with “Fault” which is different for every “Shot” point.

In “Search Setting” section, the settings related to “Search Test” are specified. As mentioned before, “Search Test” gives a result when one of these conditions are met.
The first condition is “Relative” meaning if the difference between the test point value and previous test point is less than the percentage specified in this field, this point is the response of the test.
The second condition is “Absolute” meaning if the difference between the test point and previous point is less than the value specified in this field, this point is the response of the test.
And the third condition is “Max Point Number” meaning the test cannot be performed more than the number of points entered in this field and the last point is the response of the test.
But, if for any reasons, the nominal characteristic specified for the test is not available, you can use the “Ignore Nominal Characteristic” section. By doing so, the software ignores the current characteristic. Then, according to the steps entered in “Search Interval”, shots are added to the "Search" line. For example, in “Search Test” section, a line is drawn. Then, 0.5 is entered in “Search Interval” and “Apply to all” is selected. You can see that points with this step are shot on the “Search” line. By performing the test, you can see that it starts from the lowest point and when one of the three mentioned conditions is met, the test gives a result. If necessary, it is possible to disable this option by selecting “Disable all”.
In “Trigger” tab, you can select your intended binary to receive the “Pick up” signal, cutting the injection of current and voltage. The explanation and settings of this section are the same as those for “Trigger” in “Sequencer” room. In “Binary Output” tab, if it is necessary for the relay to see the key condition, by using the “A” or “B” group voltages or “Aux DC” it is possible to take any needed voltage to the “Binary Input” of the relay through “Binary Output” of the device. This tab has three “PreFault”, Fault” and “Post Fault” modes and you can specify the settings of each one separately.


The relays impedance characteristic test is performed in “AMT Distance” room. The most important use of this room is to test distance relays and “Under Excitation”. Distance relays and “Under Excitation” are used to protect the transmission lines and generators respectively. For example in this video two “Mho” zones are drawn which are displayed in “Impedance View” window. Distance room consists of 4 main windows including “Test View”, “Impedance View”, “Z-T Diagram” and “Medium Detail View”. “Shot Test”, “Check Test” and “Search Test” are performed in “Test-View” window. In “Impedance View” window the impedance characteristic of the relay is displayed according to the information entered in “Test Object” in terms of “X” and “R” and based on “CT” and “PT” secondary values. This is why in this window the horizontal and vertical axes are named “Secondary R” and “Secondary X”. To view the impedance characteristic based on the primary you can select “Primary Values” from the toolbar. In “Z-T Diagram” the time-impedance curve is displayed. If this window is open along with “Impedance View” and “Test View” windows, by adding a shot on the curve or selecting a point from the table, the location of that point is displayed on “ZT” curve. In “Medium Detail View” window the characteristics of the shot point and protective zones are displayed.

As mentioned before, to test the relay first it is necessary to enter its information in “Test Object” window. Information such as nominal information of the relay, serial number, operation location of the relay, “CT” and “PT” characteristics are entered in “Device” block. This section has been thoroughly explained in previous videos. But the main block in this room is “Distance” by double-clicking on which, the “Distance Protection Parameters” window opens. Two tabs of “System Settings” and “Zone Settings” where the settings is entered are available in this window.

The characteristics of the power system are entered in “System Settings” tab. In “System Parameters” section, the length of the line is entered in terms of ohm in “Line Length” field while the angle of the line is entered in “Line Angle” field. In “PT Connection” field, the installation method of the voltage transformer is selected from among “at line” and “at Busbar” states. The installation method of the (PT) Voltage transformer specifies whether the voltage exists in “PostFault” which refers to the time after the fault. If “at Line” option is selected, after switching the circuit breaker, the input voltage line of the relay equals zero and the “AMT” device will not make any voltage into the relay in “PostFault”. But by selecting “at Busbar” option, after switching the circuit breaker, the input voltage line of the relay keeps its nominal value and consequently, the “AMT” device injects the relay with nominal voltage in “PostFault”.


In “CT StarPoint” field, the direction of the connection is selected from among “Dir. Line” and “Dir.Busbar” states. If the connection is “Dr. Line”, the current flows from device to the relay. If the relay connection is “Dir. Busbar”, it is only enough that the current angle is changed as much as 180 degrees.

Then, in “Tolerance” section, time and impedance tolerances are specified. In this field, first the time tolerances are entered in terms of percentage and time in “Tol.T rel” and “Tol.T abs” respectively. Then impedance tolerances are entered in “Tol.Z rel” and “Tol.Z abs” fields in terms of percentage and ohm respectively.

In this section, the grounding factor for phase-to-ground fault is specified. In phase-to-ground faults, specifying this number in accordance with the relay algorithm is so important. If this factor is wrong, the calculations of the phase-to-ground fault will be wrong as well. So, one of the methods mentioned is this section should be selected in accordance with the algorithm used by the relay to calculate the single phase-to-ground fault. The output voltage and current fault of the device will change in accordance with the selected checkbox in the “Mode” field. Any of these options should be selected considering the type of the relay being tested. The used algorithms can be divided into three groups of “Type A”, “Type B” and “Type C” in accordance with the different types of relays and algorithms used to calculate the fault impedance. If none of the checkboxes is selected, “Type A” is selected by default. If you do not know the type of algorithm being used by the relay you are testing, it is better to use trial and error method.

There are various modes to enter the grounding factor values in this section. It is only necessary to select a mode and enter the values accordingly. By entering the grounding factor in this section, the software calculates the impedance for phase-to-ground fault. If in the relay being tested, the grounding factor is indicated by “KL”, the “KL” value should be entered in “KL Magnitude” cell and its angle should be entered in “KL Angle” cell. But if the grounding factor is indicated by “RE/RL” and “XE/XL”, you can select this mode and enter the required values in “RE/RL” and “XE/XL” fields. “RE” and “XE” stand for true and imaginary values of the ground impedance from to the relay location to the fault and “RL” and “XL” stand for the true and imaginary values of line impedance from the relay location to the fault. If in the relay being tested the ground factor values is indicated by “Z0/Z1”, you can select this mode and enter the “Z0/Z1” value and its angle in “Z0/Z1 Magnitude” and “Z0/Z1 Angle” fields respectively. “Z0” indicates the zero sequence impedance while “Z1” is indicator of the positive sequence impedance of the faulty line.



If this option is checked, “Type B” formulae are used to calculate the ground factor and its effect on the current and voltage produced by the device. In these relays, to calculate the impedance in phase-to-ground fault, “Kr” and “Kx” factors are used which are “Kr=RE/RL” and “Kx=XE/XL”.


In some relays, the characteristic is based on the primary values. But since it is necessary to enter the characteristics in the software based on secondary values so that the device can apply the voltage and current in accordance with the relay characteristic, you should enter the primary values in the software and check “Impedance in Primary Values” option. By doing so, the values are multiplied by the turns ratio of current and voltage transformers.

This option is used to separate two-phase fault from three-phase fault. Generally, because of “Grounding Factor” in relays, there is difference between the characteristic curves of “L-E” and “LL” faults. But it is possible that in some relays there is also difference between two-phase and three-phase faults in which case, this option should be used. By checking this option, it is necessary to specify the three-phase fault zones in “Fault Loop” column. More explanation on this section will be provided in future videos. “Impedance Correction 1A/1nom” option is used when the relay’s “CT” is “5 amps” but in the calculations a “1 amp” “CT” is used for it. By checking this option, you can use the new turns ratio.

In “Zone Setting” tab and in “Zones” section, the information is entered to each “Zone”. By using the “New” option, it is possible to add a row or “Zone” to the table of this section and to repeat a zone, delete a zone or enter the characteristics of each “Zone” you can use “Add Duplicate”, “Delete” and “Edit” options respectively.

To enter the characteristics of a “Zone”, by clicking on “Add” add one or several rows and specify your zone. Using this table, you can draw the desired characteristics. For polygon characteristics you need to use several “Lines” and enter the characteristics of each of the sides. For each line, “R”, “X”, “Angle (angle of the line)” and “Inside (the inside area)” should be specified which includes “Left” for the area of the left side (and above the line for horizontal lines) and “Right” (and below the line for horizontal lines). In using “Line polar”, the line characteristics are specified with its impedance magnitude and angle which means “Z” and “Phi”. If you wish to draw radial characteristics, you need to use “Arc”. In “Arc” mode, you need to enter the center of the circle, the radius of the circle, the start angle of the curve and the end angle of the curve in “R” and “X”, “Radius”, “Start angle” and “End angle” respectively. Moreover, you can select the rotation direction of the curve from among “Clockwise” and “Counter clockwise” options. If you are using “Arc Polar”, instead of “R” and “X”, you need to enter impedance and angle.

As an example, we are going to show you how to draw a “Quad” characteristic and in future videos we will provide you with explanations for other characteristics. Before starting to design the zones, it is important to note that intersection of successive lines with each other, meaning the intersection of the first and second lines, second and third lines, and third and fourth lines so one. make the zone. Finally, if you check “Auto Close” option, the intersections of the first and last lines will be considered as well and the zone will close automatically.

To begin an element, “Add” “Line Cartesian” and set its “R” and “X” at “0” and “-0.1” respectively with a “0” angle. By adding the next line, the intersection point of these two lines determines the zone area. “R” and “X” of the second line are “1” and “0” with a “65” angle. Since “Left” has been selected, the inside area of the left side is selected. By selecting “Right”, you can see that the right side of the line from the intersection point is considered as a part of the zone. To specify the line above the characteristic, a line with “0” as “R” and “1” as “X” with a “0” angle and “Right” (to select below the line) is entered. In the final step, a line with “65” as its angle and “-1” and “0” as its “R” and “X” are entered.

As another example, if you wish to make a radial zone, you need to use “Arc Cartesian”. If you just want to make a circular zone with a specified center and radius, you need to enter the center of the circle and its radius in “R” and “X” and “Radius” fields respectively. Here, as an example, “1”, “0” and “1” are entered as the center and radius. “Start Angle”, “End Angle” and “Direction” fields have no effect in this mode. In “Inside” field, by selecting “Left” or “Right” you can select inside or outside the circle as the zone respectively. If you wish to specify a part of the circle as the zone, first you need to specify a line and then a circle. If you enter “15” degrees as the angle of the first line, and set the rotation direction of the circle at “Counter Clockwise”, the software starts moving in counter clockwise direction and picks the first intersection of the line and the circle which is close to the “Start Angle” as the start angle and picks another intersection which is close to the “End Angle” and the end angle. To complement the explanation, another line is added. This line determines the end angle and the first line of the start angle. Like before, the rule is that the intersection which is close to the “End Angle” is considered as the end angle. For example, “25” degrees is entered. According to the provided explanations, if you wish to select a part of the circle as the zone, you need to specify the circular element between the two line where the first line is the start angle and the second line is the end angle.

To simplify drawing the zones you can use “Predefined Shapes”. In this section, some patterns are predefined for three types of characteristics. Circle is used to draw “MHO” characteristic curves. In “Forward Reach” field, the maximum forward protective area is specified which is in “R” positive direction. If the characteristic is in a way that covers a part of the back of the relay, by using the “Offset” field, you can apply this item as well. About the mentioned subject, note that applying offset does not cause “Forward Reach” to change. Moreover, it is also possible to apply negative offset, which causes the characteristic to distance from the origin of the coordinates. By entering the angle in the “Angle” field, the center of the circle moves in counter clockwise direction as much as the value mentioned in this field. For example, if “5” and “1” are entered as “Forward Reach” and “Offset” respectively, in “0” degree you can see that “R=-1 to “R=5” is the area that is covered. Now, if “45” is entered as the angle, you see that the center of the circle rotates as much as “45” degrees. In this case, the radius and center of the circle can be obtained using “r=(forward Reach + Offset)/2"And “M=(forward Reach + Offset)/2”formula respectively. “Polygon” characteristic are made of four line Cartesians. To change any of the sides, first you need to select the intended line and enter the characteristics. Explanations for this matter are the same as the explanations provided for line Cartesian.

The last characteristic is “Lens/Tomato”. The use of “Forward Reach”, “Offset” and “Angle” fields is the same as “MHO” characteristic. Parameters “A” and “B” stand for “Width” and “Forward Reach” respectively and in “A/B” field the proportion of these two is entered. If “A/B” is bigger than “1”, smaller than “1” or equalls “1”, the characteristic will be in tomato form, lens form and MHO form respectively. If “A/B” is selected in the “Type” field, by changing the “Forward Reach”, the proportion of “A/B” remains the same and the “Width” changes. For example you can see that if “A/B” equals “0.5”, by changing “Forward Reach” the value of “Width” changes. However, if “Width” is selected as “Type”, by changing “Forward Reach”, you see that the “Width” remains the same and “A/B” changes.

Practically this characteristic curve is made of “2” circles and the radius of these circles is shown as the “R” formula, the center of the first circle is shown as “M1”, and the center of the second circle is in the form of “M2” where “α”, “β” and “ϕ” are as illustrated.


In the end, some points about this section is mentioned:
By selecting any element, any information entered earlier will be deleted.
By checking “Invert all” option, the selected area inverses. This means that if this option is checked and “1” second is entered as the trip time, on the test page you can see that inside the curve is “NO TRIP” while outside the curve is “Tripping” area.

By clicking on “Clear” on this page, all information will be deleted.

After specifying the zone, the type of the zone should be specified in “Type” field. If “Tripping” is selected, its trip time and time and impedance tolerances should be entered in “Zone Details” and for changing any tolerance, its checkbox should be checked and then the changes can be made. Generally, starting zones are very big, which contain tripping zones, and the condition which the relay performs a trip is that the fault impedance is located not only in the tripping area but also inside the starting area. “Extended” zones are those that are activated by receiving a specific signal from the network and usually cause the zone cover a bigger part of the line.

In “Fault Loop” field you can specify the type of faults that the defined zone can be used for. To specify that a zone is to be used only for two-phase faults you need to select “LL” in “Fault Loop” field and check “LL Fault Group Exclude L1L2L3 fault Type” in “System Setting”. You can use “Active” column to activate or deactivate a zone.

“Up” and “Down” options at the top of the table are used to move the defined zones. At the bottom of the page there is a box including grounding factor by which makes it possible to specify a different single-phase grounding factor for each zone. However, this section is in progress and is not ready for use yet.

As mentioned before, one of the windows of “Distance” room is “Test View”. This window consists of 6 tabs of “Shot Test”, “Check Test”, “Search Test”, “Setting”, “Trigger” and “Binary Output”. In “Shot Test” tab, it is possible to specify fault type and test point and after performing the test, you can view the results of the evaluation. In “Test Point” section in this tab, the test point can be specified using two methods: first, the impedance magnitude is entered in “lZl” field in terms of ohm and in “Phi” field the impedance angle is entered in terms of degree. Then, by clicking on “Add” the values are entered and the software displays the real and imaginary values of this impedance in “R” and “X” fields respectively. In the second method, it is possible to directly enter the real and imaginary values in “R” and “X” fields and by selecting “Add” select your intended point. If you wish to enter your test points in terms of a percentage of length of the line, you should use “%” field.

By checking “Z Relative” option, the test point is made dependent on the length of the line and recorded in the table. By changing the length of the line from 1 to 3 ohms, in “Test Object” section, in “Distance Parameters” window in “System Settings”, the entered impedance value is changed in accordance with the length of the line. But, if this option is not checked, by changing the length of the line, the entered values in the table do not change. In fact, each test point consists of three “States” which simulate “Prefault”, “Fault” and “Post Fault” states. By default, in “Prefault”, “Fault” and “Post Fault”, nominal voltage and 0current, 0 voltage and current and voltage and a current based on the test point are injected respectively. To change “Prefault” and “Post Fault” states you should use “Setting” tab and “Time” section. More explanation about this section will be provided in “Setting” videos. Just note that if PT connection is wired, as at busbar, in “Post Fault” the zero current and nominal voltage will be available.

The Fault Type is specified in “Fault Type” section. These Faults include phase to ground, two-phase and three-phase faults. Before specifying the fault type and fault current, it is necessary to select the test model from among Constance test current, Constance test voltage and Constance source impedance. In Constance test current model the injection current is fixed and the voltage changes in accordance with the test impedance. In Constance test voltage model, the test voltage is fixed and the fault current changes in accordance with the test impedance. In Constance source impedance method, the source impedance includes the impedance from the origin to fault plus the impedance of ground to the fault point, angle and the grounding factor.

By selecting “Add”, the selected test point is added to the table in this window. By selecting any of the rows and clicking on “Insert” option, the selected row is repeated in the table and by clicking on “Remove”, the selected point is removed. By selecting “Add to” option, it is possible to copy the point or points selected for one of the “Fault Types” to another “Fault Type”. By selecting “Remove All” option, it is possible to remove all of the test points added to the table. By clicking on “Sequence” option, “Sequence Test Points To” page opens where it is possible to create test points with equal steps. By selecting “Angle” in “Step On” field in “Step” section, the angular steps are directly entered in terms of degrees.

This means that the test points are specified according to the “Origin” point entered in “Origin” section in a way that the required angles resulted in proportion to the horizon. For example if the start and end angles equal “45” and “90” degrees with “5” degrees as their steps and the origin points are entered for “Z” and “Phi” or “R” and “X”, after selecting “5” ohms as impedance and “36” degrees as the origin and by applying this settings, you can see that multiple points are added on the “Impedance View”. For example the last point is selected; you can see that the resulted angle is “85” degrees not “90” degrees. This happens because the “Origin” point is also considered as one of the points.

But by selecting “Direction”, an “angle” is specified in “Angle” field where from the “Origin” point with the length entered in “Length” field and with steps specified in “Step Size”, some points are shot on the characteristic curve. Note that the length and the steps of the points are in terms of ohm. For example if the angle is “45” degrees, the length is “5”, the step size is “0.5” ohm and the origin point is “0” ohm, by applying this settings you can see that some points are created in “45” degrees with “0” origin in “Impedance View”. Note that in both states of “Angle” and “Direction”, it is possible to make the origin dependent on the length of the line and specify it in form of a percentage of it in “Z Relative” section.

If the performed test has “Failed” points, by selecting “Clear All Failed Tests” option, it is possible to clear the results of all these points. In “Detail” section, the information related to “Trip” nominal time, the allowed operation time range, actual time and test point evaluation are entered in “T nom”, “T min” “T max”, “T act” and “State” fields respectively. The test points are entered with detail in the table at the bottom of the page. The details include test evaluation, test current, nominal time, operation time, fault value in terms of percent and seconds and the minimum and maximum operation time. Also, if you wish to add a comment about any of the test points, you can use the “User Comment” cell. At the bottom of this page, it is possible to select test points table from different “Fault Types”. To test, a point is shot in “L1-E” “Fault Type”. By using “Add to” option, this point is also added to “L1L2” and “L1L2L3” “Fault Types”. Note that if “L1-E” option remains checked, the point added for the “L1-E” “Fault Type” will be repeated in this “Fault Type”. Then, open the “Signal View” window and run the test. You can see how the voltage and current signals are injected for every test point. After testing each point, its evaluation is recorded in the table as well as the “Impedance View”.

After performing “Shot Test” in “Distance” room, it is time to do “Check Test” and “Search Test”. In “Check Test” the upper and lower tolerances of the relay which are displayed as dotted line in “Impedance View” are tested and evaluated. To perform a “Check Test”, first it is necessary to draw lines named “Check Line” in different parts of the diagram. To draw this line first from “Check Line” section, the origin point of this line is specified in “Origin”. In “|Z|” field the test impedance value is entered as a number. Note that if a negative number , for example -2.5 is entered, since there is no negative impedance, this negative value will influence the angle; this means that it will be subtracted from 180 degrees angle in “Phi” field. The impedance angle is entered within the range of -180 to 180 in “Phi” field and if in this cell a number higher than this range is entered, automatically that number will be displayed in the specified range. For example if 455 degrees is entered in this field, 95 degrees will be displayed.

In addition to using |Z| & "Phi" filed, you can specify origin impedance using "R" & "X" fields. "R" & "X" are real and imaginary of impedance. In fact the four fields of “|Z|”, “Phi”, “R” and “X” are linked and by changing the value of one of them, the others change accordingly. In “Angle” field the angle of the “Check Line” and In the cell of the “Length” section the length of the “Check Line” is entered. In “%” field it is possible to specify the length of “Check Line” in terms of a percentage of the length specified in “Test Object” by default. By enabling the “Relative” option, you can make the length of the line dependent on the parameter specified in “of” field. The value of the parameter specified in “of” field is multiplied by the value of the “%” field and the length of the line is formed. If “Relative” is checked, by changing the value of the “of” parameter, the value of the “%” cell does not change and the new value of the “Length” is calculated. If “Relative” checkbox is not enabled and the value of “of” parameter is changed, the value of “Length” field remains fixed and the value of the “%” changes. Note that the drawn “Check Lines” need to have an intersection with at least one of the tolerance lines of the characteristic curve. Then, click on “Add” option so that the “Check Line” is added to the “Check Test” lines table.

Another method for drawing the “Check Line” is to hold down the left-click and “Ctrl” key on “Impedance View” window and then move the cursor in the desired direction on the characteristic curve. You can see that the information of the drawn “Check Line” is displayed in “Check Test” lines table. After drawing the “Check Line”, the software evaluates the crossing place of “Check Line” and tolerance lines as “Shot” test in accordance with the performance of the relay. Here, after performing the test, the relay does not perform in upper tolerance and performs a trip in the lower tolerance so the result of the test is “Passed”. Other parts of this section such as “Fault Type” and “Remove All” and “Sequence” etc. options are the same at those of “Shot Test” section which have been explained in previous videos. The only additional option in this section is “Copy to Search”. By marking any of the test lines and selecting this option, it is possible to copy the selected line in “Search Test” and by selecting “Add” option in “Search Test”, add this line to the “Search Test” test lines table.

After performing “Shot Test” and “Check Test” in “Distance” room, it is time to do “Search Test”. The purpose of this test is to find the Exact location of characteristic curve line .To perform a “Search Test”, first it is necessary to draw lines named “Search Line” in different parts of the diagram which is the same as the method explained for “Check Line”. And all of mentioned notes for check line is true for search line too. After drawing the “Search Line”, the software evaluates the crossing place of “Search Line” and tolerance lines as “Shot” test in accordance with the performance of the relay. By performing the test, the software interpolates the characteristic curve by testing some points on the search line to find the exact location of the characteristic curve. Other parts of this section such as “Fault Type” and “Remove All” and “Sequence” etc. options are the same at those of “Shot Test” section which have been explained in previous videos. The ignore field in the “Search Interval” is used when defined characteristic curve is not considered for the search line.

By entering a number in this section, some points are added on the “Search” line with the entered number as their distance. For example, by entering “150mΩ” in this field, you can see that there are points added on the “Search Line” with as much as “150m“of distance. If the test is performed, the points added on the “Search Line” are tested one after the other so that the exact location of the relay is specified. This option is used when there is no characteristic curve for the test or the current characteristics seem to be wrong. If you want to do this for all drawn test lines, you can use the “Setting” tab in “Ignore Nominal Characteristic” section. To do so, by entering the value of “Search Interval” and selecting “Apply to all” option, you can apply this settings to all test lines and find the relay characteristic.

In “Settings” tab it is possible for you to manage settings related to “Shot Test”, “Check Test” and “Search Test”. In “Fault” section, the method of the test is specified. In addition to the test method, the amount of current or voltage of the test is specified as well. Generally, there are three methods to calculate the test current and voltage and all of these methods are available in the drop-down list in “Test Model”. The first method is “Constant test current”. After specifying the fault impedance, the test voltage can be easily calculated in a fixed current. Some of the parameters are set in accordance with the option selected in this field about which more be discussed later.

The amount of test current is specified in “I Test” field. As you can see this cell is in Purple which means that its value is dependent on a parameter in “Test Object” and is calculated using the relation defined for it. By right-clicking on this option and selecting “Link to XRio” you can see that the amount of test current is resulted from multiplying the nominal current by 2. You are allowed to change this number to any desired value. By manually changing this value, the cell turns pink (if “XRio” file is loaded) which means that the formula of calculating the test current is disabled. You can also enter the test current value manually by right-clicking on this cell and selecting “Remove Link” option.

“LL Same as LE” option enables the user to test either of phase to ground and phase to phase fault types with different currents. If this option is checked, all phase to ground and phase to phase fault types are tested with the same current and if this option is unchecked, you can specify a test current for each of fault types. When using the Constant test current test method, in “Maximum Fault Impedance” section, the maximum fault impedance in phase to ground, two-phase and three-phase “Fault Types” is calculated by using these formulae and are displayed.

If in constant current, the test voltage is more than the nominal value of the relay a prompt saying “Out Of Range” is displayed which means that the selected point is out of the allowed range. By checking “Allow Reduction of I Test” option, the software considers the voltage as the nominal value to calculate the intended impedance current and voltage and decreases the current value so that the shot point is placed in the injection range of the device. By checking “Allow Reduction of I Test” option, “V Max (L-L)” field is displayed which is the same as the nominal line voltage. You can see that this cell is in Purple which means its value is related to another parameter. By right-clicking on this field and selecting “Go to Linked Value”, you can see that this field is linked to “V nom” parameter and by changing this parameter the value of this field changes accordingly. Also, by right-clicking on this cell and selecting “Remove Link” option, you can enter this value manually. For example, in “Shot Test” tab, a point with a “30” ohm impedance is added to the points table. This point is located in the “Out Of Range” area and by opening “Vector View” window, the voltage and current values for this impedance are displayed. By checking “Allow Reduction of I Test” option, you can see that the voltage value changes to nominal voltage and the current value is reduced so that this point is placed in the injection range of the device. Note that when you are testing a wide range of the zone, the injected current must be bigger than the minimum “Pick up” current of the relay. If the relay uses the voltage dependent on the inception current, make sure that the test voltage is always smaller than the “Pick up” voltage set for the relay.

The second method is “Constant test voltage”. By specifying the fault impedance value and keeping the voltage fixed, the test current can easily be calculated. Some of the parameters are set in accordance with the option selected in this section about which more is going to be said. The test voltage value is specified in “V Test” field and the value entered in this section is considered to be fixed throughout the test. When you are using the Constant test voltage test method, in “Minimum Fault Impedance” section, the minimum fault impedance in phase to ground, two-phase and three-phase “Fault Types” is calculated using these formulae and displayed.



The third method is “Constant Source Impedance”. In this method, it is possible to specify the fault impedance source so that the test current value is calculated by using a constant impedance. You can use various modes available in “Mode” drop-down list to determine the fault Source type. By clicking on this field a list opens where you can select your impedance model and enter the value of the required parameters in “Source Type” table in accordance with the selected model.

In “Zs and KS”, “ZS1 and ZS0”, “RS, Xs, RSE, XSE” and “SIR and KS” modes, magnitude and angle of the source impedance and the grounding factor of the impedance, magnitude and angle of the source impedance in zero and positive sequence, real and imaginary sections of the source impedance as well as the relation of mentioned real and imaginary parameters, and magnitude and angle value of real and imaginary sections of the source impedance are entered respectively. In fact, in this section, “SIR” is “ZS/ZL”. In “Ssc and X/R” and “Isc and X/R” modes, the short circuit apparent power for three-phase and phase to ground mode and the “X/R” parameter relation in single-phase mode, and the short circuit current for three-phase and phase to ground and the “X/R” parameter relation in single phase mode are entered in “Source Type” table respectively.

If “KS=KL” option is checked, in the models mentioned in “Mode” field numbers 1, 2, 3, and 4 only the first two parameters are adjustable and the other two parameters are disabled. This option is disabled in modes 5 and 6. By setting the parameters of any of the selected models, the software calculates the current or voltage value for the test which can be viewed in “Vector View” window.
In “Fault Inception” section, the fault inception angle can be determined in three ways. To better understand this, open “Signal View” window. If “Fixed Angle” is selected from “Model” slide field, you can enter the desired fault inception angle value in “Angle” field and view the angle changes in “Signal View”. By entering this angle, current and voltage phases shift at the same amount. By selecting “Maximum Offset” option, the software picks the maximum “DC Offset” value in the fault inception moment for the current waveform. The maximum positive “DC Offset” value occurs when the fault inception angle is equal to the impedance angle ±90 degrees. By selecting “Zero offset” option, a zero “DC offset” is applied to the current output. By checking “DC offset” option, in “Fixed Angle” it is possible to specify a “DC offset” value for the current output in the fault inception moment in any desired angle.

If for any reason you wish to use the group B voltage output in “Distance” test, you can do so by checking “Enable Voltage Output (VB)” in “Voltage Output” section and entering the intended voltage and angle values. You can view the waveform related to this voltage output in “Signal View” window.

In “Time” section, first the injection time before the fault is entered in “Prefault Time”. In cases where the “PTs” draw inrush current, by checking “Ramp in Prefault” option, it is possible to increase the waveform of the voltage signal in prefault in form of a ramp to prevent stop applying voltage because of the drawn inrush current. In “Max Fault Time”, the maximum fault injection time is specified in form of “Abs” or “Rel” which itself consists of three parts. Note that if in a “Shot” point, the “Max Fault Time” is shorter than maximum allowed “Trip” time, the result of the evaluation will be wrong. If you are using the “Max Fault Time (Abs)” field, you need to enter a time in seconds for the maximum fault injection time (For all points); but to increase the test speed, you can use “Max Fault Time (Rel)” option.

By checking this option three other options appear. By entering a number in “Add %of Tnom”, the fault injection time in every point equals the test point nominal time plus percentage of the nominal time entered in this field. This means that if the test point nominal time is 10 seconds and 5 percent is entered in this field, the maximum fault injection time equals 105 percent of the test nominal time which is 10.5 seconds. But in “Add Absolute” field, the fault injection time is entered as the sum of test point nominal trip time plus the time entered in this field. If time is entered in these 3 fields, the software picks the highest value. For points that are in “No Trip” zone, it is possible to enter a separate time in “No-Trip Time” field.

In “Post Fault Time”, the injection time after the fault is entered. “Delay after Trigger”, is used to enter the key trigger time. By right-clicking on the related field and selecting “Go to Linked Value”, you can see that it is linked to “CB Trip Time” and if necessary, you can replace it with your desired value by selecting “Remove Link”. In “Time Reference”, by selecting “Fault Inception”, the “Trip” time is calculated from when the fault is injected. But by selecting “Starting”, the “Trip” is calculated from when the “Pick-up” contact is received from the relay. In “Load Current (PreFault Current)” section you can specify the settings for the phase and current related to “PreFault”. In “Amplitude” section, by selecting “Based on Current” radio button, the “PreFault” current is entered in terms of Ampere which is the same for all test points. But by selecting “Based on IFault”, the “PreFault” current is entered according to the fault current which is different for every “Shot” point. In “Phase” section, by selecting “Based on Degree” radio button, the current angle in “Prefault” is entered which is the same for all “Shot” point but by selecting “Same as Fault Angle” radio button, the “Prefault current angle” is the same as the fault current angle which is different for every “Shot” point.

In “Search Setting” section, the settings related to “Search Test” are specified. As mentioned before, a “Search Test” arrives at a conclusion only if one of the three conditions of this section is met. The first condition is “Relative” which means that if the difference between the test point value and the previous point is less than the percentage specified in this field, this very point is the result of the test. The second condition is “Absolute” which means that if the difference between the test point and the previous point is less than the value specified in this field, this very point is the result of the test. The third condition is “Max point number” which means that the test is to be performed as many times as the number of points entered in this field at max and the last point is the result of the test. But if for any reason, the nominal characteristic determined for the relay is not available, you can use “Ignore Nominal Characteristic” section. By doing so, the software ignores the existing characteristic. Then, based on the step entered in “Search Interval”, it adds shots on the “Search” line. For example, a line is drawn in “Search Test” section. Then, "200mΩ" is entered as the value for “Search Interval” and “Apply to all” is selected. You can see that some points with the same step are added on the “Search” line. By running the test, you can see that the test starts from the lowest point and once one of the three mentioned conditions is met, the test comes to result. Also, if necessary, you can ignore this option by selecting “Disable all”.


By selecting “Shot Passed Only Act in Main Zone” option, only if the performance time of the relay in the shot point is located in the allowed range of the main zone the test “Passes”. For example, if this option is checked and a shot is added to tolerances of zone 2, the test “Passes” if the relay operates only in the time of zone 2 which is “95” ms to “150” ms; otherwise, with any other performances by the relay, the test “Fails”. But if this option is not checked, the allowed performance time of the relay is “95ms” to “No Trip” and if the relay does not give a trip in this point, the test “Passes”. “Test Passed Only Act in Zones” option is used for “Search”, “Check” and “Shot” tests. By checking this option, the test “Passes” when the relay performance in the tolerances, is only the time of one of the two zones. For example, if this option is checked and a shot is added to zone 1 and zone 2 tolerance area, if the relay operates in “28.5” to “80” ms or “95” to “150” ms the test “Passes”; otherwise the test “Fails”. This can also be done for “Check” and “Search” tests.

In “Trigger” tab you can specify the desired binary to receive the “Pickup” and “Trip” signals of the relay as well as stopping the current injection. The settings and explanation of this section are exactly the same as mentioned for “Trigger” room and “Sequencer”. In “Binary Output” tab, if it is necessary for the relay to view the conditions of the key, it is possible to take any needed voltage to the “Binary Input” through “Binary Output” of the device by voltages of “B” or “Aux Dc” groups. This tab has three modes of “Prefault”, “Fault” and “Post Fault” and it is possible to manage each of them separately.


As mentioned before, one of the main windows of Distance room is “Impedance View”. This window shows the relay characteristic curve based on the settings entered in “Test Object” window. This window has some shared and some unique features. The features available by right or left clicking on this window are common to all rooms and it is not necessary to explain them here but at the bottom of this window there is a gear by clicking on which some other useful options are displayed. By clicking on “Zoom During Test”, if one or multiple “Search” lines are drawn on the characteristic curve, by running the test you can see that the software zooms on the areas where the test points are located and shows the found zone line.

If you select “Optimize All” option, by changing the “Fault type”, the characteristic curve display is “Optimized”. By using “Pan Mode” you can move the characteristic curve diagram as desired. By using “Show row number” you can view the row number of any test point or test line on the characteristic curve. If you wish to see which “Zone” is the “Main Zone” of every point on the characteristic curve, you can check “Show Zone Number” option. By using “Show Zone number” the zone number of any test point or test line will be shown on the characteristic curve. By using “Show all zone”, test zones of all “Search” points are marked with a circle to find the characteristic curve line. By selecting “Show selected zone”, only the points of the line selected from “Search line” table are marked with a circle.

By clicking on “Show all t act point”, the operating time of the tested points is shown. Since maybe the points are close to each other and it is not possible to view the times clearly, you can use “Show selected t act point” option which shows the time of the row selected from the test points table. “Show all Z act Point” and “Show selected Z act Point” options are used to show all result of “Search Test” and the points related to the row selected from the “Search Test” table respectively. By selecting “Snap to grid” option, the points on the characteristic curve that are shot close to the grids snap to the grids of this page. By selecting “Snap to characteristic curve” option, the points on the characteristic curve that are “Shot” close to the characteristic curve grid snap to it.

About polygon or “Quad” zones tolerances it should be noted that the rounding of the tolerances occurs where the zone lines intersect. The reason for this is related to the definition of tolerance. Suppose a %5 tolerance; the tolerance is the geometric location of all points which have a %5 distance from the zone line. According to this definition, the tolerances turns into a semicircle where the zone line ends. In sections where the tolerances of a zone overlap, the union of tolerances are considered as the tolerances of zone. Therefore, based on the angle of the two intersecting sides of the zone, a part of the external tolerance zone turns into a curve.

To start first open “Medium Detail View” window from the toolbar and move it to an appropriate location. Characteristics of every point are displayed in “Medium Detail Window” with details. This window consists of two tables of “Shot data” and “Zone data”. In “Shot data” table, the information related to time, impedance, test point as well as current and voltage of the test point are shown. “Zone data” table is composed of two main parts. In the first part, general information related to relay zones along with the allowed operation time for each one is displayed and it is the same for all selected points. But the second part of this table changes according to the selected test point.

For example, if a point in zone 2 is selected, the general information of the zones will be displayed in “Zone Data” table without any change. But in “Is in Zone” column in the second table, it is specified that in which zones the selected point is located. In “Is in Tol” column it is specified whether the selected point is located in the tolerance zone or not. In “Zone Index” column, the main zone related to the selected test point is specified. If the point is located in only one zone, that zone will be considered as the main zone but it should be noted that if the point is located in multiple zones, the zone with the shortest nominal time will be considered as the main zone.

To open “ZT Diagram” window, “View” menu or the toolbar should be used. On this window the time diagram based on impedance, according to the operation characteristic of the relay zones along a specific angle is displayed which the most important application of this in the software is finding the test points for “Search Test” and “Check Test”. Note that the diagram on this window is linked with “Impedance View” and any point that is “shot” on one of these two windows will be “shot” on the other window accordingly. In the curve of this window, the vertical lines are the border of zones and between the two vertical lines, the time-impedance characteristic of the zones in the angle specified by the user is displayed. On this window, tolerances are displayed with dotted lines and zones.

Let us use an example to explain how this diagram works. If “Test View” is on “Shot Test”, and 0.5 ohm and 65 degrees are entered in “Z” and “Phi” fields in “ZT Diagram” window respectively, you can see that the point corresponding to this “Shot” is displayed on “Impedance View”. Note that in “Shot Test”, the values of “Angle” and “Phi” are the same because “Angle” refers to the angle of the line drawn from the point specified in “Origin”, with “X-R” diagram as its origin. By specifying it, the variation of time – impedance curve in “Angle” is displayed in “ZT Diagram” window. This means that if the “Angle” is 65 degrees, “ZT Diagram” shows the time variation based on the impedance in this angle. In this angle, the impedance moves from zone 1 with 30 ms to zone 2 with 100 ms and then moves from zone 2 up to “No Trip” zone. By moving on this diagram and clicking on its different sections, you can see the movement of “Magnet Cursor” in “Impedance View”.

To make it clear, if in “ZT Diagram” window, the “Angle” is changed to 40 degrees, you can see that the “ZT Diagram” changes because in 40 degrees angle, the impedance only changes from zone 1 to “No Trip”. In fact, by changing the angle, the “ZT” curve changes according to the zones available on its impedance course. In this diagram, you can see two blue dotted lines which the left side line indicate the “|Z|=0” line which is the minimum allowed impedance value. As you already know, impedance cannot be smaller than zero. The right side line indicates the selected point.

But in “Search Test” and “Check Test”, “Angle” is there angle of the drawn line “Phi” is the origin impedance angle of “Search Line” or “Check Line”, and values of them are different. For example, if in “Check Test” a “Check Line” is drawn from zone 1 to “No Trip”, you can see the time based on impedance diagram in “ZT Diagram” window in the angle where the line is drawn. In this diagram you can see two blue dotted lines where the first line indicates the start point and the second line indicates the end point of the “Check Line”. Note that in this state, the “|Z|=0” line is the start or origin point of the “Check Line” and the other blue line is the end point of the “Check Line” and the distance between these lines is the length of the “Check Line”.

An important point for understanding the concept of “Check Test” is that when a “Check Line” is drawn, the software starts moving on the line and adding a “Shot” on places where the tolerance is broken on the “ZT Diagram”. Here, as you can see, since there are three fractures along the “Check Line” in “ZT Diagram”, three “Shots” are added. In this case, the difference between “Search Test” and “Check Test” is that in “Search Test” the software does not add a “Shot” on all tolerance fractures on the “Search Line” but from the zone line towards both ends, it only adds a “Shot” to the first tolerance fracture.

Another point is that if you draw a “Search Line” or “Check Line” like this figure, you can see that in addition to adding “Shots” on places where the tolerance is fractured on the “ZT Diagram”, the software adds a “Shot” inside the zone and in the middle of the “ZT” characteristic accordingly. To explain this, if the line drawn from within a zone crosses a zone with different operation time but no point is “Shot” from that zone, the software adds a “Shot” to a point on “Search Line” or “Check Line” in the middle of its characteristic in “ZT Diagram” and “Impedance View”.

Numeric distance protection relays use various algorithms, based on measured current and voltage, to calculate fault impedance. The calculated impedances differ under certain conditions, such as single-phase-to-ground faults. Generally, three methods are commonly used for calculating impedance in phase-to-ground faults: Type A, Type B, and Type C.Here, a single-phase-to-ground fault (Phase E1-L) has been applied to three relays with different algorithms. The voltage and current measured by each relay are displayed as shown.

The line impedances calculated by the distance relays are shown as displayed.The different measured impedance values are due to the varying grounding factors used in the distance relays. Below, these three methods are introduced.As you may know, the distance relay determines the fault location by calculating impedance. The shown diagram represents the equivalent circuit of a double-fed line where a single-phase-to-ground fault has occurred in Phase L1.


In this circuit, the relay at point M measures voltage and current and calculates impedance based on Kirchhoff's law. In the written equation, the term RF is considered as zero undefined due to the arc caused by the short circuit. Therefore, by making certain assumptions to simplify this equation, the relay calculates the voltage at point M. In the equations, RF is assumed to be zero, and IE.ZE are determined using the grounding factor.

The grounding factor (K) is used in phase-to-ground faults and relates to line parameters, defined as the ratio of ground impedance to line impedance. The diagram shows the equivalent circuit for a phase-to-ground fault, assuming RF = 0, where the total impedance ZS is divided into line impedance ZL and ground impedance ZE. With these assumptions, we have the equations as shown.


In the displayed equations, Z0s and Z1s represent the positive sequence and zero sequence impedances of the source, respectively. In general, there are three methods for expressing the grounding factor (K), which are convertible to one another. The first method is the ratio of ground impedance to line impedance, which is a complex number. The second method is the division of zero-sequence impedance by positive-sequence impedance.

The third method represents the grounding factor as a pair of real numbers. Depending on what information about the grounding factor is available, it can be independently entered in the Object Test window, Distance Block, Factor Grounding section of the Vebko software.The Factor Grounding section in the Parameters Protection Distance window allows for inputting the grounding factor and selecting the relay's algorithm. Using the Mode dropdown menu, the method of entering the factor (RL/RE or KL K, K0) can be chosen without affecting the relay's algorithm.


As mentioned, there are equations for converting different types of grounding factors into each other. The relationship between the KL factor and other grounding-related factors is shown. Distance Protection Relay Algorithm Type A, ‘KL Complex’: The distance relay with Type A algorithm uses the KL factor, as shown, for calculating impedance in a phase-to-ground fault.


In the shown equation, assuming that the first-phase current, ground current, and fault current are equal (-=1IL=IIF=IE ) , and with V as the voltage measured by the relay during the fault, the impedance measured by the relay is calculated as shown. Distance Protection Relay Algorithm Type B, ‘XL/XE, RL/RE’: The distance relay with Type B algorithm calculates impedance for a phase-to-ground fault using the complex grounding factors KrKr and KxKx, as displayed.


In the given equation, it is assumed that the first-phase current, ground current, and fault current are equal (i.e., IL1=I=IF=IEIL1=I=IF=IE). Additionally, V represents the voltage measured by the relay during the fault. Based on this, the impedance measured by the relay is calculated as shown.

Distance Protection Relay Algorithm Type C, ‘Separated Arc’: Type C distance relays use an algorithm similar to Type B for calculating the imaginary part of the fault impedance X. However, they calculate the real part of the fault impedance R differently. This algorithm considers the arc resistance (RF arc) by assuming that the fault current IF is equal to the line current. The main concept in this algorithm is to combine arc resistance with line resistance. In other words, the real part of the ground impedance is subtracted from the real part of the phase-to-ground fault impedance (ground-fault loop). The ground resistance value can then be determined from the calculated XL as a function of the factor Kr and the line angle.


Interpretation of Results for Different Algorithms: Simplifying (IE=−IF=IL1IE=−IF=IL1) allows for comparing the obtained results. The displayed table shows the line impedance calculated by different distance protection algorithms.
The displayed table shows a key result of the analysis. The measured impedance (Zmeas = Rmeas +j xmeas) by the distance relay includes the line impedance ( Z_L) along with a portion of the arc resistance. The amount of added RF arc resistance to the line impedance depends on the distance protection algorithm used.

"As shown in the table, in Type A relays, the grounding factor or KL impacts both the real and imaginary parts of the impedance as a complex value. In this case, the arc effect from a short circuit is considered an inductive and resistive phenomenon, represented as a complex impedance. In Type B algorithms, the relays reduce the arc resistance ( RF ) by a factor of 1 /(1+Kr) in the real part. In Type C algorithms, relays measure impedance without any compensation factor for arc resistance ( RF).Distance relays of Types A, B, and C define measured impedance differently. Consequently:
✓ Scaling on the impedance plane changes and will no longer depend solely on ( X ) and (R). The relevant axes scaling is illustrated in the accompanying diagrams.
✓ Measured impedances from different relay types are not directly comparable on the same impedance plane.
✓ All distance protection algorithms produce the same ( R_L ) and ( X_L ) results at the line angle or when RF = 0.
✓ Outside the line angle, depending on the fault's location on the impedance plane, the arc resistance is added to the line impedance."
✓ All distance protection algorithms function correctly; however, grounding factors must be considered when setting zones and testing relays.
Considering Grounding Factors During Testing The Vebko software, including the Test and Stable versions, implements all mentioned distance protection algorithms.
As discussed, depending on the available grounding factor data, it can be entered independently according to the equations in the Vebko software’s Object Test window, within the Distance Block under the Factor Grounding section. You can also select any of the mentioned algorithms to calculate current and voltage. It’s crucial that both the testing software and the relay use the same algorithm during testing; otherwise, this may result in inaccurate test outcomes.
The choice of distance protection algorithm is selected by checking boxes, as shown in the figure.

For the algorithms used by distance protection relays, refer to the relevant manuals and documentation. Since algorithms are not always publicly available, some common examples are listed in the displayed table.

In distance protection testing, an impedance relay is used to protect a line by calculating impedance using line current and voltage. The calculations in the distance room require injecting current and voltage proportional to the impedance of the relay. The training covers distance test calculations, along with proof for various fault types and testing methods. There are three common methods to calculate fault voltage and current for distance relay testing:
Constant Z-I Method
. Constant Z-I Method In this method, the fault current is considered constant, and the fault voltage is calculated by entering the impedance

In the Test Object window (Test Block), pay attention to the maximum test impedance (max(V)), which depends on the maximum test voltage displayed in the table for various fault types under the **Device Limits** section.

Constant Z-V Method
In this method, the fault voltage is considered constant, and the fault current is calculated by entering the impedance.

calculated by entering the impedance. In the Test Object window (Test Block), pay attention to the minimum test impedance (maxI), which depends on the maximum fault current displayed in the table for various fault types under the ‘Device Limits’ section.

Constant Source Impedance Method
In this method, neither voltage nor current is considered constant, but instead, the fault voltage is calculated using the source impedance (Zs) and the source factor (Ks). Information from the source may vary, but eventually, Ks and Zs are converted into usable values for calculations. All of this data is related to source impedance and is finally used in calculations.
In the next step, based on the chosen test method, fault current and voltage can be calculated in the ‘Distance Room’ under the ‘Setting’ tab, ‘Fault’ subsection, and ‘Test Model’ group. Click on the sliding field to select the desired mode.

Understanding the Concept of Source Impedance Ratio (SIR)
Consider a single-phase equivalent circuit of the network with a source or SV voltage. This network consists of the source impedance (Zs) up to the relay installation location and the line impedance (ZL), which the protection relay will monitor. The voltage measured by the relay is denoted as RV.

The system voltage seen by the relay is calculated using

the ratio between Zs and ZL, known as the ‘Source Impedance Ratio (SIR)’, which is represented by the following equation:

Also, using the following relationship, the voltage from the source to the short circuit level can be calculated asTherefore, the voltage measured by the relay during a fault depends on the SIR value and ultimately on the line impedance. Using the relationships for Ks and Zs, fault voltage and current can be calculated for the test.


Current and Voltage in Different Fault Types
So far, explanations have been provided regarding methods for impedance calculation. This section discusses the relationships of fault current and voltage in the software using the equivalent circuit for single-phase, two-phase, and three-phase faults
Single-Phase Fault:
The figure below shows the equivalent circuit of the line in the case of a single-phase fault. For calculating the current and voltage of the faulted phase and the other phases, methods such as constant current, constant voltage, and constant source impedance are used, with the calculations for each provided separately.

In Z-I Constant Method, the fault current (test current) is considered constant for all test points. Using the impedance and test current, the voltage is calculated as follows:

In Z-V Constant Method the fault voltage (test voltage) is fixed for all test points. Using the impedance and test voltage, the current is determined by:

In the Constant Source Impedance method, the fault current and voltage are calculated according to Kirchhoff's law as follows:

Proof of calculations in the Constant method:


. Two-Phase Fault
The equivalent circuit for a two-phase fault is shown below. For the faulted and healthy phases, methods like constant current, constant voltage, and constant source impedance are used, with each calculation presented separately

In Z-I Constant Method, the fault current remains constant across all test points and is the same for the two faulted phases but 180° out of phase. This results in the following relationships for current and voltage:

Proof of calculations in the Z-I constant method:


-In the Z-V constant method, the fault voltage for all test points is equal to the faulted two-phase line voltage (Vtest = V1N-V2N). Given the fault impedance, the line current and voltage are obtained from the following relationships:

Example: Two-Phase Fault (L1-L2) Assume a fault impedance of 1 ohm with an angle of 0° is used for testing. In this fault type, the angle between the line-to-line voltage and the corresponding current creates the desired impedance angle. The results for phase angles and magnitudes are:

In the Constant Source Impedance method, the fault current and voltage are obtained as follows according to Kirchhoff's law:

Three-Phase Fault
The equivalent circuit for a three-phase symmetrical fault is illustrated below. Faulted phase calculations are performed separately for constant current, constant voltage, and constant source impedance methods.

In Z-I Constant Method, fault current is fixed across all test points, and the fault voltage for all three phases is calculated using:

In the Z-V Constant Method the fault voltage is set equal to the phase-to-ground voltage for all test points. Fault currents for each phase are determined as:

In this method, both fault current and voltage are calculated using Kirchhoff's laws, considering the source impedance. The relationships for fault current and relay voltage are

In “AMT Differential” room, differential relays and longitudinal differential (“End to End”) test is performed. Differential relays work by comparing the currents in both sides of the equipment and measure and compare the current in both sides of the protected equipment which is used to protect power transformers, motors, generators and busbars. Note that to perform this test, both Current group A and B are activated and if you intend to use Neutrik cable for the test, you need to select “Current” as “Combination Cable” in “Preferences” section in “Hardware” section.
“Differential” room consists of two main windows of “Test View” and “Differential Characteristic”. In “Test View” window, “Shot”, “Check”, “Search” and “Stability” tests are performed. In “Differential Characteristic” window, the relay characteristic curve is displayed according to the information entered in “Test Object” based on “I bias” and “I diff”.



As mentioned before, to test a relay, first it is necessary to enter its information in “Test Object” window. In “Device” block, information such as relay nominal characteristics, serial number, location of the relay as well as “CT” and “PT” characteristics of the relay are entered. This section has been thoroughly explained in previous videos. “Differential” is the main block of this room by double-clicking on which, “Differential Protection Parameters” window opens. This window consists of “Protected Object”, “Protection Device”, “Characteristic Definition” and “Harmonic” tabs where the settings of differential relay are entered.


In “Protected Object” tab, the information related to the protected equipment is entered. In “Protected Object” field, first, the type of the protected equipment is selected among transformer, generator, motor and busbar and here transformer is selected. In “Vector Group” section, the transformer vector group which is entered in “Nominal Values” section is displayed. In “Number of Winding” section, the number of windings of the transformer is specified. If the transformer has three windings, a column named “Tertiary” appears in which the information of the third winding is entered. Here two-winding transformer is selected.
In “Nominal Values” section the nominal information of the transformer is entered in “Primary”, “Secondary” and “Tertiary” columns for primary, secondary and tertiary sides, but since here the transformer has two windings, the “Tertiary” column is disabled. In “Winding/Leg Name” row, it is possible to enter an English or Persian custom title for the winding. In “Voltage”, “Power”, “Vector View” and “Connection Number” fields, the nominal voltage of the two sides of the transformer, the nominal power of the transformer (equal in both sides), connection type of the two sides of the transformer and vector group number of the transformer are entered respectively. If there is a null point in the star direction of the transformer, select “Yes” in “Star Point Grounding” field. For example, if the transformer vector group is “YND11”, after specifying the transformer wiring type in “Vector Group” and its vector group number in “Connection Number”, in “Star Point Grounding” field “Yes” is selected in the primary column. In “Current” field, the nominal current of the both sides is calculated by the software based on the entered voltage and power which is not editable. In “Delta-Connected CT” field, if the “CTs” are wired in delta form “Yes” is selected otherwise “No” is selected.
Then, in “CT Nominal Current” section, nominal information of the “CTs” in the both sides of the device are entered separately. Note that for this section the differential and bias current calculations are done according to the calculated current and the entered turns ratio but if from “View” menu, “Primary” is selected as “Unit”, primary currents of the both sides of the transformer in “Vector View” are displayed according to the “CT” turns ratio entered in “Device” block. In “Star Point Grounding” section the turns at which the null point of the “CTs” is located is specified. If the null point is located at the protection equipment (Transformer) side “tow.Pro.Obj” is selected otherwise “Toward Line” option is selected.
After entering the characteristics of the protected equipment in “Protected Object” tab, it is necessary to enter the relay characteristics in “Protection Device” section. First, “lbias” formula is entered from “Ibias Calculation” field which consists of “seven” main formula. One of these formula should be selected form the relay manual and “Factor K1” is entered based on the selected formula. Generally, the characteristic curve is different for single-phase and multiple-phase faults but by checking “No Combined Characteristic” option, the differential characteristic curve will be the same in single-phase and multiple-phase faults mode. After drawing the characteristic curve, the complementary explanations are provided.

In “Reference Winding” field, the direction of the reference winding is determined which is selected in accordance with the relay settings. By selecting the reference winding direction, the angle in that end is considered to be 0. Since differential and bias currents are calculated and displayed based on the nominal current, it is necessary to select the nominal current of the relay among “CT” and nominal current of the protected equipment in “Reference Current”. For example, if “Current Protected Object Nominal” is selected for “Reference Current”, and “Idiff=2In”, “In” is the nominal current of the equipment whose information is displayed in “Protected Device” tab, “Nominal Values” section and “Current” field. But, if “CT Nominal Current” is selected, “In” is “CT” nominal current whose information is entered in “Protected Device” in “CT Nominal Values” section.
In “Zero Sequence Elimination”, if the related relay supports zero sequence elimination in measurements, you can select the zero sequence elimination type in “Elimination Type” field. This feature has been put in relays so that if there is a phase to earth fault outside the protective zone, the existence of zero sequence current does not stop the relay. However, this makes the relay less sensitive to phase to earth fault.
In “Test Time Setting/Transformer Model”, ”Test max” and ”Delay Time” fields specify maximum time of fault current injection and delay time after receiving ”Trip” contact, respectively. In ”Diff Current Setting”, ”Idiff>” field is related to first stage and “Idiff>>” is related to second stage. Note that for currents lower than ”Idiff>”, for Every bias current of the relay is stable and does not perform a trip. But currents bigger than “Idiff>>” indicate a fault near the transformer wiring and the relay performs an immediate trip without considering the bias current. But, between “Idff>” and “Idiff>>” currents, the relay operation is based on the characteristic curve and there is no delay in the operation.
In “Current Tolerances” you can enter the current tolerance in two forms of “Relative” and “Absolute”. Note that the software takes into account the highest value between these two. In “Diff Time Setting”, “Tdiff” field is the allowed operation time of the operation zone between “Idff>” and “Idiff>>”, and “Tdiff>>” is the differential currents bigger than “Idiff>>”. In “Time Tolerances” you can enter the current tolerance in two forms of “Relative” and “Absolute”. Note that the software takes into account the highest value between these two.
After entering the information in “Protected Object” and “Protection Device” tabs, it is necessary to enter relay differential characteristic curve in “Characteristic Definition” tab. In this tab it is possible to enter the characteristic curve in two ways.

1- By clicking on “Draw Custom” option, “Draw Custom Characteristic” window opens where there are several “Template” of differential characteristic curve for different relays available. The relay type is specified in “Object” section. After selecting the relay type, the information needed to draw the differential characteristic curve is displayed in “Data” section in accordance with the relay settings. For example, by selecting “Siemens 7UTX” relay, the information needed to draw the differential characteristic curve is displayed. In “I>” and “I>>”, “Slope1” and “Slope2”, and “Base point1” and “Base point2” fields, the minimum and maximum differential current specified in the relay, the slope of the first and second lines, and the crossing point of the first and second lines with “I bias” curve are entered respectively. To better understand the parameters of “Data” section, on the right side of this window the characteristic curve shape of each relay is sourced from its corresponding catalogue and the parameters are determined schematically. After entering this information, the differential characteristic curve of the intended relay is displayed in “Preview” section and in the box at the bottom, the start and end point information are mentioned according to “I bias” and “I diff”. Also, the slope of the line is displayed in “Slope” section. By clicking on “Draw” option, the settings are saved and the differential characteristic curve is drawn using the “Template” of the intended relay.

2- The second method to enter the characteristic curve is using the features available in “Characteristic Definition” window and it is necessary to enter the information of every line of the characteristic curve separately. First, the information of “I>” and “I>>” fields are entered. By entering the information of these two sections and closing the “Test Object” window, the differential characteristic curve is displayed in “Differential Characteristic” between the two entered numbers. After returning to “Characteristic Definition” tab in “Differential” block, first, all lines of the characteristic curve are removed by clicking on “Remove All” and then after entering the start point and end point coordinates of the first line of the relay curve in “New Start Point” and “New End Point” sections, “Add” option is selected. The slope of the line is calculated by the software in “Slope” field. Note that the slope of the differential line cannot be negative. Now the end point of the second line is entered and then “Add” option is selected so that the second line is added to the curve. Note that the end point of the second line is the same as the start point of the first line and this is why the “Start Point” section is disabled for the second line. By clicking on “Zoom All” option after entering the characteristic curve information, the curve is displayed completely in the box on the right side. In the box at the bottom of the page, the information of each section (line) of the characteristic curve is displayed separately. If you wish to remove a part of the characteristic curve, first, the part that you wish to remove is selected from the table and then “Cut from Here” option is selected. In the end by clicking on “OK”, the relay differential characteristic curve is displayed in “Differential Characteristic” window.
By checking the “Show Final Search” option, if you have performed a “Search Test”, the result of the last “Search” will be displayed in the differential characteristic curve shape. For example, if you draw a line on the characteristic curve and perform a “Search Test”, and after clearing, return to “Characteristic Definition” and check the “Show Final Search” option, you can see that the result of the last “Search Test” is displayed in the form of a green “+” (plus) sign on the curve. By completing the “Differential Characteristic” tab, the “Harmonic” tab is completed as well. In this tab, the information related to harmonic characteristic of the relay for “Differential Harmonic” or “Inrush Blocking” test is entered. This test is performed in “Diff.Harmonics” room so all parameters of this section are thoroughly explained in “Diff.Harmonics” room.


As mentioned previously, one of the windows in “Differential” room is “Test View”. This window consists of 7 tabs of “Shot Test”, “Check Test”, “Search Test”, “Stability”, “Setting”, “Trigger” and “Binary Output”. In “Shot Test” tab, you can select fault type and the points for the test and after the test is performed, you can view the results of the evaluation. In this tab, in “Test Point” section “Idiff” and “I bias” currents and in “Fault Type” section the fault type are determined. After specifying the test current, the fault type should be selected from among the standard faults available in “Fault Type” section. These faults include different faults of phase-to-earth, two-phase and three-phase. Before specifying the current and the fault type, you should determine “Supply Direction” in “Setting” section.


By clicking on “Add”, the selected test point is added to the table in this window. By selecting one of the rows and clicking on “Insert” option, the selected row is repeated in the table and by clicking on “Remove” option, the selected point is removed. Also, by selecting “Add to” option, it is possible to copy point or points selected for one of the “Fault Types” to another “Fault Type”. By clicking on “Remove All” option, all test points entered in the table will be removed. By clicking on “Sequence” option, “Sequence Test Points to” page opens where it is possible to specify test points with equal steps. In “Step” section and in “Step On” field, by selecting “Angle” it is possible to directly specify the angular steps in terms of angle.


This means that the test points are specified in accordance with the origin point and in “Origin” section, they are determined in a way that the required angles are resulted in proportion with the horizon. For example, if the start and end angles are “45” and “90” degrees respectively with “5” degrees steps and origin point for Idiff and I bias equal 5 times In, by approving this settings you can see that some points are added on the “Differential Characteristic”. For example, the last point is selected; by doing the mentioned calculation, in the picture you can see that the resulted angle is “85” and not “90” degrees which is because the “Origin” point is considered as one of the points and the last point of this “Sequence” is removed.

But by selecting “Direction”, an angle is specified in “Angle” field and in this angle from the “Origin” point, with the length entered in “Length” field and with the steps specified in “Step Size”, some points are shot on the characteristic curve. Note that the length and steps of the points are based on nominal current. For example, if the angle is “45” degrees and the length is “5” and the step is “0.5” times the nominal current and the origin point is “0” amp, by approving this settings you can see that some points are added to the characteristic curve at the angle of 45 degrees with the origin of “0” volt and “0” amp.


If the performed test has “Failed” points, by selecting “Clear All Failed Tests” option, it is possible to clear all these points from the table of this section. In “Detail” section, the information related to “Trip” nominal time, the allowed operation time range, actual time and test point evaluation are entered in “t nom”, “t min” and “t max” fields, “t act” and “Stage” fields respectively. The test points are entered with detail in the table at the bottom of the page. The details include test evaluation, test current, nominal time, operation time, fault value in terms of percent and seconds and the minimum and maximum operation time. Also, if you wish to add a comment about any of the test points, you can use the “User Comment” cell. At the end of this page, it is possible to select test points table from different “Fault Types”.


After performing the “Shot Test”, “Check Test” and “Search Test” are performed. In “Check Test” the upper and lower tolerances of the relay, which are displayed as dotted lines in “Differential Characteristic”, are tested and evaluated. To perform the “Check Test”, first it is necessary to draw some lines named “Check Line” in different parts of the vector. To draw this line, first from “Origin” section in “Check Line” section, the start point of this line is specified. In “Idiff”, “I bias”, and “Angle” fields, 2In, 3In and -30 degrees are entered as origin differential current, origin bias current and the angle of the check line respectively. Also, 1In is entered as the length of the check line in the cell of the “Length” section. Note that the drawn “Check Lines” must have at least one intersection with one of the characteristic curve tolerance lines. Then click on “Add” option to add the “Check Line” to the “Check Test” test lines table.

Another method for drawing the “Check Line” is to hold down left-click and “Ctrl” key on “Differential Characteristic” window and then move the cursor in the desired direction on the characteristic curve. You can see that the information of the drawn “Check Line” is displayed in “Check Test” lines table. After drawing the “Check Line”, the software evaluates the crossing place of “Check Line” and tolerance lines as “Shot” test in accordance with the performance of the relay. Here, after performing the test, the relay does not perform in lower tolerance and performs a trip in the upper tolerance so the result of the test is “Pass”. Other parts of this section such as “Fault Type” and “Remove All” and “Sequence” etc. options are the same at those of “Shot Test” section which have been explained in previous videos. The only additional option in this section is “Copy to Search”. By marking any of the test lines and selecting this option, it is possible to copy the selected line in “Search Test” and by selecting “Add” option in “Search Test”, add this line to the “Search Test” test lines table.
After performing “Shot Test” and “Check Test” in “Differential” room, it is necessary to perform “Search Test”. The purpose of this test is to find the characteristic curve line. To perform a “Search Test”, first some lines named search line should be drawn in different parts of the vector. The method for drawing these lines is the same as the one explained for check line. To draw this line, first the start point of this line is specified in “Search Line” section, “Origin” section. In “Idiff”, “I bias” and “Angle” fields, the origin differential current 2In, the origin bias current 3In and search line angle -30 degrees are entered respectively. The length of the check line 3In is entered in the cell of “Length” section. Then, click on “Add” option to add the check line to “Check Test” test lines table.


Another method for drawing the search line is to hold down left-click and “Ctrl” key on “Differential Characteristic” window and then move the cursor in the desired direction on the characteristic curve. You can see that the information of the drawn Search Line is displayed in “Search Test” lines table. After drawing the search line, the software evaluates the crossing place of search line and tolerance lines as “Shot” test in accordance with the performance of the relay. By performing the test, the software interpolates the characteristic curve by testing some points on the search line to find the exact location of the characteristic curve. “Ignore” field in “Search Interval” section is used when you wish to ignore the characteristic curve specified for the search line.
By entering a number in this section, some points are added on the “Search” line with the entered number as their distance. For example, by entering 0.4 in this field, you can see that there are points added on the “Search Line” with as much as 0.4 of distance. If the test is performed, the points added on the “Search Test” are tested one after the other so that the exact location of the relay is specified. This option is used when there is no characteristic curve for the test or the current characteristics seem to be wrong. If you want to do this for all drawn test lines, you can use the “Setting” tab in “Ignore Nominal Characteristic” section. To do so, by entering the value of “Search Interval” and selecting “Apply to all” option, you can apply this settings to all test lines and find the relay characteristic.
“Stability” test is performed in this tab. In “Stability” test, for zero “I diff” differential current, for every “I bias” the relay must not perform a trip. If you hold down the “Ctrl” key and click on the characteristic curve, you can see that the shot points are located at the bottom of the characteristic curve and on the zero differential current line. In fact, in “Shot Test” you can select different bias currents by zero differential current and perform a stability test. The other explanations for this page are the same as those for “Shot Test” tab and you can watch the video related to that section.

In this tab you can manage some of the settings related to performing the tests. In “Supply Direction” section, you can specify the injection and fault direction at the two sides of the protective device. By opening “Medium Detail View” window, you can see that on which side the fault point is located and by changing the “Supply Direction” type you can view that changes. Also, in this section it is possible to view the current amount, fault supplement direction etc. in “Fault Inception” section, the angle where the fault occurs is specified and the currents of the both sides are equally shifted. To better understand this, select “Signal View” from the toolbar and check “Voltage group A” from “Setting” and by changing the value of “Angle”, view the voltage and current signal changes. In differential test, if for any reason you wish to activate your voltages, you can use “Voltage Output”.


In “Time” section, first, the injection time before the fault is entered in “PreFault Time”. In “Max Fault Time” the maximum fault injection time is specified in two forms of “Abs” or “Rel” which consist of three parts themselves. About this time note that if in a “Shot” point the “Max Fault Time” is shorter than “Pick up” time, the result of the evaluation is wrong. If you are using the “Max Fault Time(Abs)” field, you need to enter a time in terms of seconds for the maximum fault signal injection time (for all of the points) but to accelerate the test, you can use the “Max Fault Time(Abs)” option.
By checking this option, three other options appear. By entering a number in “Add %of Tnom”, the fault signal injection time in any point, equals the test point nominal time plus a percentage of the nominal time entered in this field. This means that if the test point nominal time is 10 seconds and 5 percent is entered in this field, the maximum fault injection time is 105 percent of the test nominal time which is 10.5 seconds. But in “Add Absolute” field, the fault injection time equals the sum of the nominal time of the test point trip plus the time entered in this field. If all these three fields are filled, the software picks the longest time entered. For points that are located at the “No Trip” zone, it is possible to enter a separate time in “No-Trip Time” field.
In “Post Fault Time”, the injection time after the fault is entered. “Delay after Trigger”, is used to enter the CB trigger time. By right-clicking on the related field and selecting “Go to Linked Value”, you can see that it is linked to “CB Trip Time” and if necessary, you can replace it with your desired value by selecting “Remove Link”. In “Time Reference”, by selecting “Fault Inception”, the “Trip” time is calculated from when the fault is injected. But by selecting “Starting”, the “Trip” is calculated from when the “Pickup” contact is received from the relay. In “Load Current (PreFault Current)” you can specify the settings for the phase and current related to “PreFault”. In “Amplitude” section, by selecting “Based on Current” radio button, the “PreFault” current is entered in terms of Ampere which is the same for all test points. But by selecting “Based on IFault”, the “PreFault” current is entered according to the fault current which is different for every “Shot” point.
In “Search Setting” section, the settings related to “Search Test” are specified. As mentioned before, a “Search Test” arrives at a conclusion only if one of the three conditions of this section is met. The first condition is “Relative” which means that if the difference between the test point value and the previous point is less than the percentage specified in this field, this very point is the result of the test. The second condition is “Absolute” which means that if the difference between the test point and the previous point is less than the value specified in this field, this very point is the result of the test. The third condition is “Max point number” which means that the test is to be performed as many times as the number of points entered in this field at max and the last point is the result of the test. But if for any reason, the nominal characteristic determined for the relay is not available, you can use “Ignore Nominal Characteristic” section. By doing so, the software ignores the existing characteristic. Then, based on the step entered in “Search Interval”, it adds shots on the “Search” line. For example, a line is drawn in “Search Test” section. Then, 0.5 is entered as the value for “Search Interval” and “Apply to All” is selected. You can see that some points with the same step are added on the “Search” line. By running the test, you can see that the test starts from the lowest point and once one of the three mentioned conditions is met, the test arrives at a result. Also, if necessary, you can ignore this option by selecting “Disable all”.

By selecting “Shot Passed Only Act In Main Zone” in “Other Setting” section, the test is passed only if the relay performance time in the shot point is somewhere in the allowed range of the main zone. This means that if this option is checked and a shot is added in the tolerance zone of the bottom of the characteristic curve and the relay gives a trip, the test fails because after checking this option, the relay performance is accepted only if it is at the upper zone of the characteristic curve.
“Search Passed Only Act in Zone” is for “Search Test” and by checking this option, the “Search Test” is passed only if the relay trip is in the “Tripping” zone of the nominal characteristic curve of the relay. In “Passed Setting” section, by checking “Pass if Get Any Trip” option, regardless of the relay performance time, if the relay operates in the “Tripping” zone, the test passes.
In “Trigger” tab you can specify the desired binary to receive the “Pickup” and “Trip” signals of the relay as well as stopping the current injection. The settings and explanation of this section are exactly the same as mentioned for “Trigger” room and “Sequencer”. In “Binary Output” tab, if it is necessary for the relay to view the conditions of the circuit breaker, it is possible to take any needed voltage to the “Binary Input” through “Binary Output” of the device by voltages of “A”, “B” or “Aux Dc” groups. This tab has three modes "PreFault","Fault", "Post fault" and you can configure each section separately.
As mentioned before, one of the main windows of differential room is “Differential Characteristic”. This window shows the relay differential characteristic curve based on the settings entered in “Test Object” window. The top of the characteristic curve is called “Tripping” area while the bottom is called “Not trip” area. This means that if the test point is located at the top of the curve, the relay gives a trip otherwise it does not. This window has some shared and some unique features. The features available by right or left clicking on this window are common to all rooms and it is not necessary to explain them here but at the bottom of this window there is a gear by clicking on which some other useful options are displayed. By clicking on “Zoom during test”, if one or multiple “Search” lines are drawn on the characteristic curve, by running the test you can see that the software zooms on the areas where the test points are located and shows the found zone line.




If you select “Optimize All” option, by changing the “Fault type”, the characteristic curve display is “Optimized”. By using “Pan Mode” you can move the characteristic curve diagram as desired. By using “Show row number” you can view the row number of any test point or test line on the characteristic curve. By selecting “Show all zone”, test zones of all “Search” points are marked with a circle to find the characteristic curve line. By selecting “Show selected zone”, only the points of the line selected from “Search line” table are marked with a circle.
By clicking on “Show all t act point”, the operating time of the tested points is showed. Since maybe the points are close to each other and it is not possible to view the times clearly, you can use “Show selected t act point” option which shows the time of the row selected from the test points table. “Show all Id & Ib Act” and “Show selected t act point” options are used to show all tested “Search Test” points and the points related to the row selected from the “Search Test” table respectively. By selecting “Snap to grid” option, the points on the characteristic curve that are shot close to the grids snap to the grids of this page. By selecting “Snap to characteristic curve” option, the points on the characteristic curve that are “Shot” close to the characteristic curve grid snap to it.

“Show Other Point” option: by selecting this option in single-phase faults such as “L1-E”, in addition to the shot points, another point is displayed on the “Differential characteristic” window in the form of a delta which in fact is the indicator of differential and bias current of the two other phases. This option is used in cases where the single-phase fault characteristic curve is different from the phase-to-phase fault. The reason for this difference is that in some areas, the relay does not perform a trip because of the differential and bias current of the phase being tested (L1-E), but because of the differential and bias current of the two other phases. This means that if you have brought a general trip to the device to test single-phase fault such as “L1-E” and checked “NO COMBINED CHARACTERISSTIC” option, in some of the areas close to the characteristic curve the relay performs a trip for the “L1-E” fault but this trip is not the trip of the “L1” phase but it is related to current of the two other phases which can be also observed by using the characteristic of the delta point on the curve. If in same condition the “NO COMBINED CHARACTERISTIC” option is unchecked, you can see that this point is located at the “TRIPPING” zone.
According to the operation of differential relays, the differential of each phase is calculated separately, and based on the differential characteristic, the relay will either trip or not trip. In single-phase faults, you will notice that the differential and bias currents in the tested phase are twice those of the other two phases.

In such conditions, the relay essentially operates with two characteristics. The first
characteristic is the one set on the relay, and the second characteristic is obtained by
multiplying the Idiff and Ibias of the set characteristic by 2 (as shown in the table below).

In differential characteristics with two slopes, by plotting the two mentioned
characteristics, the resulting differential characteristics are obtained as shown:

To derive the practical characteristic from these two characteristics, for each Ibias, you
need to find the lowest Idiff value that causes the relay to operate, which typically refers
to lower differential currents and is obtained as shown:

The following explanation can help clarify this concept:
In single-phase fault types, in a section of the characteristic (the green region shown in the figure below), the test point in question falls in the NO trip region. However, if you check the differential and bias currents of the other two phases, you'll see that they are in the TRIP region, and the relay will trip.

With the mentioned modifications, the differential characteristic is adjusted accordingly. That is, changes are made so that in this part of the characteristic, the selected point falls within the Tripping region.
For relays that can filter out high differential currents in healthy phases, such as the ABB RET670, to deactivate the use of combined characteristics, select the "No combined characteristic" option in the Protection Device tab.

To explain this concept, consider a transformer with a vector group of YNd5.

In the transformer with the specified vector group, the secondary vectors relative to the primary are derived using the following equations.

Using these equations, the schematic of the winding connections and the direction of the currents on the secondary side can be drawn. For example, in the first step, the connection of the windings and the direction of currents for phase A' is shown as illustrated.

Finally, the connections will look as shown in the following diagram.

Given the figure above, the matrix of currents on the star side is as shown below.

The overall transfer matrix from the secondary side to the primary side is also as shown:

For YNd5, it is represented as shown below.

In the differential protection of a transformer with the given vector group and a 1:1 turn ratio, if an earth fault occurs outside the protective zone, the relay will operate. In the event of an earth fault outside the protection zone, the currents shown will be present on both sides:

According to the equation above, if a fault with current If occurs in phase C, the corresponding winding on the secondary side will have If/sqrt(3) flowing through it.

According to the differential protection convention, the currents entering the transformer are considered positive, and those leaving the transformer are negative. Therefore, the matrices shown will apply for the primary side and the transfer from secondary to primary.

The differential current of the above will be as shown below:

With these differential currents, the relay will trip. However, if the zero-sequence current from the YN side is eliminated, the primary side current will be as shown:


With the changes made, the differential currents will be as shown and will remain stable:

However, if the fault is inside the protection zone, the current seen by the CTs on the YN side will be zero:

Therefore, for an earth fault within the protective zone, the differential will be as shown below, and the relay will trip.

“Differential Harmonic” test or “Inrush Blocking” test is performed in “AMT Diff. Harmonics” room. This room opens by clicking on “AMT Diff Harmonics” option. At the moment of initiation, power transformer draws a great deal of inrush current named “Inrush”. If the transformer is not completely “Demagnetized”, and has some residue, it makes it to draw a great deal of inrush current which can damage the transformer. One of the ways for detecting this inrush current at the moment of transformer initiation is to compare the secondary harmonic current with the main harmonic.

“AMT Diff Harmonics” room consists of two main windows of “Test View” and “Harmonic Restraint View”. “Shot”, “Check” and “Search” test are performed in “Test View” window and in “Harmonic Restraint View” the harmonic differential characteristic curve is displayed. This diagram is based on a percentage of the harmonic current of the “n”th level and “Idiff”. Note that in this window it is possible to manage the settings up to 20th harmonic and inject it into the relay. In this room, three current outputs of the device are used to perform the injection into the relay because the transformer turns via, three phases.


As mentioned before, before testing the relay, its information must be entered in “Test Object” window. In “Device” block, information such as nominal characteristics of the relay, serial number, location of the relay and “CT” and “PT” characteristics of the relay are entered. This section has been thoroughly explained in previous videos. But the main block of this room is “Differential” by double-clicking on which “Differential Protection Parameters” window opens. This window consists of four tabs of “Protected Object”, “Protection Device”, “Characteristic Definition” and “Harmonic” where the differential relay settings is entered.

In this tab the information of the transformer on which the “Inrush Blocking” protection is done is entered. Frist, from “Protected Object” section, the “Transformer” option is selected. Other information of this tab such as the number of coils of the transformer, nominal voltage, nominal power, vector group characteristics and “CTs” characteristic should be entered at the two sides of the relay. This information is the same as that of the “AMT Differential” room and has been explained in previous videos.

After entering the transformer information, the information and differential relay characteristics are entered in “Protection Device” tab. This information includes determining the calculation formula of “I bias” or “I Restraint” current by the relay, determining the reference winding, specifying the maximum fault injection time and delay time after the “Trip”, entering the minimum and maximum differential current in the relay characteristic curve, entering the nominal relay operation time and specifying the current and time tolerances of the relay which are the same as “AMT Differential” room and have been thoroughly explained in previous videos.

In this tab the information related to the differential characteristic curve is entered. This section is similar to “AMT Differential” room which has been thoroughly explained in previous videos. However, in this room, it is not necessary to enter the differential characteristic curve because in this room only the harmonic characteristic is displayed and “Inrush Blocking” test is performed. This information is mentioned here so that the “Xrio” file is correctly “Loaded”.

The information related to the harmonic differential characteristic curve of the relay is of entered in this tab. In “Harmonic” field, the harmonic level is specified and it is possible to specify the information second to 20th harmonic and inject it by the device. Note that, “n/a” in front of any harmonic level means that the settings related to that harmonic is not specified. In “Ixf/Idiff” field, which is disabled, the proportion of the “nth” harmonic to the differential current is displayed. In “Tol. Relative” and “Tol. Absolute” fields, the relay tolerances are entered in terms of a percentage of the nominal value or as “Abs” respectively and the software picks the highest tolerance amount as the reference. Next, the differential characteristic curve is entered based on the relay parameters. 20 percent and 45 percent are set on the level 2 and level 5 harmonic current relays. First click on “Remove All” to remove all previous lines. Then, after entering the start point coordination in “New Start Point” section and then end point coordination in “New End Point” section in terms of “Idiff” and “Ixf/Idiff” click on “Add” to display the information of this line in the table at the bottom of the page and display the characteristic curve in the diagram at the right side. Note that it is also possible to edit the start and end points from the box at the bottom of the page. To enter the fifth harmonic information, select 5 in “Harmonic” field and enter the start point and end point coordinates in the table at the bottom of the page. Then click on “Ok” and close “Test Object”. You can see that the second harmonic differential characteristic curve is displayed by default.

As mentioned before, one of the windows of “AMT Diff Harmonic” room is “Test View”. This window consists of 6 tabs of “Shot Test”, “Check Test”, “Search Test”, “Setting”, “Trigger” and “Binary Output” where in addition to performing “Shot”, “Check” and “Search” tests, respectively, some other test settings are managed.

In this tab, first in “Harmonic Order” field in “Test Point” section, the harmonic level that you wish to test is entered. Meanwhile, you can see that its characteristic curve is displayed in “Harmonic Restraint View” window whose setting are entered in Test Object. Differential current and the proportion of the second harmonic current to the differential current are entered in terms of percentage in “Idiff” and “Ixf/Idiff” fields respectively. In “Angle (Ixf/Idiff)” field, it is possible to specify an angle for the harmonic current. In “Fault Type” section, the fault type is selected from among single-phase to earth and three-phase faults because the transformers are either single-phase or three-phase and only these modes are tested. In “Details” section, the nominal “Trip” time and the maximum and minimum allowed tolerances are displayed. After performing the test, the relay performance time is displayed in “t act” field. By selecting “Add” option, the information of this “Shot” is added to the “Shot Test” table along with its details. The details include test evaluation, differential and harmonic current, test angle, nominal time, performance time, fault value in terms of percentage and seconds and the minimum and maximum performance time. Also, if you wish to add a comment about any of the test points, you can use “User Comment” cell. Also, at the end of this page, it is possible to select test points table in different “Fault Types”.


By marking one of the rows and selecting “Insert” option, the marked row is repeated in the table and by selecting “Remove option, the marked point is removed. By selecting “Add to” option, it is possible to copy the point or points selected from one of the “Fault Types” to another “Fault Type”. By selecting “Remove All” option, all of the test points added to the table are removed. By clicking on “Sequence” option, “Sequence Test Points to” page opens where it is possible to create test points with the same steps. By selecting “Angle” in “Step On” field in “Step” section, the angular steps are directly added in terms of degrees.

This means that the test points are specified in accordance with the origin point and in “Origin” section in a way that the required angles are resulted in proportion with the horizon. For example, if the start and end angles are “45” and “90” degrees respectively with “5” degrees steps and 0.3 and 2 origin points for Idiff and I bias with 0 angle, by approving this settings you can see that some points are added on the “Harmonic Restraint View”. For example, the last point is selected; by doing the mentioned calculation, in the picture you can see that the resulted angle is “85” and not “90” degrees which is because the “Origin” point is considered as one of the points and the last point of this “Sequence” is removed.


But by selecting “Direction”, an angle is specified in “Angle” field and in this angle from the “Origin” point, with the length entered in “Length” field and with the steps specified in “Step Size”, some points are shot on the characteristic curve. Note that the length and steps of the points are based on nominal current. For example, if the angle is “45” degrees and the length is “2” and the step is “0.1” times the nominal current and the origin point current and the second harmonic are “0”, by approving this settings you can see that some points are added to the characteristic curve at the angle of 45 degrees with the origin of “0”. After removing all of the points by using “Remove All” option and adding three new “Shots” to the table, the test runs and the relay performance is analyzed. If the performed test has “Failed” points, by selecting “Clear All Failed Tests” option, the results of these points are “Cleared” from the table and you can test the point again by right-clicking on its row and selecting “Apply Test”.

After performing the “Shot Test”, “Check Test” and “Search Test” are performed. In “Check Test” the upper and lower tolerances of the relay, which are displayed as dotted lines in “Harmonic Restraint View”, are tested and evaluated. To perform the “Check Test”, first it is necessary to draw some lines named “Check Line” in different parts of the vector. To draw this line, first from “Origin” section in “Check Line” section, the start point of this line is specified. In “Idiff”, “Ixf/Idiff”, “Angle (Ixf/Idiff)” and “Angle” fields, 1In, 17 percent, 0 degree and 0 degree are entered as origin differential current, the proportion of the “nth” harmonic current to the differential current, the angle of the “nth” harmonic current and the angle of the “Check Line” respectively. Also, 5In is entered as the length of the check line in the cell of the “Length” section. In “Harmonic Order” field, the harmonic level is selected so that its curve is displayed. Note that the drawn “Check Lines” must have at least one intersection with one of the characteristic curve tolerance lines. Then click on “Add” option to add the “Check Line” to the “Check Test” line table.


Another method for drawing the “Check Line” is to hold down left-click and “Ctrl” key on “Harmonic Restraint View” window and then move the cursor in the desired direction on the characteristic curve. You can see that the information of the drawn “Check Line” is displayed in “Check Test” lines table. After drawing the “Check Line”, the software evaluates the crossing place of “Check Line” and tolerance lines as “Shot” test in accordance with the performance of the relay. Here, after performing the test, the relay does not perform in lower tolerance and performs a trip in the upper tolerance so the result of the test is “Pass”. Other parts of this section such as “Fault Type” and “Remove All” and “Sequence” etc. options are the same at those of “Shot Test” section which have been explained in previous videos. The only additional option in this section is “Copy to Search”. By marking any of the test lines and selecting this option, it is possible to copy the selected line in “Search Test” and by selecting “Add” option in “Search Test”, add this line to the “Search Test” test lines table.
After performing “Shot Test” and “Check Test” in “AMT Diff. Harmonics” room, it is necessary to perform “Search Test”. The purpose of this test is to find the characteristic curve line. To perform a “Search Test”, first some lines named “Search Line” should be drawn in different parts of the vector. The method for drawing these lines is the same as the one explained for “Check Line”. To draw this line, first the start point of this line is specified in “Search Line” section, “Origin” section. For example, in “Idiff”, “Ixf/Idiff”, “Angle (Ixf/Idiff)” and “Angle” fields, 1In, 17 percent, 0 degree and 0 degree are entered as origin differential current, the proportion of the “nth” harmonic current to the differential current, the angle of the “nth” harmonic current and the angle of the “Search Line” respectively. Also, 6In is entered as the length of the check line in the cell of the “Length” section. In “Harmonic Order” field, the harmonic level is selected so that its curve is displayed. Then click on “Add” option to add the “Search Line” to the “Search Test” test lines table. After drawing the “Search Line”, the software tests the intersection location of the “Search Line” and tolerance lines as “Shot” and evaluates them based on the relay performance. Upon running the test, by testing some points on the search line the software starts interpolating the characteristic curve and determines its exact location.

“Ignore” field in “Search Interval” section is used when you want the intended “Search” line to ignore the specified characteristic curve. By entering a number in this section, some points are added on the “Search” line with this number as the distance between them. For example, by specifying “2In” in this field, you can see that some points are added on the “Search Line” with “2In” distance from each other. By clicking on “Add” option, this “Search Line” is added to the “Search Test” lines table. If the test runs, the points added on the “Search Test” are tested one after the other until the exact location of the relay characteristic curve is determined. This option is used when there is no characteristic to test or the characteristic that you have seems wrong.
If you wish to do the same for all of the tested lines, you can use “Setting” tab in “Ignore Nominal Characteristic” section. To do this, by entering the value in “Search Interval” and selecting “Apply to All” option, you can apply this setting to all test lines and find the relay characteristic.

In this tab it is possible to manage some settings related to running the tests. In “Supply Direction” section, it is possible to determine the direction of injection and fault at the two sides of the protective device for the test. To better understand this, open “Vector View”; here you can see that if “Fault_Primary_Supply_Secondary” is selected, three primary currents of the transformer are displayed in “Vector View while by selecting “Fault_Secondary_Supply_Primary”, three secondary currents of the transformer are displayed. Note that for “Inrush Blocking” test, three primary currents need to be injected.

In “Fault Inception” section, the angle where the fault occurs is specified that this angle shiftes currents of the both sides equally. To better understand this, select “Signal View” from the toolbar and check “Voltage group A” from “Setting” and by changing the value of “Angle”, view the voltage and current signal changes. If for any reason you wish to enable the voltages, you can do so by checking “Enable Voltage Output” from “Voltage Output” section and then you can enter the value of the voltage in the intended field. In “Coefficient for Fault” section it is possible to specify a coefficient for fault current values. “For Single Phase Factor” and “For three Phase Factor” fields are the fault current coefficients for single-phase and three-phase faults. By changing the fault current coefficient, it is possible to view the changes in “Vector View”.

In “Time” section, first, the injection time before the fault is entered in “PreFault Time”. In “Max Fault Time” the maximum fault injection time is specified in two forms of “Abs” or “Rel” which consist of three parts themselves. About this time note that if in a “Shot” point the “Max Fault Time” is shorter than “Pick up” time, the result of the evaluation will be wrong. If you are using the “Max Fault Time (Abs)” field, you need to enter a time in terms of seconds for the maximum fault signal injection time (for all of the points) but to accelerate the test, you can use the “Max Fault Time (Rel)” option.
By checking this option, three other options appear. By entering a number in “Add %of Tnom”, the fault signal injection time in any point, equals the test point nominal time plus a percentage of the nominal time entered in this field. This means that if the test point nominal time is 10 seconds and 5 percent is entered in this field, the maximum fault injection time is 105 percent of the test nominal time which is 10.5 seconds. But in “Add Absolute” field, the fault injection time equals the sum of the nominal time of the test point trip plus the time entered in this field. If all these three fields are filled, the software picks the longest time entered. For points that are located at the “No Trip” zone, it is possible to enter a separate time in “No-Trip Time” field.
In "Post Fault time" the injection time is entered in the post-error mode. The "Delay After Trigger" field is used to calculate the key operation time. We can access it by right-clicking on the relevant field and selecting "Go To Linked Value“. There is a link to "CB Trip Time". Then, you can select "Remove Link" and enter the value you want instead. In "Time Reference" by selecting "Fault Inception", the "Trip" time is calculated from the time the error was injected. However, by selecting "Starting", the "Trip" time is calculated from the time the "Pick-up" contact is received from the relay. In the "Load Current (Prefault Current)" section you can make the phase and current settings related to "Prefault". In the "Amplitude" section the current range in "Prefault" mode is entered according to the coefficient of the rated current and in the "Phase" section, the current angle is set to "Prefault" mode.

In “Search Setting” section, related to “Search Test” are specified. As mentioned before, a “Search Test” arrives at a conclusion only if one of the three conditions of this section is met. The first condition is “Relative” which means that if the difference between the test point value and the previous point is less than the percentage specified in this field, this very point is the result of the test. The second condition is “Absolute” which means that if the difference between the test point and the previous point is less than the value specified in this field, this very point is the result of the test. The third condition is “Max point number” which means that the test is to be performed as many times as the number of points entered in this field at maximum and the last point is the result of the test. But if for any reason, the relay nominal characteristic is not available, you can use “Ignore Nominal Characteristic” section. By doing so, the software ignores the existing characteristic. Then, based on the step entered in “Search Interval”, it adds shots on the “Search” line. For example, a line is drawn in “Search Test” section. Then, 0.5 is entered as the value for “Search Interval” and “Apply to all” is selected. You can see that some points with the same step are added on the “Search” line. By running the test, you can see that the test starts from the lowest point and once one of the three mentioned conditions is met, the test arrives at a result. Also, if necessary, you can ignore this option by selecting “Disable all”.

By selecting “Shot Passed Only Act In Main Zone” in “Other Setting” section, the test is passed only if the relay performance time in the shot point is somewhere in the allowed range of the main zone. This means that if this option is checked and a shot is added in the tolerance zone of the bottom of the characteristic curve and the relay does not give a trip, the test passes but if the relay gives a “Trip” the test fails. If the “Shot Passed Only Act In Main Zone” option is not checked, the performance time is between “20” milliseconds and “No Trip” and if the relay gives a “Trip” this point passes.
By selecting the "Test Passed Only Act In Main Zone" option, the "Shot", "Check" and "Search" tests will "Pass", only after the relay operation time is defined only in the allowed range; for example if the relay operation rated time is "0" to "30" milliseconds and between the operating zone and "No Trip" a point in the tolerance zone is selected, if „Test Passed Only Act In Main“ option is checked, that time test will „pass“ which relay function is set in one of each ranges. Therefore, If the relay time is, for example, "40" milliseconds, the test result will be "Fail". If this option is not checked, the test result will be "Pass". In the "Passed Setting" section, by checking "Pass If You Get Any Trip", regardless of the time of operation of the relay, if the relay works in the "Tripping" area, the test will "Pass" test.
In “Trigger” tab you can specify the desired binary to receive the “Pick up” and “Trip” signals of the relay as well as stopping the current injection. The settings and explanation of this section are exactly the same as mentioned for “Trigger” room and “Sequencer”. In “Binary Output” tab, if it is necessary for the relay to view the conditions of the circuit breaker, it is possible to take any needed voltage to the “Binary Input” through “Binary Output” of the device by voltages of “A”, “B” or “Aux Dc” groups. This tab has three modes of “Prefault”, “Fault” and “Post Fault” and it is possible to manage each of them separately.


As mentioned before, one of the main windows of diff Harmonics room is “Harmonic Restraint View”. This window shows the relay harmonic characteristic curve based on the settings entered in “Test Object” window. The top of the characteristic curve is called “Tripping” area while the bottom is called “No trip” area. This means that if the test point is located at the top of the curve, the relay gives a trip otherwise it does not. This window has some shared and some unique features. The feature available by right or left clicking on this window are common to all rooms and it is not necessary to explain them here but at the bottom of this window there is a gear by clicking on which some other useful options are displayed. By clicking on “Zoom during test”, if one or multiple “Shot” or “Search” lines are drawn on the characteristic curve, by running the test you can see that the software zooms on the areas where the test points are located and shows the found zone line.


If you select “Optimize All(Change Fault Type)” option, by changing the “Fault type”, the characteristic curve display is “Optimized”. By using “Pan Mode(alt+mouse+click)” you can move the characteristic curve diagram as desired. By using “Show row number” you can view the row number of any test point or test line on the characteristic curve. By selecting “Show zones(All Search Lines)”, test zones of all “Search” are marked with a circle to find the characteristic curve line. By selecting “Show zones(Selected Search Line)”, only the points of the line selected from “Search line” table are marked with a circle.
By clicking on “Show all t act point”, the operation time of the tested points is showed. If the points are close to each other and it is not possible to view the times clearly, you can use “Show selected t act point” option which shows the time of the row selected from the test points table. “Show all Id & Ih Act” and “Show selected Id & Ih Act point” options are used to show all tested “Search Test” and the points related to the row selected from the “Search Test” table respectively. By selecting “Snap to grid” option, the points on the characteristic curve that are shot close to the grids snap to the grids of this page. By selecting “Snap to Line” option, the points on the characteristic curve that are “Shot” close to the characteristic curve grid snap to it.

To test Energy Meters, AMT Transducer & Meter room can be used. On “Start” page, the “AMT Transducer & Meter” room software is opened. This room is comprised of the two main windows of “Test View” and “Transducer Characteristic”; in “Test View” window, it is possible to perform a “Shot Test” for various quantities and compare the results with the meter characteristic.


To begin the test, after completing the information in “Device” in “General Test Object” window, double click on “Transducer” option. On “Transducer Properties” page, it is possible to view a set of functions. To test the meter, two functions of “Wh” and “Varh” are used; here, “Wh” is selected. By selecting “Injection” option in “Input” section, it is possible to perform the “Offload” test of the meter by injection from the device. The other option is “Read from Binary” which is used to perform an “On Load” test of the meter. By selecting this option, it is necessary to enter the values into the inputs of the device using the clamps and interface cables.



In “Output” section, it is possible to specify the type of the output received from the meter. To test transducers and their corresponding outputs, by selecting “Current” or “Voltage” options, it is possible to take the output current and voltage values to the inputs 9 and 10 for measurement. To test the meter, if only the output values are being displayed on the screen, “Open Loop” option can be used. Here, “Pulse” option is used so that using the light sensor which comes with the device, the number of the output pulses of the meter is recorded.


In „CT Star point Connection“ section, the connection related to the current transformers are specified. Usually and since the active power flows from the busbar toward the line, "Toward Line” option is selected. Selecting “Toward Line” is in accordance with the injection of the active power from the device to the equipment. If “Toward Busbar” is selected, 180 degrees are added to the angle of the current.

In “Full Scale Error Reference” section it is possible to specify the error recording reference which can be selected from a range of zero to the maximum or negative to the positive maximum. If the characteristic is asymmetrical the range is from zero to the maximum while if the characteristic is symmetrical, it is possible to select both options for error measurement. As for error measurement, suppose that for a transducer with a characteristic with the maximum input of 1 amp and output of 33 milliamperes, for a 0/5 amp current, the output of the transducer equals 16 milliamperes. In such a case, the error percentage is calculated as follows.


This means that ideally, for a 480 milliamperes input, the output equals 16 milliamperes. Therefore, the absolute error value equals 20 milliamperes and the error percentage equals -4 percent:

Also, the “Full-Scale” error value of the transducer equals -2 percent.

This method is used for cases where “Full Scale Error Reference” is set at “0…+max”. If the characteristic is “Symmetrical”, the error calculation method should be selected from among “0..+max” and “-max…+max”. For the previous example, if the characteristic was symmetrical and “-max..+max” was selected, the following relation is used for “Full Scale Error” calculation.

In "Tolerance” section, it is possible to enter the error value as an absolute or a relative value; the default values are 1 milli pulse and 0/25 percent. Finally, a comparison is made between these two values and the larger value is selected as the allowed error value. In “Number of phases” section, it is possible to specify whether the meter is single-phase or three-phase.


The test characteristic is specified in "Characteristic Definition” section. Since the meter characteristic is linear, “Linear” option is selected as the “Characteristic Type” and it is uneditable.

To specify the energy “Import” and “Export” values, it is possible to check the “Symmetrical” option so that there is a Symmetrical characteristic in both sides available. The “Minimum Value”, “Knee Point” and “Saturation range” fields are disabled for meter test but in “Maximum Value” section, it is possible to enter the amount of power and the number of pulses received in exchange for that amount of power. Usually, the meter factor or “c/r” is entered in this section. For example, the factor for a edmi mk6e meter equals 5000 Wh per pulse.


Note that by using “Primary” and “Secondary” options at the top of the screen, it is possible to enter the values as primary or secondary in accordance with the meter type which needs to be done considering the CT and PT conversion ratios.

"Relative” and “Absolute” options are used for displaying the absolute or relative amount of the values. After entering the values, “Ok” is selected to continue with the test.
After completing the information in "Transducer Properties” section, the “Hardware Configuration” settings need to be examined. By opening this window, you can see that the current and voltage outputs are set by default.

In "Binary/Analog Input” tab, you see that the Binary number 8 is selected to record the pulses of the meter by default. However, it is possible for the user to use any other binary if necessary. By clicking on “Ok”, the applied changes are saved.

To perform a test, a point on the characteristic must be selected which can be done using two methods:
1- Entering the values in the fields of “Test Point” section which means entering the related parameters including Wh value, number of pulses, test performance time and frequency. Then, by selecting “Add”, this point is added to the test table.

2- Holding down the “CTRL” key and then clicking on the meter characteristic curve.


On “Test View” page, by clicking on “Advanced
View”, a page opens where it is possible to enter the voltage, current and
their angle as well as the



After adding the intended points, the test can be started and after the time specified in accordance with the pulses and Wh elapsed, the results are displayed.
In performing this test, some points must be considered:
1- If a test point is specified in Wh mode, zero is entered as the value for reactive power by default and to change this, first the current angle needs to be changed from “Angle” field.


2- The time entered in “Time” field by the user changes in accordance with the characteristic curve of the meter. This change is in a way that the number of pulses changes to integer.

3- Being “Out of Range” for the points in this test depends on the required time for performing the test. Since the maximum injection time of the device is 4000 seconds, if a test point needs more time for the test, that point becomes “Out of Range”; to change the state of this point, more voltage or current can be entered in “Advanced View” section.

4- If a too large value is entered in “Wh” field, this value is recorded as “na” and by selecting “Add”, this point becomes “Out of Range”.

In addition to the tests that the user can perform by specifying different points on the energy meter characteristic, in the offload section, 5 other tests available in this section are as follows:
-Load Test
-Mechanism Test
-Injection Test
-No-Load Test
-Creep Test
As mentioned in the first part, before performing any of the tests, we enter the information about the energy meter in the Test Object section. First, enter the CT and PT conversion ratio data, and then, in the Transducer Properties section, enter the meter constant. After confirming the entered information, select the test from the Test Mode to be performed and after adding the points, run the test.
Load Test
In this section, the voltage injection and current for a specific time is set to evaluate the number of pulses. Finally, the overall energy performance of the meter can be checked. The purpose of this test is to evaluate the error rate for measuring different elements in the meter.
To execute the test, first go to the Advanced View section, here we need to adjust the active power in the supported range of energy meter. Then, we add three points with 5, 10, 15 pulses to run the test, and we run the test. As you can see in the Test Point section, information about watt-hour, pulses, test duration and time and its frequency can be set.
Mechanism Test
In this section, the injection of rated current and rated voltage is done for a certain period of time to evaluate the amount of transmission energy. The purpose of this test, in addition to evaluating the error rate in the overall measurement, is to evaluate the error rate of the device in measuring various elements. Since the number of pulses is not important, points can be entered for testing based on watt-hour and time elements. The evaluation conditions of this test are based on the use of the Open Loop feature so that at the end of the test, the user can enter the measured value manually.
Injection test
In this test, voltage and current are continuously injected to ensure the accuracy of the wiring as well as the initial function of the meter. Adjustable elements in the Test Point section for this test are: watt-hour, pulses, test duration and time, and frequency. To perform the test, add a dot and run the test.
No-Load Test
The focus of this test is injecting 150% of the rated voltage and zero current; to check the performance or non-performance of the meter. The relationship between the minimum test duration is specified as follows:

In this test, to achieve 150% of the rated voltage, the voltage limit should be changed from the Test Object section, if necessary. Then, the test should be performed by setting the voltage to 150% of the rated voltage. As you can see, there is no current injection in this section.
Creep Test
Injecting 0.5% of the rated current with the rated voltage is performed in this section to check the performance or non-performance of the meter. In this section, you can also add points to perform the test based on the amount of watt-hour, pulse or duration. After each test, you can view the results in the Report window by selecting the Report View option.
An introduction to Edmi Mk63 meter
About “Edmi Mk63” that is the piece of equipment that we are going to test, this should be noted that this meter is basically an energy meter that measures varh, Wh and Vah basic values. Also, it is possible to measure a wide range of values instantaneously. In the picture of the cover of this meter depicted below, terminal blocks for measuring the current and voltage as well as the connectors for the pulse input and output (optionally) can be seen.


Possible diagrams for meter terminals

The position of “Config” jumper in “MK6E” meter is displayed in this picture. This jumper is located on the right edge near the “Select” button. This jumper has two states of “Config” and “Secure”. To change the settings, the plastic jumper is taken out and placed on another set of pins. Connecting the upper and center pins puts the jumper in the “Secure” state while connecting the lower and center pins puts it in the “Config” state.

All current meters have “CT” to “VT” links between “TB1” terminals and ends number 1,2,4,5,8,9,12 and 13. Also, there is a static link between 12 and 14. To perform some tests, it is necessary for these links to be removed.

Position of CT to VT links

Power supply, voltage and current wiring in 3-wire and 4-wire structures
The voltage nominal input differs in accordance with the type of the meter. Also, the current range is in accordance with the meter current range and should be limited to “Imax”. In 4-wire mode, the maximum line-to-neutral and the maximum line-to-line voltages are 290 and 500 volts, respectively. In 3-wire mode, the maximum line-to-line voltage equals 290 volts. In higher voltages, the meter cannot function appropriately and might get damaged.
“TB1-1” and “TB1-11” are the two inputs considered for the side power supply voltage. “TB1-11” needs to be considered as the negative input in DC systems and as neutral in AC systems. The voltage input of the side power supply equals 110 VAC/VDC plus-minus 20 percent. Generally, it is possible to consider the following four combinations for the power supply:
• Type I – VT power supply: used for most metering applications, especially in Low Voltage sites where when all the VTs are disconnected, the meter turns off. • Type II – LCD 24 volts side power supply with the local power supply: used in cases where it is necessary to read the meter even if the main power supply is not available. In such cases, a 24-volt battery power supply will be used to read the meter.• Type III – side power supply: for switchyard uses where the meter needs to be always on and there is enough space for the side power supply of the system. If for any reason, this side power supply is disconnected, the meter turns off.
• VT Priority – along with the High Voltage auxiliary power supply with 200 to 240 volts range: in this state, naturally, the meter receives the necessary power from the VT circuits. When all of the VTs are disconnected, the changeover board activates and auxiliary terminals are used. • VT Priority – along with the Low Voltage auxiliary power supply with 57 to 120 volts range: in this state, naturally, the meter receives the necessary power from the VT circuits. When all of the VTs are disconnected, the changeover board activates and auxiliary terminals are used.This structure is most useful in cases where the VT burden is not problematic but the power supply is always available for protective systems.
Default display screen

"The structure of the digits and symbols displayed on the screen from the top left are as follows: The two first characters of the first row of the screen stand for the direction of the var and var, respectively. “+” sign refers to positive energy / output / delivered and “-“ sign refers to negative energy / input / received. If the slot for these characters is empty, it means that the amount of energy equals zero.
The third character that resembles a beating heart indicates that the meter is active and the display screen is up to date. The fourth, fifth, and sixth characters show the active rate for W, var and VA values, respectively, in form of numbers from 1 to 8. The seventh character indicates the state of the battery and means that that the battery is empty or unrecognized when turning on.
If the Daylight Saving feature that refers to the daylight saving time is active, the letter D is displayed as the eighth character. The current time is displayed on the right side of the screen. The initial three characters at the bottom of the screen show the alarm status. The fifth, sixth and seventh characters at the bottom of the screen show the login state. L means login through the optical port (Local), M means through the modem port and S means login through SCAD port. In the end, we can see the current date on the right side of the bottom.

Power direction graph
In the above figure:
Refers to voltage impedance angle in relation to the current and
equals current admittance angle in relation to the voltage.
Pulse outputs:The pulse outputs are capable of doing more than only showing the power usage. MK6E has a maximum number of 6 outputs that are directly located inside the meter.
At the bottom of the LCD, there are two LEDs located on the meter that are used to assess the pulses produced in the accuracy test. These LEDs are connected to outputs number 1 and 2. The state of these LEDs is directly reflected on the TB3 outputs. The picture below indicates the state of EDMI MK6E terminals. In fact, TB5, TB4, TB3 and TB6 are the terminals in which the outputs are located. All of the outputs are voltageless contacts. These outputs are completely isolated from the other circuits and in some cases, have common terminals. BOSFET drivers are set at 110 nominal volts.



An important point is that for Active and Inactive times, the exact time is one percent shorter than the specified value. This amount will be even shorter if the system frequency is more than the nominal value. Therefore, the output will be lower as much as the same amount. Under normal conditions, these factors will not have any noticeable effect on the length of the pulse. It should be noted that this will only change the pulse time duration and the minimum off-time of the LED but not the rate of the pulse.
If during inactive times, the rate of the pulse is zero or less than zero, the output will remain active. If the rate of the pulse decreases, the pulses will be recognizable one more time. If this time is too short, the pulses will not be backed up and will merge into one another. Therefore, to avoid missing the pulses in high load conditions, selecting the appropriate parameter is of great importance.
Using the LED output to test the accuracy of the delivered Wh is a necessity. A 0.01 Wh/p pulse rate will be needed in the meter terminals. The light pulse must be 90ms long with a minimum interval of 50ms between the pulses so that the sensor can appropriately recognize the current process.
The settings and combinations required for the test are as follows: No Inversion, 90ms active time, 50ms inactive time, parameter 0.01, All channels, W, Export (+)
It should be noted that the EziView software has a built-in calculator for connecting to this meter that can help the user in adjusting the parameters for the pulse output. This tool can be used by clicking on the calculator when configuring the output in form of Pulsing. This calculator enables the user to specify the system characteristic (line-to-line voltage or line-to-neutral voltage, current and the amount of load) and determine the pulse output rate.

Using the pulse outputs for the test: The easiest way to test the accuracy of the meter is to use the LED pulse (or output pulse). This test is similar to performing a test for meters with spinning disc. Pulse outputs are configured using the EzView software. To achieve the best results, the pulse rate must never exceed 10 pulses per second. Also, the test must be at least 10 seconds long.
Testing the meter and the software settings: To test “Energy Meters” or meters in online mode or under load, “AMR Transducer & Meter” room can be used. As mentioned before, this room is composed of “Test View” and “Transducer Characteristic” main windows. Since the function of each of these options has been explained before, repeating them does not seem necessary.
To begin the test, the user needs to double click on “Transducer” option after completing the information in “Device”, in “General Test Object” window. There is a set of “Functions” available on “Transducer Properties” page. To test a meter, two functions of “Wh (watt-hour)” and “Varh (var-hour)” can be used and here “Wh” is selected. To perform an “Onload” test, the user needs to select the “Read from Binary” option in “Input” section. By selecting this option, the values are entered into the “Inputs” of the device using the clamps and interface cables.
The output type of the meter can be specified in the “Output” section. To test the meter, if only the output values of the meter are being displayed on the screen, the “Open Loop” option can be used. Here the “Pulse” option is used so that by using the light sensor that comes with the device, the number of output pulses of the device is recorded. The connection related to the current transformers needs to be specified in “CT Star point connection” section. Since normally the active power flows from the busbar toward the line, “Toward Line” option is selected. In “Tolerance” section, it is possible to enter the fault value in two forms of absolute and relative and the default values are 1 millipulse and 0/25 percent.
Also, in „Number of phases“ section, it is possible to select from among single-phase or three-phase in accordance with the meter type. The test characteristic is specified in „Characteristic Definition“ section. Since the meter characterisic is linear, the „Characteristic Type“ is set at „Linear“ and cannot be changed.
“Saturation Range”, “Knee Point” and “Minimum Value” fields are deactivated for the meter test but in “Maximum Value” section, it is possible to specify the amount of power and the number of pulses received in return. Usually, the meter factor or “c/r” value is entered in this section. For example, the factor for an edmi mk6e meter equals 5000 watt-hour per pulse.
After completing the informatioin in „Transducer Properties“ section, the settings in „Hardware Configuration“ need to be examined. By opening this window, the user can see that the current and voltage outputs are configured by default. Also, in „Binary/Analog Input“ tab, the user can see that binary number 8 is selected to record the meter pulses by default. However, it is possible to use a custom „Binary“ of the device as well.
" The only difference between onload and offload tests of the meter is that the inputs need to be prepared to record the values measured using the measurement equipment (clamps). To do this, the user only needs to click on “Test Hardware Configuration” option in the “Binary Input Calibration” section and assign the available binaries to record the values of current and voltage in accordance with the meter characteristic or that it is either single-phase or three-phase. By default, binaries number 2, 1, and 3 are assigned to record the voltage while binaries number 5, 6, and 7 are assigned to record the current values measuring using the clamp.
Using the “Sum”, “Mul”, and “Deg” parameters, it is possible to edit the measured values in different conditions in accordance with the measurement equipment being used. For example, if a clamp shows 1 volt in the output in return for 10 amps, by measuring a 15 amps current, our binary will receive 1.5 volt. Therefore, by entering factor “10” in “Mul” section, this value can be edited. As another example, if our clamp has a 0.5 degree phase measurement error, this item can be edited through “Deg” section. In “Sum” section it is possible to perform a “DC” shift that is not of use in this test.
By selecting the option in “Analog Output” section in “Test Hardware Configuration” window and entering the values of current and voltage, it is possible to calibrate the binary inputs. To perform the test, the user only needs to specify the inputs of the intended binary and then, begin the process of measuring the elements of current and voltage to compare with the meter characteristic. It should be noted that in “Online Values” section, the power, voltage, current and other elements related to the meter are displayed and updated instantly.
To perform a transducer test, AMT Transducer & Meter room can be used. This room consists of two main windows of “Test View” and “Transducer Characteristic”. In this section, it is possible to test single-phase and three-phase transducers with symmetric performance characteristics (such as active and reactive power characteristics) or asymmetrical ones.
To begin the test, the user needs to double-click on „Transducer“ option after completeing the data in „Device“ section in „General Test Object“ window.
On “Transducer Properties” page, it is possible to view a set of “Functions”. For a transducer test, the user can select from among functions such as active power, reactive power, apparent power, frequency, current, voltage, power factor, load factor, phase (in degrees), mean current, DC current, DC voltage, DC power and line to line voltage. Some of these parameters can be measured in single-phase state, some in three-phase state while some can be measured in both states. In accordance with the transducer type and its manufacturer company, this equipment can have different inputs and even in some cases, several inputs simultaneously. Finally, these inputs will be converted into analog signals. On the other side, the transducers can also have binary outputs which are activated as soon as the specified characteristic goes past a certain limit. In some other cases, it is possible to use the output binary signals as a counter that produces a pulse based on the measured energy.
The type of output received from the transducer is specified in “Output” section. To test transducers and in accordance with their output, it is possible to take their output current and DC voltage to the inputs of the device for measurement by selecting “Current” or “Voltage” option. Otherwise, “Pulse” option can be selected so that the number of pulses are recorded. “Open Loop” option makes it possible to record the values in transducers that only display the output on the screen that is located in front of the user. So a window asking the user to enter the values manually appears.
The connection related to the current transformers is specified in “CT Starpoint Connection” section. since normally active power flows from the busbar toward the line, “Toward Line” option is selected. Selecting “Toward Line” is in accordance with the injection of active power from the device into the equipment. If “Toward Busbar” is selected, 180 degrees are added to the current angle.

Connection of a sample transducer to CT and PT
In “Full scale error reference” section, it is possible to specify the reference for recording the error which is specified as a range from zero to maximum or from negative to positive maximum. If the characteristic is asymmetrical, the range is from zero to maximum and if it is symmetric, both options can be selected for error calculation. Before this, in the video related to offload test of the meter a complete explanation about error calculation has been provided.
In “Tolerance” section, the error value can be entered in form of an absolute or a relative value and the default values are 1 millipulse and 0/25 percent. In the end, a comparison is made between these two values and the greater value is selected as the allowed error value.
About transducers, before anything, the accuracy class for different characteristics of power, current, voltage to frequency must be specified. This factor is obtained using the calculations and relations that are available in the manual of the transducer.
In „Number of phases“ section, it is specified whether the transducer is single-phase or three-phase.
The test characteristic is specified in „Characteristic Definition“ section. Since the transducer characteristic can be either linear or non-linear, symmetric and asymmetric options are available for „Characteristic Type“. Moreover, it is possible to select the appropriate option in accordance with the features of the transducer from „Linear“, „Compound“, and „Quadratic“.
To specify energy “Import” and “Export” values, “Symmetrical” option can be checked so that a different characteristic from both sides is available. The minimum value for the input and output of the transducer is specified in “Minimum Value” field. If the compound performance characteristic option is selected, Knee Point needs to be specified as well. In fact, this point divides the characteristic into two parts with different ranges. The maximum value for the input and output of the transducer is specified in “Maximum Value” field. Also, the range of the performance characteristic is specified in “Saturation Range” field.
It should be noted that by using „Primary“ and „Secondary“ options at the top of the page, it is possible to enter the values in form of primary or secondary in accordance with the type of the meter which should be done considering the CT and PT turns ratio. „Relative“ and „Absolute“ options are used to display the relative or absolute value of the elements. After entering the values, „OK“ is selected to continue with the test.
"After completing the information in “Transducer Properties” section, “Hardware Configuration” needs to be examined. By opening this window, the user can see that the current and voltage outputs are adjusted by default. Also, in “Binary/Analog Input” tab it can be seen that binary #9 is considered for measuring the output milliampere by default. However, if necessary, it is possible to use any other binaries of the device. After applying the changes, by clicking on “Ok”, the changes are saved. To perform the test, the user only needs to specify the intended binary inputs and then begin the process of measuring the voltage and current elements in order to compare them with the transducer characteristic.
Here we are going to perform the sample test on a transducer. The transducer is of the S3-WRD series which is a sample for reactive/active power measurement or watt/var. This transducer has a 0.2 percent accuracy for the output rate. The S3-WRD series is available in three different models of S3-WRD-1, S3-WRD-3 and S3-WRD-3A. Their difference is in how they are used in single-phase and three-phase systems as well as three-wire and four-wire systems..
Also, it is possible to use these transducers with 1 and 5 amps input currents as well as a vast variety of voltage inputs. The model we are analyzing is S3-WRD-3 and a picture of its wiring can be seen in the following.

For example, for a 230 watt (var) output, this transducer gives a 4 milliampere output with 1 amp of input current and 132 volts of input voltage. If the output power is zero we will have 12 milliamperes and if it is 230 watts, we will have 20 milliamperes in the output. Considering these values and the linear characteristic of the transducer, it is time to test this equipment.
In the first step, by running the AMPro software, we enter the AMT Transducer & Meter environment. Before anything, by clicking on “Test Object Parameters”, the information related to the transducer is entered in “Device” section. This information includes the title/explanation for the transducer, the manufacturer company, type of the device, installation location of the equipment and the serial number. In “Nominal Values” section, values related to CT secondary and PT are entered in accordance with how the test is performed.
Now, after accepting these items, by double-clicking on “Transducer”, the user enters the “Transducer Properties” window. By selecting the intended function which here is active power, the output is set at Current. By enabling the “Symmetrical” option, it is made possible to also evaluate the negative values.
In “Minimum Value” section, 230 watts is entered as the input value and its corresponding output which equals 4 milliamperes is entered. In “Maximum Value” section, 230 watts is entered in secondary form as the value and the corresponding current for this output is specified to be 20 milliamperes.
After accepting these, it is time to add the points on the characteristic and perform the test. A simple approach is to click on “Sequence” and specify the upper and lower limits of power and the number of test points so that the points are added in certain distances. By performing the test, it can be observed that the output values are recorded in accordance with the applied input.
By enabling the display of Actual Value for binary #9, it is possible to view the waveform of the measured values in “Signal View” window in the software.After the test is finished, the intended elements are selected and the report is prepared.
In meter testing, an optical pulse sensor can be used to count the meter’s active and reactive pulses.As shown in the video, remove the sensor’s cover and place it in front of the meter’s LED.Then, connect the two wires on the other end of the sensor to the corresponding "Binary Input" so that the meter’spulses can be counted by the binary input.
To test synchronizer relays, “AMT-Synchronizer” room can be used. The synchronizer is a piece of equipment that is used to connect the generator to the grid that is being used and uses the voltage of both sides to examine the state of frequency and voltage and if the difference between the generator voltage range and frequency, and the grid is less than the specified limit, the connect command is issued. If the mentioned difference is more than the specified limit, the relay will not issue the command for the connection. In this case, the relay examines the generator frequency and voltage state compared to the grid. If any of these two parameters is lower or higher than the specified limit, the relay synchs the two systems by giving the command for an increase or decrease in the “AVR” and the governor.
The synchronizer room has several pages and exclusive windows. The two main windows of this room are “Test View” and “Synchronizer Characteristic”. The “Shot Test” and “Synchronizer” tests are done in the “Test View” window. To perform a “Shot test” in this room, like the other rooms, the user only needs to specify a test point and perform the test. Also, the performance of the relay in synchronizing the two systems is tested in the “Synchronizer” tab. The synchronizer characteristic is displayed in the “Synchronizer Characteristic” in accordance with the information entered in the “Test Object” of this room. The tools available by right-clicking or left-clicking in this window and the cog at the bottom are common in all rooms.
To enter the relay information for the test, the first thing is to enter the nominal information of the relay in “Device”. In this section, it is necessary to enter characteristics such as “PT” turns ratio and frequency. In the next step, the relay characteristics are entered after double-clicking on “Synchronizer”. Since these relays use voltage, in “Protection Device” tab, it is necessary to select the sequence of phases and the phases that are connected to the relay in “Rotation sense” and “Connected Voltages” for systems 1 and 2. Note that system number one is an infinite bus and system number two is a generator that needs to be connected to the grid. An important point is that when the system phases are wired as ACB, it is necessary to select L1-L3-L2 radiobutton. Also, if “Connected Voltage” on any of the phase-to-ground states is selected, the voltages of systems one and two are displayed in “Test View” in form of phase-to-ground.
The key performance time is entered in the “Setting” section of this part and in the “CB Closing time” field and the phase shift that can come from intermediate equipment or a coupling transformer is specified in the “Transformer Group Phase Shift”. The nominal voltage of the system number two is entered in “VNom L-L(Secondary)” field and if this value is different from that of system number one, it needs to be specified. By specifying this value, the voltage difference that is resulted from the test will be in relation to nominal voltage of system number two and not the voltage of system number one. This means that if the nominal voltage of system number one is 110 volts and the nominal voltage of system number two is 100 volts and the allowed difference of these systems is specified to be 2 volts, the minimum and maximum voltage of system number two must be 98 and 102 volts, respectively. When the PT secondary turns ratio of the grid and the generator are the same, “Use Ratio of System 1” is to be used. For example, if the PT turns ratio of the grid is 400KV/110V and the turns ratio of the generator is 15.75KV/100V, since the secondary turns ratio of the two systems is not the same, the user needs to enter the PT secondary voltage of the generator or system number two in the “VNom L-L(Secondary)” field.
The characteristic related to the relay is entered in “Synchronizing Window”. The characteristic entered in this section needs to be in accordance with the relay settings. The upper and lower limits of voltage difference and the upper and lower limits of frequency difference are entered in deltaV>, deltaV<, “deltaF>” and “deltaF<” fields, respectively. The relays mostly tend to issue a connect command in the “Dead Zone” range that is located between “deltaFmin” and “deltaFmax” parameters. The allowed angle difference of the system number 2 is entered in “deltaPhi” Nom field and is entered in delta Phi. For example, if the nominal angle of system number 2 is 30 degrees and the allowed difference is 20 degrees, by going to Vector View window, the user can see that the allowed connection range is determined to be between 10 to 50 degrees. Also, the allowed tolerances for different parameters and the minimum allowed connection time are entered in the fields on the right side.
About the voltage that is being used for the test, it should be noted that the relays measure the applied voltage and if the nominal voltage is as much as 110 (or 100), the user only needs to apply “VL1-E” and “VL2-E” for systems number 1 and 2 with the same value to the relay and this can be viewed in the “Hardware Configuration”. For example, if in the “Protection Device” in the “Connected Configuration” tab the two systems are set at “L1-L2” mode, by going to the “Hardware Configuration” window and in the “Analog Output” section, it can be seen that considering the selected mode, two sources are specified for the voltage that is being used for the test and that in fact, VL1_E plays the same role as “VL1-L2” of system number one and “VL2-E” plays the same role as “VL1-L2” of system number two. To better understand this, suppose that a 110 volts line-to-line voltage is used for system number 1 and for system number two, a 63.5 volts “VL1-E” phase voltage is used. To enter the information of such a system, it is necessary to enter “L1-L2” and “L1-E” as the Connected Voltage for systems number one and two, respectively. Also, 63.5*√ 3 or 110 volts is entered as the “Vnom L-L” for system number two. Now, by opening the “Test View” and “Vector View” pages, it can be seen that 63.5 and 110 volts are entered as the nominal voltage for systems number two and one, respectively. The next point is that only for system number one it is possible to select a three-phase voltage because only the Voltage groupA of the device is three-phase and as for system number two it is only possible to select a single-phase or line-to-line voltage.
“Shot test” is the first test that can be performed on “Synchronizer”. To perform this test, first you need to enter the system (1) characteristics which is a simulator of the infinite bus and the system (2) characteristics which is a simulator of the generator. The amount of voltage difference, frequency and angle of systems (1) and (2) are entered in “DeltaVL-L”, “delta F” and “delta Phi” respectively. The amounts of voltage, frequency and angle are specified in the column at the right side of this box. Note that it is possible to directly specify the voltage, frequency and phase values of the system (2) in which case the amount of difference between the specified values with their nominal values is displayed in the column on the left side of this box.
In performing this test, the characteristics of system (1) is fixed and for every test point, the characteristics of system (2) change. Other methods to add test points include clicking on the characteristic curve and selecting “Add” or holding the ctrl key and clicking on the intended point on the characteristic curve. Finally, after specifying the test point, the test is performed and in accordance with that whether the test point is inside the characteristic or outside it, the relay issues connect or disconnect command. The test point assessment is done in accordance with synchrony or non-synchrony of “Nom” and “Act” columns in “Assessment” section in the test point table. The characteristics of system (2) / the test point is specified in “System2” section. Other options of this section are the same as those of the other previously mentioned rooms. As an example, a point inside the connection zone and another point outside this zone are selected. By performing the test you will see that the relay gives a close command inside the zone and does not connect outside this zone.
The second and the most important performable test is “Synchronizer”. To perform this test you need 5 outputs from the relay. In fact, this relay has 5 main outputs and by giving the raiser or lower command for voltage and frequency, the act of “Synchronizing” and connecting the unit to the network is done. These outputs, which should be connected to the device for the test, include “V>”, “VM<”, “F>”, “F<” which are used to raise voltage, lower voltage, raise frequency and lower frequency respectively. In “Trigger” tab in “Binary Setting” section, the settings of related “Inputs” can be specified. In this section, to receive the commands such as receive voltage raise command, receive voltage lower command, receive frequency raise command and receive frequency lower command, “B1:V>”, “B2:V<”, “B3:F>” and “B3:F<” are used respectively. Also “Close Command” is used to receive the close command from the relay. In performing this test, the inputs are simulators of governor and “AVR” which are commanded by the relay.
This test in this tab is done in the way that when you select a test point and run the test, the relay enters the voltage and frequency of system (2) to the closing zone by giving the voltage and frequency change commands and finally, gives the close command. About performing this test it should be noted that it is necessary to enter “Generator Model” in accordance with the system characteristics because the changes in voltage and frequency are done in accordance with the pulses sent from the relay and the settings entered in this section. For example, if “0.1” is entered as “delta V/delta t”, if one one-second pulse is sent from the relay to decrease the voltage, the voltage decreases by 100 millivolts. But if a 500-milliseconds pulse is sent, the voltage decreases by 500millivolts. As an example, here a test point is selected and “1v/s” and “100mHz/s” are entered as “delta V/delta t” and “delta F/delta t” respectively. By running the test you can see that based on the signals received by the inputs from the relay, the characteristic enters the connection zone from the outside.
As the final point, it is necessary to know that the time of each of the tests is specified in “Fault Time” section in “Setting” which, if necessary, can be changed.
This room is designed to test different relays in the shortest possible time and in the form of using standard scenarios based on periodic testing regulation of Iranian power grid protection systems.
You will see two windows by entering to the AMT VCC room. VCC Panel, which is actually the main window for selecting functions and test management. VCC Report View, will show you the relay test report. In the first step, simply upload the default template to the desired relay. This will be done by selecting an icon with the letter L.
These templates are available in two categories for each relay. In the Fast Test section, you will see a limited number of tests. For example, in quick tests, there is no transient test. However, by selecting the other option, there will be a complete set of tests in front of you.
As you can see, by loading the template, a variety set of tests for different functions will be in front of you.
In the Nodes section, you'll see available subcategories to test each function. In the Summary column, a summary of the test status and whether it is successful or unsuccessful will be displayed. The three options of Inheriet Xrio, Inherit Hardware Config and Inherit Report Settings by being active, respectively, will make the user's chosen function inherit all settings from Xrio, hardware settings and report settings. However, by disabling them, you can apply the settings to each one and manually as you wish. The Open UI option will also allow you to manage the opening of the related window to each test.
If you select Advanced View from the above section, more elements such as test window status, reporting status, test progress rate, and more will be observed.
In the Root subset, the Xrio file is located first. By selecting this option and clicking the Open option, you can upload the Xrio received from the relay, which actually fits the active functions set.
You can access the details by clicking on any other option and selecting Open. For example, by clicking HardwareConfigFile you can view and edit the default hardware configuration for current and voltage injection, as well as inputs and outputs of the test device.
The Start Note option, which is located before testing each function, also provides the user with explanations to guide the test further. In this section you can enter the information that test man guide during the test. For example, you can place a note in the overcurrent protection function that indicates the overcurrent protection in your relay is an emergency type and can only be activated by blocking distance protection and can be tested.
In the top part of the page, you can add or remove tests by clicking Add Item or Remove. For example, here we remove Switch Onto Fault, Recloser and VTS tests due to the inactivity of these functions in our relay as well as the shortening of the testing process.
In addition, you can make it possible to change settings or points by disabling Inheriet Xrio. For example, for overcurrent protection, we applied settings manually and placed different points on the characteristic curve than those designed in accordance with XRIO.
In the first stage of testing, Wiring Test is designed to check the current and voltage values injected from the device on the relay to ensure the correct wiring.
Electrical Test is another option that, with three state including PreFault, Fault and PostFault, checks the relay conditions in different situations and ensures registering the trip when a fault occurs.
As mentioned above, a set of tests for different functions is designed in the default template but it is possible to remove, add and manage the tests accurately for the user.
In this way, you can determine the priority of performing different tests, disable some tests, and even more precisely, specify which tests to do with what values and in what range.
You can check how the test is designed by clicking on each test and selecting Open. For example, you can view or edit points on the characteristic by selecting Zone Reaches for the Distance function.
By running the test, you can check different functions. Finally, by right-clicking on the VccReportView window, you can have a complete management of the items that are going to be displayed in the report.
For example, here we will perform the Micom P444 relay test in AMT VCC room. In the Configuration section, you can see the active or inactive status of the functions. In the subset group 1 of settings, you can also see details about each function's settings and values. In the PSL relay section, we also configured the inputs, outputs and leds for different functions. Now it's time to save the XRIO settings file.
In the next step, we re-enter the AMT VCC room and first load the template related to the P444 relay. Now we prepare different function tests using the XRIO file that we took from the relay in the previous step. By running the test, you can control the test of different functions step by step.
One of the instrument which can be tested by “AMT” is current transformer or “CT”. “CTs” are very useful for converting the high current of an electrical system to a current measurable by relays and measurement devices. Generally, there are two types of “CTs” including “Measuring” and “Protection”. The difference between these two types is in their ratio accuracy or accuracy class as well as saturation level. Since “Measuring” “CT”s are used in measurement devices, when there is a fault, if the current entered this equipment increases too much, the equipment might be damaged. But “Protection” “CTs” are used in relays and since the performance of a relay is in accordance with the amount of fault current, these “CTs” should be able to move the fault current of the network to the secondary with the least possible error.
In drawing the equivalent circuit of this transformer, the “CT” turns ratio is “1:N”. “Rp” and “Xp” equal the “CT” transformed to the secondary while “Xs” and “Rs” indicate the resistance and “CT” secondary leakage flux. In parallel branch, “Re” and “Rh” are indicators of losses of eddy current and the hysteresis respectively and “L” indicates the magnetization inductance or “CT” secondary self-inductance. In the equivalent “CT” circuit, unlike normal transformers, the parallel branch is located in the secondary side and this very branch is the reason for core saturation in high currents. Since the primary resistance and leakage flux in “CT” is insignificant, “RP”, “XP” and “Xs” can be ignored.
By clicking on “Current Transformer (CT)” on the start page of the software, the “CT” test room opens. In tests performable by the “AMT 105”, RCT, saturation curve and the turn’s ratio are achieved with two methods of voltage or current. Moreover, measurement test of the burden connected to the “CT” secondary is performable by this device as well. “Test Object” and “Megger” tabs are used to enter the nominal information of “CT” and the results of “Megger” test respectively.

Any module to be able to perform a test needs some information about the equipment. This information is entered in “Test Object” section. The general information about “CT” which should be recorded in the report is entered in “General Information” section. The company’s title, the country, name and the address of the substation and installation place of “CT”, title of the manufacturer of “CT”, “Type” of “CT”, serial number of “CT”, title of the feeder on which “CT” is installed, phase number, “IEC” standard number written on the plaque of “CT”, number of cores of “CT”, number of taps of “CT” and additional information are entered in “Company”, “CT Serial Number”, “Feeder/Bay”, “Phase”, “IEC-ID”, “Core Number”, Tap” and “Additional Information” fields respectively to be added to the report. In “Extra Data” section, the test date in A.D., the information of the performer of the test and the information of the supervisor are entered in “Date”, “Tested By” and “Approved By” fields respectively.

By checking “Easy Mode” option in “Accessories” section, the wiring of the tests changes. This wiring is based on the board designed by Vebko Company for the “CT” test. The mentioned board is located on the front panel of the device and there are some relays placed on it which automatically manage the wirings of the front panel of the device which makes performing the test easier. The main information of the “CT” which has influence on the calculations of knee point and evaluation of the tests are entered in “Test Setting” section. The CT core type is selected from among “Measuring” and “Protection” in “Core Type” field. The accuracy class of the “CT” is specified in “Class” field. If the type of “CT” is “Measuring”, the accuracy classes available in drop-down field such as “0.5s” mean that in 100 to 120 percent of the nominal current crossing the primary “CT”, there may be measurement fault up to this percentage max. If the “CT” is “Protection” there are different accuracy classes one of which is selected according to the “CT” type and the information required for every “CT” is displayed in “Nominal Values” section.

For example, if “10P or 10Pr” is selected as accuracy class, based on “ALF” in “CT”, there may be up to 10 percent error in “ALF” times the primary nominal current. This means that if the “ALF” for a “CT” with an accuracy class of “10P” is “20”, in 20 times of the nominal current in the “CT” primary, if the nominal “Burden” is connected to its secondary, there may be up to 10 percent measurement deviation. In “Applied Standard” field, the standard used for the “CT” is determined. In “Class Multiplier” field, a factor is entered between “0.2” and “1” to be multiplied by accuracy class. This factor makes the “CT” accuracy class harder in turns ratio test. This means that if the “CT” accuracy class equals “10P” and its accuracy factor equals “0.8”, the maximum “CT” error in “ALF” times the primary nominal current is 8 percent.

In “Nominal Values” section, the nominal values are entered according to the type and class of the “CT”. Primary current, secondary current, nominal frequency, apparent power and secondary resistance in the temperature specified on its plaque (usually 75 degrees) are entered in their related fields. “Fs” or “Security Factor” indicates the measuring “CT” security factor and is defined as the ratio of instrument limit primary current to the rated primary current. Note that the actual “Fs” value is dependent on the burden of the “CT”. If the burden connected to the “CT” is lower than its nominal burden, the “Fs” value is increased and the “CT” is saturated in higher current. For example, when the “Fs” of a “CT” is “5”, this “CT” is saturated in 5 times the nominal current.

“ALF” or “Accuracy Limit Factor” is defined as the proportion of accuracy limit of the primary current to the nominal current. The value of actual “ALF” is dependent to the burden connected to the protective “CT” secondary and its value decreases as the value of the connected “Burden” increases. “CT” Power factor, apparent power of the actual burden connected to the “CT” and the ambient temperature which equals 25C are entered in “Cos (phi)”, “Actual Burden” and “Ambient Temperature” fields respectively. If the “CT” accuracy level is “X or PX”, “PXR”, “TPX”, “TPY” and “TPZ”, options such as “Exciting Current (Ie)”, “Kssc”, “Rb”, etc. are added to “Nominal Values” section which should be entered from the “CT” plaque. This information is used to estimate the knee point for excitation test. To view how these parameters work you can go to “Excitation Test” tab and by holding the “Mouse” pointer on the estimated knee voltage, view its relation.


In “Winding Material” field in “Temperature Correction” section, the material used in the coils is selected from among “Copper” and “Aluminum”. In “Winding Temp” field, the current temperature of the “CT” coil is entered. Also, in “Reference Temp.” field, the reference temperature is entered to measure the resistance value of the coils so it can be used to correct the values measured in different temperatures. Normally, the reference temperature is written on the “CT” plaque in front of the secondary coil resistance which usually equals 75 degrees. In “Correction Factor” field, the temperature correction factor is calculated in accordance with the ambient temperature, reference temperature as well as the material of the coil which is not editable. In some cases, in the “Test Sheet” which comes with the “CT”, the coil resistance is measured in a temperature other than the one mentioned on the plaque. If you wish to enter the value of this resistance, by checking “R Man.(Ref.Temp.)” option, you can enter the resistance. In this case, this resistance and its temperature are considered as the reference and are added to the results table in the “R Man.(Ref.Temp.)” column in “Resistance Test” tab that the temperature which is measured by the manufacturer is based on the resistance and is measured and showed in this test.

The number entered in “RMS Accuracy” box in “Number of Period” field, shows the number of cycles used for calculation. By default, this number is set at “1”. As the number of cycle’s increases, the software uses more cycles in “AC” mode and more time in “DC” mode for calculations. By doing so, the number of calculations increases and the software speed is decreased but the result of the test will be more precise.

By clicking “Add to Report” option at the bottom of the page, this information is added to the report and then a message saying “The Report was added to the list” is displayed. By selecting “Report” window from the right side strip, it is possible to view the report. By clicking on “Delete Report”, the report added from “Report” window is removed from “Delete from Report” window. If “Set as default” option is selected, the entered information is saved and set as default and by opening “Current Transformer (CT)” room, this information is displayed. For the instructional videos of this section, a 10P10 protective CT with 500/1 as turns ratio, 50 Hz as frequency and 15 VA as Burden is going to be tested.

In this test, the burden connected to the secondary side of the CT is measured. By injecting AC current and measuring the AC voltage through the "Binary/Analog Input," and then dividing voltage by current, the impedance value "Z" and its phase angle are obtained. From these, the resistance "R" and reactance "X" of the secondary circuit can be determined.To perform this test, you need to enter the test current and test duration in the "Test setting" section—specifically in the "I test" and "State Time" fields. The current limit for this test is set to 32 amps. However, injecting 5 amps is sufficient for 5 A CTs, and 1 amp for 1 A CTs.In the "Hardware Config" section, you can change the current injection output via the "Wiring Type" setting. The voltage measurement input can be selected from the "Voltmeter Contact" dropdown, depending on the CT's resistance. Inputs 1 to 7 or input 10 may be used.If you choose inputs 1 to 7, the "Voltmeter Type" can be set to "wet" depending on the voltage across the selected input. Input 10 should be used when the measured voltage is less than 200 millivolts.Current measurement during this test is done either via the actual current ("Actual") or through "Input 9".
By selecting the "Insert Rows" option, test rows are added based on the number of taps defined in the "Test Object" section.If more than one "Core" has been entered in the "Test Object", you can use the "Insert Mode" to add all of them to the test rows in either "Up" or "Down" order. Alternatively, you can add a specific "Core" to the list by selecting "Specific Core".
In the newer versions of the software, the option "Don’t change hardware settings" has been removed. Instead, you can use the "Manually" option, which is available under both "Wiring Type" and "Voltmeter Contact".
After entering the information in the "State Setting" section, follow the wiring diagram shown. Note that you can double-click the image to enlarge it for better visibility.To perform this test, the first step is to disconnect the CT from all components that transmit current to the measuring equipment. In the default wiring configuration, connect the output phase currents "Ia1" and "Ian" to the current-carrying path of the CT.
To measure the "AC" voltage, connect "Binary/Analog Input 1" to the test path, ahead of the current injection connectors.
To run the test, select one of the rows in the table, right-click on it, and choose "Apply Test". This action applies the current settings, test duration, and all relevant hardware configurations under "Hardware Config"—including the device’s outputs and "Binary/Analog Inputs". Alternatively, after selecting the desired row, you can also start the test by clicking the "Run" button in the top toolbar
Once the wiring is complete and the current and time values have been set, right-click on a row and select "Apply Test" to start the test. If you need to adjust the current or test time, make the changes in the "Test Setting" section, then click "Insert Rows" to add a new test row. You can also directly modify the test current in the "I test" column of each row.
After running the test, in the "Hardware Configuration" section, under the "Analog Output" tab, you will see that the device wiring is set to "6×32A" and "Binary/Analog Input 1" has been activated for voltage measurement. For a more detailed test analysis, you can use the "Table View," "Detail View," and "Signal View" windows. Once you open the "Table View" window, you will see that a "State" with a frequency of "50Hz" has been created, in accordance with the data entered in the "State Setting" section. If you need more detailed information from the "Table View," you should use the "Detail View" window.
In "Signal View," you can observe the current waveform and its "Actual" value, as well as the voltage measured by "Binary/Analog Input." Using the "Actual" current and voltage waveforms in "Signal View," you can verify the correctness of the connector connections. In the "Result" section, after the test is completed, the results will be displayed. These results include "I test act," the actual injected current, "Vmeas.," the measured voltage, "Z," the impedance, "Angle," the impedance angle, and finally, the values of "R" and "X" calculated using the formulas "Z Cos(φ)" and "Z Sin(φ)." In the "Burden @ Itest" field, the burden that the secondary "CT" can provide during the test current is calculated and entered by the software. The last column shows "cos φ." Finally, after the test is completed, the evaluation results need to be added to the report, which can be done by selecting "Add To Report" during equipment testing.
If you want to include specific parts of the evaluation in the report or edit the report, you must use the "Add To Report" gear icon. By clicking on this gear, the items that can be added to the "Report" will be checked, and if you don't need any of these items, you can uncheck them. Please note that after each test, the results are not automatically added to the report. You must manually add the test results to the output report by clicking "Add To Report" before selecting "Clear Test."
Additionally, if you want to adjust the settings for displaying the table columns on the test page or in the report, you can right-click on the table, go to "Show/Hide," and if you don't need a specific column, you can uncheck it in the "Report" or "Table" section.
If the "Burden" of the path is low and you need a more accurate measurement, you can set the "Voltmeter Contact" to "Input 10." Or, if "Input 1" is experiencing issues, you can select a different input in the "Voltmeter Contact" section. Also, to change the injected current output, you can select the desired current output from the "Wiring Type" section.Furthermore, if you want to conduct the test with different settings—for example, you want the current injection to be set to "1×128A" and voltage measurement to be done with a "Sample rate" of 1.2 milliseconds—you can set the "Wiring Type" and "Voltmeter Contact" to "Manually," open "Hardware Configuration," and apply the necessary changes. Then you can perform the test with the new settings.
It is important to note a few things: If the current injected by the device ("Actual Current") differs significantly from the set current, the wiring resistance is high, and in this case, two actions can be taken: 1) Reduce the injected current. 2) Change the wiring to series current sources to provide a higher "Burden." Another point is that a reading of zero for "Actual Current" indicates an open current injection path; in this case, the connector connections should be checked.
Another note is that the voltage read by the device’s binary inputs must have similar cycles. If the readings are zero or have a large tolerance, it indicates an improper connection of the connectors.
In the "Winding Resistance" tab, the winding resistance test of the "CT" is performed. In this test, a "DC" current is injected into the secondary of the "CT," the voltage is measured via "Binary Input," and the "DC" resistance is calculated by dividing the voltage by the current.To conduct this test, set the current and test duration in the "Test Setting" section under the "I test" and "State Time" fields, respectively. The maximum allowable current for this field is "32" amperes, but a "5" ampere current is sufficient for "5A" CTs, while a "1" ampere current is adequate for "1A" CTs.In the "Hardware Config" section, the current injection "Output" can be modified under "Wiring Type." The voltage measurement input can also be selected from the "Voltmeter Contact" section. Depending on the CT resistance value, inputs "1 to 7" or "Input 10" can be chosen. If selecting inputs "1 to 7," the "Voltmeter Type" should be set to "wet," based on the voltage drop across the input terminals. "Input 10" should be used when the measured voltage is less than 200 millivolts. The current measurement in this test is performed via "Actual" current.
In the latest software versions, the "Don't change hardware settings" option has been removed and replaced with the "Manually" option, available in the "Wiring Type" and "Voltmeter Contact" sections.
By selecting "Insert Rows," test rows will be added according to the number of taps defined in the "Test Object" section. If multiple "cores" are included in the "Test Object," the "Insert Mode" section allows adding them sequentially as "Up" or "Down," or selecting a specific "core" via "Specific Core."
After entering the necessary information, follow the illustrated wiring instructions. You can enlarge the image by double-clicking on it. For wiring, connect "Ia1" to the positive terminal of the capacitor and then to "S1" of the "CT," and connect "Ian" to the negative terminal of the capacitor and then to "S2" of the "CT." The capacitor box is used to eliminate voltage ripple caused by the inductance of the CT winding. The latest capacitor box model contains three "5000" microfarad "Bi-Polar" capacitors.
To measure "DC" voltage, connect "Input 1" to the "CT" ahead of the current connectors. Then, connect the current source, which is paralleled with the capacitor, to both CT terminals. To execute the test, select a row in the table, right-click, and choose "Apply Test." This will apply the current settings, test duration, and hardware configurations from "Hardware Config," including the device's output and "Binary/Analog Input" settings. The test can also be started using the "Run" button in the top toolbar.
Once the test is executed, navigate to "Hardware Configuration" in the "Analog Output" tab, where the wiring is set to "6×32A," and "IL1" is used in this test. Additionally, "Binary/Analog Input 1" is activated for voltage measurement. For better analysis, the "Table View," "Detail View," and "Signal View" windows can be used. In "Table View," two states with zero frequency (DC) are generated according to the "State Setting" data. The first state allows the CT current to stabilize, while the second state measures current and voltage and calculates resistance. More detailed information can be accessed through the "Detail View."
In "Signal View," the actual waveforms of measured current and voltage are displayed. This feature allows users to analyze the test and verify the correctness of connector connections using "Actual" values and recorded voltage readings.
After completing the test, results can be viewed in the "Result" section by selecting a row. The results include "I test act," "V meas.," resistance at the current temperature, and resistance corrected to the reference temperature. The "Correction Factor" field calculates the temperature correction factor based on ambient and reference temperatures, as well as the winding material. This temperature information is entered in the "Test Object" under "Reference Winding," and "Rcorr" is derived from multiplying ".Rmeas" by "Correction Factor."
In some cases, the winding resistance in the "Test Sheet" accompanying the "CT" may have been measured at a different temperature than the one stated on the nameplate. If you need to input this resistance, check the "R Man.(Ref. Temp.)" option. This sets the entered resistance and its temperature as the reference. Consequently, in the "Resistance Test" tab, the "Temp. Manufacturer" column is added to the results table, showing the factory-measured temperature. In the "Assessment" column, if "Rcorr." falls within "Rmin" and "Rmax," the test is marked as "Pass"; otherwise, it is marked as "Fail." After evaluation, test results must be added to the report using the "Add To Report" option.
If specific test parts need to be included or if modifications are required, use the "Add To Report" gear icon. By clicking this icon, all selectable items in the report are checkmarked, and unnecessary ones can be unchecked. Note that test results are not automatically added to the report after each test. You must manually add them before clearing the test using "Add To Report." Once added, the report can be edited or deleted using the "Edit & Delete Report" option. To adjust table column display settings in the test screen or report, right-click on the table, go to "Show/Hide," and uncheck unnecessary columns under "Report" or "Table."
In the "Hardware Configuration" section, under "Binary/Analog Input," the "selectivity" column for the first row is set to "100ms." This feature ensures automatic voltage measurement with the appropriate "wet" setting. For instance, if the measured voltage exceeds 4.5V, voltage measurement switches from "wet 4.5" to "wet 30." If the measured voltage is below the maximum voltage of "Bin10," use "Input 10" for higher accuracy.If a different wiring configuration for current injection or a customized voltage measurement input is required, select "Manually." For example, if the test needs to be conducted with a different "Sample Rate" than the default setting, set "Wiring Type" and "Voltmeter Contact" to "Manually," open "Hardware Configuration," apply the desired changes, and proceed with the test.
Important Notes:● If the "Actual Current" is injected by the device but significantly deviates from the set current, it indicates high winding resistance. Two solutions are available: 1) Reduce the injected current. 2) Change the wiring to a series current source configuration for higher "Burdon" capacity. ● If "Actual Current" is zero, it means the current injection circuit is open. Check the connector connections. ● If the measured voltage has high fluctuations or reads zero, it indicates incorrect connector connections.
Before talking about the Excitation test, it is necessary to review some important subjects related to analyzing behavior of transformers including equivalent circuit and some electric and electromagnetic analyses. You can see a transformer equivalent circuit in the figure. In this circuit, “RP” and “RS” refer to the primary and secondary coils resistance respectively which occur as heat loss and increase in the temperature of the coil. “XP” and “XS”, on the other hand, indicate a part of the flux whose path is through air and is known as “leakage Flux”.

In the parallel branch, “Rc” is the indicator of core loss including eddy current and Hysteresis losses which occur as increase in the temperature of the core. The reason for parallelism of “RC” is that the losses caused by it are in accordance with the square of the input voltage. “Xm” indicates magnetizing inductance of the wires wrapped around the core of the transformer.

When the transformer is put “on-load”, it causes the secondary current to increase. When it happens, the flux caused by the secondary coil increases as well. Also, after the secondary current increases, the primary current increases as well which leads to an increase in the flux of the primary side. But since the changes in the secondary side current are bigger, the flux of the secondary side will be more than the primary side. Because of the influence of the opposite side of these two in the equivalent flux of the transformer core, the flux of the transformer decreases.

As a result, while the load drawn from the terminals of the power transformer increases, the core recedes from the saturation area. Therefore, in full-load it is possible to use a small core for the transformer, but since transformer is not always used in nominal load, by reducing the core, the decrease in the load, leads to the saturation of transformer. Therefore, to avoid transformer saturation in light load and change the waveform from sine wave, it is necessary to extend the transformer core.
As mentioned before, the power transformer recedes from saturation by increasing the current whereas CT gets closer to the saturation area. The reason for this is related to the voltage of parallel branch where, in the power transformer by increasing the current, voltage of the parallel branch decrease. However, in “CT”, by increasing the current, the voltage of the parallel branch in the secondary side increases and the “CT” saturates.

“CT” saturation in a power system is caused by increase in the primary current because of occurrence of a fault, which disables the “CT” to move the fault current to the secondary with the correct ratio. Since the saturation point of “CT” is related to voltage and parallel branch current, while doing this test, the secondary voltage increases and the point where by increasing the voltage by 10 percent, the drawn current increases by 50 percent is considered as the saturation point. In future videos the ways to enter the values and do the test for different “CT”s will be provided.


To perform this test, the first parameter to be entered is the “CT” secondary resistance. This resistance is used to estimate the knee point and is selected from “Max RCT” field by default. But if the resistance test has already been done, this resistance is selected from “Rmeas”. Note that, since some users skip the resistance test and try to directly perform this test, this field can be edited manually.

In the "Efs" field, the knee point is estimated using the formula. The importance of this number is in calculating "Vend" to determine the final voltage of test evaluation. The assessment of this test is based on the finding of the knee point, so that if the knee point is found, the test is "Passed" and otherwise "Failed". Once the resistance value has been specified, the test settings is entered in "State Setting". If "Demagnetize" option is ticked, before performing the test evaluation, the software once demagnetizes the "CT" with "AC" voltage and current. so that the residual flux caused by theresistance test is removed. In this section, you must enter the time "Demagnetize" and voltage in a percentage of "Vend".

In the next step if “Calc. from Test Object” is checked, the software calculates the frequency and final voltage of the test by using the information entered in “Test Object”. If you wish to enter this manually, you should uncheck this option. In “Excitation Time Test” field, the test time is entered. Note that, it is possible to show the saturation curve with less fluctuation by increasing the test time. In “Choose Current Measurement Mode” section, it is possible to specify the maximum current from among “Low Current” with maximum 500 milliamps and “High Current” with maximum 800milliamps. Note that by selecting any of these options, the wiring changes.

In this test, the test information is entered is this page in accordance with the information entered in “Test Object” and the performed resistance test. Also, the wiring is done according to the CT specifications which are different for different models of “CTs”. Note that in this wiring, output voltages is connected to the capacitor positive output and it is necessary that the two negative polarities of the capacitors are connected to each other. Then the positive polarity of the second capacitor is attached to the "S1" "CT" and the "S2" is connected to the device. It should also be noted that series capacitors are used to filter the “DC” voltage of the device.
By pressing “Init Test”, the needed “States” are created in “Table View” and the necessary changes are automatically applied in “Signal View”. Note that the voltage is displayed in “Signal View” in form of “RMS” and it is possible to change the view to sine by selecting “Instantaneous” option. After performing the test, in “Signal View” you can see that first the “CT” is demagnetized and then the excitation test begins. In “Lissajous” tab, the saturation curve can be viewed in terms of voltage and current. In this curve the linear area between the two plus signs is depicted in pink. After finishing the test, the knee point and the saturation point are depicted with green and the results and the evaluation are recorded in “Excitation Result” section. Since in performing this test the saturation curve points are of significance too, by selecting “Add to Report” option, the points used for the test are added to the report.

Another important point in an excitation test is the current which passes the primary of “CT” and causes the saturation. Since this current is related to the CT connected resistance, in “Calculation of Iprimary” section, the connected resistance should be entered in “RL” field and then view the current that causes the CT saturation in “Iprim” field. Here you can see the formula used to calculate this current.

If you wish to set the wiring in a way other than the suggested way, after clicking on “Init Test”, check “Don’t Change Hardware Setting”, then make your desired changes and initiate the test. Note that if before finding the saturation and knee points, an “Overcurrent” error is displayed, the wiring needs to be changed from “Low Current” to “High Current” and then initiate the test after pressing “Init Test”. If again before finding the knee point the device is displaying an overcurrent error, this means that the knee point current is higher than the Range of the device and it is not possible to find the knee point using this device.

As you know, inductor is a linear element but if its voltage exceeds a specific limit, the inductor is saturated and enters the non-linear area. What we mean by saturation of the inductor is the saturation of its core. In fact, when the voltage exceeds the threshold, the core loses its ability to pass more flux and so it is saturated and the inductor turns non-linear. But by drawing the saturation curve of a “CT”, you can see that there is also a non-linear area in the lower voltages. Up to now we have said that in higher voltages the inductor becomes excited and turns non-linear. To explain non-linear area in a lower voltage, the parallel circuit of a “CT” is drawn. In this parallel circuit, the turns ratio of the “CT” which is a transformer is “1:N”. “Rs” indicate the resistance of the “CT”. In the parallel branch, “Reddy” and “Rh” stand for Foucault and hysteresis losses of the coil and L stands for the magnetizing inductance of the “CT” secondary. To perform the excitation test, secondary of the “CT” is fed by voltage and check to see what non-linear element is causing the “CT” to show a non-linear behavior even in lower voltages.


As mentioned before, the losses of core include Foucault and hysteresis. Therefore, to analyze the non-linear behavior of the transformer, we need to examine the Foucault and hysteresis losses. Foucault losses are caused by Eddy Current which occurs in the core segment because of time-varying flux in the core and voltage induction. Since the flux is directly dependent on the voltage, we can say that the Foucault losses are the result of a pure resistance. The relation of the Foucault losses is achieved through an empirical method and is as you can see:

In this relation, “B” is the flux density which equals “V/f”. By substituting this relation, Foucault losses can be rewritten as Pf= V2/Re.

From this relation it can be deduced that the Foucault losses are caused by a fixed resistance that are not dependent on voltage and cannot be the reason for the non-linear behavior of the transformer in lower voltages. So, it is only possible that the hysteresis losses are the reason for the non-linear behavior in the “CT”. Hysteresis losses occur in the core due to the residual magnetism. This means that passing of the magnetic flux through the metal core in a direction causes the core to be magnetized and turn into a weak magnet; so in the next half-cycle, a small amount of energy is lost to remove the magnetic effect of the previous half-cycle and this is being constantly repeated. The empirical relation of hysteresis is as you can see:


The value of “x” depends on the material of the core and can vary from 1.5 to 2.5. Also, in this relation, “B” is the flux density which equals “V/f” and by substituting it, the Hysteresis losses can be rewritten as you can see:

From the resulted relation, it is obvious that the hysteresis resistance is non-linear and dependent on the its voltage

The effect of this resistance in the total equivalent resistance of the “CT” in the lower voltages is significant. But from a specific voltage upwards, the effect of this resistance decreases and causes the “CT” current and voltage relation to approach linearity. This causes the relation between voltage and current to be non-linear in a specific range in the lower voltages.

As mentioned earlier, the core losses include eddy current and hysteresis and its model is as you can see here:
Pf= Ke (V2)
Ph=Kh* Vx /fx-1=> Ph= Kh * ) f1-x (* ) Vx-2( * V2
Pc= Pe + Ph = Ke (V2) + Kh * ) f1-x (* ) Vx-2( * V2
By using this relation, we can obtain the Foucault and hysteresis resistance models which Foucault resistance model is linear and independent from the voltage while hysteresis resistance model is non-linear and dependent on the voltage.
Re=1/Ke
Rh= 1/ (Kh * ) f1-x (* ) Vx-2( )
If voltage is fed from the secondary side, since Rct and the current drawn from the source is clear, the voltage of the parallel branch is calculated using:
E= Vterminal –RCT * I
After calculating E, the core losses are calculated using:
Pc= E*I *Cos (<phi)
By having the core losses value and its extended formula
Pc= Ke (V2) + Kh * )f1-x (* ) Vx-2( * V2
It is possible to calculate Ke, Kh and X by solving the three equations in the three variables system. To solve these equations, it is possible to apply three different voltages. But if the frequency is the same, its determinant turns zero and no answer can be obtained for the variables. Therefore, it is better to apply one of the voltages with a different frequency.
In the first step of solving these equations with V1 and f1 as voltage and frequency, Ke and (Kh*(f1-x) parameters can be obtained using a two equations in the two variables system.
Pc1= Ke (V12) + Kh * )f11-x (* ) V1x-2( * V12
Pc2= Ke (V22) + Kh * )f11-x (* ) V2x-2( * V22
Now, if one of the voltages is applied along with f2 as the frequency, “x” is obtained and by substituting it in Kh*(f1-x), Kh obtained achieved as well. By specifying these parameters, the resistance of Foucault and Hysteresis obtained.
Pc2= Ke (V22) + Kh * )f11-x (* ) V2x-2( * V22
Pc3= Ke (V2^2) + Kh * )f21-x (* ) V2x-2( * V22
Due to voltage application limit for CTs with a very high saturation point, it is possible to find the saturation point in the nominal frequency by decreasing the voltage and frequency with the same proportion. Because the relation of the according flux is V/f.
But does not changing the frequency change the CT system? To explain this subject, we need to examine those components of the CT that are affected if the frequency and voltage are changed. According to previous analyses, Rct is dependent on the material of the wire and Reddy to the material of the coil. In Xm branch, due to the proportional change of V and f and the stability of the flux, this branch remains unchanged as well. Therefore, the only parameter affected by the voltage and frequency is hysteresis resistance which was obtained.
Rh= 1/ (Kh * ) f1-x (* ) Vx-2( )
Now suppose that to obtain the saturation point, the fed voltage and frequency are split in two. Is it possible to obtain the saturation point in the nominal frequency by multiplying the voltage and current by two? This will be clarified later.
Suppose that the CT knee point is obtained by decreasing the frequency to 25 Hz with 500 volts of voltage and 15 milliamps of current. The voltage of the parallel branch is obtained using:
EExc = Vterminal - Rct IExc
Since now we have Ke، Kh and x, by dividing EExc by Reddy and Rh, Ia and Ih currents are calculated. By subtracting these two from IExc, the self-inductor current is obtained. According to this relation,
Phi=L* I
when the flux is fixed, the self-inductor current is fixed as well. Therefore, by doubling the voltage of the parallel branch, this current remains fixed. After doubling the voltage and frequency, as it is shoawn in this formula.
Ieddy=2 Exct /Reddy
Ih= 2 EExc /1/ (Kh * )f1-x (* ) Vhx-2( )= 2 EExc * (Kh * ) 501-x (* ) 2EExc x-2( )
Ie= 2 EExc * Ke
The Foucault and hysteresis currents are calculated and added by self-inductor current to achieve lExc using this relation. Then, the voltage of the parallel branch which is 25Exc is added to Rct* lExc and the terminal voltage is obtained.
As you know, the maximum output voltage of a device in one-phase mode is “450” volts. Usually, to avoid damaging the measuring equipment, measuring CTs go to saturation in low voltages. But the saturation voltage of some protection CTs such as “TPX”, “TPY” and “TPZ” is too high and usually this saturation point voltage is beyond the ability of the device. To test these CTs, it is possible to increase the voltage until the CT goes to saturation but some scientific references suggest that high voltages must not be fed into CTs because high voltages can damage the insulation resistance of the equipment. Another method for excitation test in CTs with too high saturation voltage is to decrease the frequency. This method is also mentioned in the standard CT excitation test, which can be performed with an “AMT” device.
As you saw, the knee point of a 5P10 protection CT in 50 Hz frequency was measured to be about 159 volts. If you wish to specify the value of the final voltage and injected frequency manually, you need to uncheck “Calc. from Test Object” option and fill “Frequency” and “V end” fields. For example, “25 Hz” and “186 volts” are entered as frequency and final voltage respectively which means “372 volts” in “50 Hz” frequency. Note that by changing the voltage, it is so much probable that the wirings change as well. In this method, “Demagnetize” option is checked by default so that the magnetic residue is removed and the aforementioned calculations are done.


After adjusting this settings and specifying the test time, click on “Init Test” to initiate the test. As you can see in the “Signal View”, by decreasing the frequency and equating, the knee point is almost equal with what was measured in 50 Hz frequency. Therefore, in cases where the CT saturation point voltage is beyond the limit of the device, by decreasing the frequency, you can measure the knee point and its saturation.

By checking “Extra Data”, the additional information obtained from the excitation test is displayed. In the table of this section, the drawn current is displayed in EFS with 110 percent. Moreover, in “Custom” row it is possible to enter the voltage and view the current drawn in that voltage. For example, the current drawn in a 50 volt is … amps.
In fact, this table is the standard turns ratio table which is completed by the software during the excitation test. Note that this table is completed using voltage turns ratio and in different burdens. Let us use a numerical example to explain how this section works. To begin the calculations, suppose that “Burden= 15 VA”, Current equals 0.5ln, power factor equals 0.8 and CT resistance equals 2 ohms. To create the nominal burden in CT nominal current, we can suppose that a 12 ohm resistance is connected to the two ends of the terminal.
15VA * 0.8 = 12 VA = 1* 12
According to the equivalent circuit, in 0.5ln or 0.5 amp current, voltage of the parallel branch is achieved from
EExc = (Rct+RL) * I = (2+12)*0.5= 7 V
According to the equivalent circuit, using the relation, voltage of the primary side is achieved as 7*1/500 =14mV. This number is the voltage which is (in half of the nominal current) to be measured in the primary. Therefore, to fill the 1.5ln and 15VA cells, the software needs to create the 7volt in the the parallel (secondary) branch and measure its equivalent in the primary and finally, compare the measured value with the applied value. To create a 7 volt in the parallel branch, the device and the software need to apply "Vterminal" voltage to the CT in accordance with the displayed relation.
Vterminal= EEXC+Rct* I=> Vterminal = 7+ 2*I
Since the current loaded from the device can be viewed at any moment, the voltage of the device to create the 7 volt parallel branch is obtained. The mentioned process is repeated for all cells of this table and the turns ratio error, phase displacement, composite error and “ALF” are calculated for different burdens. To perform this test, after doing the wiring for excitation test, it is necessary to connect the CT primary to inputs 1 and 10 and run the test after pressing “Init Test”. You will see that after the test is finished, the turns ratio obtained from “Ratio Table” is displayed in “N Turn”. Other than this “Pol.Check”, the tables related to this section are completed and the those cells that have error values beyond the allowed range are highlighted in red and displayed in “Error List” section. In the last table, “ALF” is calculated and displayed in different burdens.
By checking “Rdc”, the winding resistance is measured using the voltage application and current measurement method. For this test, the capacitors are “Bypassed” using the binary output 1 and DC voltage is applied to the CT. Afterwards, input 5 is connected to the “CT” using binary output 3 and the actual voltage of the CT are measured. As you saw, during the process of resistance measurement, Binary outputs are closed. In the end, the resistance is measured.
To perform a ratio and polarity test you should use “Ratio and Polarity Test (With Current)” tab. In this tab, turns ratio, polarity and phase deviation between “CT” primary and secondary is performed where “AC” current is injected and the secondary current is measured through “Input9”. To perform this test, you need to enter the current and time of the test in “State Setting”, in “I test” and “State Time” fields respectively. Before initiating the test some points must be considered.

The first point is that the current limit is “128” amps while the “Binary/Analog Input9” limit is “500” milliamps. But since in sometimes the “CT” secondary current exceeds “500” milliamps which damages the “Input9”, “Icalc” is limited to “450” milliamps. This means that you can increase the primary as much as that “Icalc” does not exceed “450” milliamps. The second point is that if the route resistance is too high and the device is not able to provide the needed “Burden”, to perform the test you should decrease the resistance. To do so, you can parallel “4” pieces of wire. The third point is that if even by using “4” pieces of wire the problem is not solved, you need to decrease the current. Note that the test current must be based on the standard because the software uses that to assess the test.
The table made in this section is the basic standard for test assessment where the allowed turns ratio error and phase deviation are specified in percent and “minute” for classes of protection and measurements “CTs”. In turns ratio section, the allowed error for different percentages of nominal current and in the “phase” section allowed error is specified in minute. For example, for a “Measuring CT” with the class of “0.5”, in “5” percent of the nominal current, “1.5” percent turns ratio and “90” minutes of phase deviation error are allowed. But in “Protection” mode, the maximum error is determined independently from the primary current. For example, for a “Protection CT” with the accuracy class of “10P10”, the maximum allowed turns ratio error is “3” percent and there is no limitation mentioned for phase deviation.

After entering the information in “State Setting”, you should set the wiring according to the picture. In this wiring ,short circuit “Ia1”, “Ib1”, “Ia2” and “Ib2” together and “Ia3”, “Ib3”, “Ia4” and “Ib4” together and then according to the picture, connect a wire to “Ia1” and “Ib4” phases after passing it through the “CT”. To measure the secondary current, connect “Input9” to “S1” and “S2”. After wiring, for “CT Protection 500/1”, “10” percent of the nominal current which equals “50” amps and “1” seconds as time are entered and the test runs after “Init Test” is pressed. You can view the “States” created by the software in “Table View”. If “At Calibration State” is checked, in the first state (with zero current), the secondary is measured and is deducted from the final result. The second state is the same as the specified test current. Note that if “At Calibration State” is not checked, the noise is not removed from the response. In “Signal View” section, the waveform of the specified current along with its “Actual” values and the current measured by “Input9” can be viewed. After the test is finished, the results can be viewed in “Turns Ratio Results”. “Icalc” is the secondary current calculated by the software in accordance with the turns ratio entered in “Test Object” and the “Itest”. “Iactual” is the actual value of the injected current, “Imeas” is the measured current and “Turns Ratio Nom” is the “CT” nominal turns ratio. “Turns Ratio Act” is measured by comparing “Imeas” and “Iactual” and finally, the assessment is recorded in “Assessment” field in accordance with the difference between “Turns Ratio Act” and “Turns Ratio Nom”; if “Deviation act.” is less than the value specified in the standard, the test “Passes” otherwise it fails. Here, since the fault percentage is less than the value specified in the standard, the test is “Passed”.

In “Phase” section, In “Phase Nom” and “Phase Act” the nominal phase deviation and the measured phase deviation are specified respectively. In “Phase Dev”, by comparing “Phase act” and “Phase nom”, the error in terms of minutes is calculated and the assessment is specified in “Assessment” field. In “Polarity” section, “Pol.Check” field assesses the validity of the polarity. And in the end, after the test is performed, it is necessary to add the results of the assessment to the report which is done by selecting “Add to Report”.

If to perform the test in higher currents or to have more valid results, you wish to perform the test “Manually”, you should set “Choose Measurement Mode” at “Manual” mode and according to the picture, use an ammeter. After checking “Manual”, “Imeas” is editable and you can manually change its number. By entering this value, the software calculates the error and displays it. Note that in “Manual” mode it is only possible to perform the turns ratio test. After selecting “Manual” mode, connect the connectors of the “CT” to the ammeter and set the test time at “5” seconds. Then press “Init Test” to perform the test. After the test is finished, enter the number read by the ammeter in “Imeas” field so that the device can assess the test based on this value. In the end, after the test is finished, if you need to add the test results to the report, you can do that by selecting “Add to Report”.

Two notable points are that first, “Error Other” means that there is a problem in the connections or the route resistance is too high that the device is not able to provide the “Burden” need for current. Therefore, if you faced this error you should check the “Actual” value from “Signal View”. If the current is injected (“Actual Current”) but its difference with the specified current is too much, this means that the resistance is too high and if the “Actual Current” is zero, it means that the current injection route is open. If the route resistance is too high, the test current should be decreased or using several parallel routes and if the “Actual Current” is zero, the connections should be examined. The next point is that the current read by the device needs to have similar cycles. If the read values have too high tolerances or the tolerance is zero, it means that the connectors are not connected correctly.
To perform ratio test you can use the “Ratio and Polarity Test (With Voltage)” tab too. In this tab, tests including turns ratio, polarity and phase movement between “CT” primary and secondary with voltage are performed. In performing these tests, “AC” voltage is applied to “CT” secondary and the primary voltage is measured through “Analog Input”. To perform this test, you need to enter test voltage and time in “Vtest” and “State Time” fields in “State Setting” respectively. Note that this test must be performed after excitation test because the applied voltage must be in the “CT” linear areas. Before starting the test, some points must be taken into account. First: in this test, the voltage is applied form the secondary and measured from the primary. Two: if you wish to remove the noise from the result, check “At Calibration State” option. By checking this option in a “State” before the test, the “Input” voltage is measured and deducted from the result.

Generally, in “Table View” you can view the “States” that are created by the software. As you can see 5 “States” are created. In the first “State” 30 volts is applied, the “Actual” is measured and calibration factor is obtained from the difference between these two so that the test voltage is more accurate during the test. Note that while applying this voltage, the switches are open and no voltage is applied to the “CT”. The second “State” is related to “At Calibration State”. The fourth “State” is the specified test voltage and the third and fifth “States” are half and double the test voltage respectively which are created to measure the best state of the primary voltage. Note that this is why the maximum voltage limit is 220 volts. In “Voltage Measurement Mode”, the “Input” specified to measure the voltage. Note that this item changes automatically according to the test voltage and the turns ratio specified in “Test Object”.


After entering the “State Setting” information, you need to do the wiring according to the picture. Note that by double-clicking on it you can maximize it. In this wiring, “Va1” must be connected to “S1” while “N” must be connected to “S2” and then a wire must be connected to “Input10” for measurement after passing through the “CT”. After doing the wiring, 50 volts and 1 second are entered as test voltage and test time for “CT Protection 500/1” and after pressing “Init Test”, the test starts. In “Signal View”, the waveform of the voltage along with its “Actual” value and the measured voltage can be viewed. After the test is finished, the results can be viewed in “Turns Ratio Result”. “Vactual”, “Vmeas” and “Turns Ratio Nom” are the actual value of the fed voltage, the measured voltage and the “CT” nominal turns ratio respectively. Also, “Turns Ratio Act” is measured by comparing “Vmeas” and “Vacutal” and finally, the assessment is recorded in assessment field in accordance with the difference between “Turns Ratio Act” and “Turns Ratio Nom”. If the difference is less than the allowed value in the standard, the test passes otherwise it fails. Here, since the error percentage is less than the specified value in the standard, the test is passed. This test is assessed in the way that when you specify a test voltage, the current is measured according to the “Burden” entered in “Test Object” and after performing the test and measuring the turns ratio error percentage, the result is compared with the current standards table and assessed.


In “Phase Nom” field in “Phase” section, the phase and in “Phase Act”, the measured phase are specified. In “Phase Dev” by comparing “Phase act” and “Phase nom”, the error is calculated in minute and the assessment is specified in “Assessment” field. “Pol.Check” field in “Polarity” section checks the correctness of the polarity. Finally, after the test is performed, it is necessary to add the assessment to the report which is done by pressing “Add to Report”. Also, if you wish to add some specified parts to the report or delete the report you can use “Add to Report” cog. Note that if the test has been performed using inputs and outputs other than the default settings, first you need to click on “Init Test” and then check “Don’t Change Hardware Setting” and by going to “Hardware Configuration”, in “Analog Output”, activate phases of the intended voltage group and deactivate the rest and perform the test using the intended voltage group. Here voltage group A is deactivated and voltage group B is activated and instead of “Input 10”, “Input 8” is selected and the necessary settings is adjusted.


Megger tab
No test is performed in “Megger” tab. This section is designed so that you can enter “Megger” test result and gather all results in one report. You can enter the number of rows and columns that you need in “Rows” and “Column” fields respectively and by clicking on “Insert”, make your intended table and the results are added to the inserted fields. Also, in “Title” field you can enter a title for your test.

Finally, after all the tests are performed and the results are added to the report, in “Report View” it is possible to view the report as a whole. By right-clicking and selecting “Reorder Reports”, it is possible to change the arrangement of different test results. To do this, you need to select your intended report and by using “Up” and “Down” keys move the report or by using “Delete”, delete it. Furthermore, if you wish to delete the added report, or edit the entered information, you can use the blue option named “Edit & Delete Report”.


Calculation of CT and PT Turns Ratio
The first point to consider when testing the transformation ratio of CT (Current Transformer) and PT (Potential Transformer) is that the accuracy class is defined for the working conditions of nominal burden and nominal current for these transformers. For example, for a CT with a 0.5 accuracy class and a 5 VA burden, the transformation ratio error will be a maximum of 0.5% at 1 A current, assuming a 5 VA load is connected to the CT terminal.

A common method used for testing in substations is to short-circuit the CT secondary and inject current (typically 20%) into the primary, measure the current flowing through the secondary, and record the transformation ratio. For PT, the usual method involves applying voltage (2-12 kV) to the PT primary and measuring the open-circuit voltage at the PT secondary. As evident from the common testing methods, these transformers are not tested under their actual working conditions, and the tests merely determine the "turns ratio" between the primary and secondary, which may be outside the designed accuracy class. Therefore, to determine the transformation ratio error, the test must be conducted under different conditions.
CT Testing
For testing the transformation ratio and accuracy class of the CT under different loads and currents, voltage is applied to the secondary, and the primary voltage is measured.


In the first stage of this test, the "turns ratio" between the primary and secondary is obtained. The voltage for this stage of the test is calculated by dividing the nominal burden by the nominal secondary current. In addition to this voltage, half and double of it are also applied to achieve better measurement accuracy.

By applying higher voltages, the CT turns ratio is obtained. At this stage, the transformation ratio error must be calculated at various burdens and currents (based on nominal current). For example, transformation ratio error calculations are provided for three different scenarios:
1) 100% current and nominal burden.


2) 100% current and 50% nominal burden.


3) 50% current and 50% nominal burden.

Using this calculation method, the CT transformation ratio error can be obtained under various current and burden conditions.
PT Testing
For PT testing, the turns ratio between the PT primary and secondary must first be determined. To do this, apply 450V to the PT primary, and measure the open-circuit voltage at the PT secondary. In this way, the "turns ratio" between the primary and secondary is obtained.

In the next step, the transformation ratio error at different burdens must be determined. For example, transformation ratio error calculations are provided for two different scenarios, assuming a secondary resistance of 0.1 ohms:
1) 100% nominal burden.

2) 50% nominal burden.

In measurement CTs (Current Transformers), a parameter called Fs (Security Factor) exists, which is used to describe the CT and its accuracy class. According to the IEC60044-1 standard, Fs is defined such that at a current of Fs times the rated current, the composite error in the secondary is 10%. For example, for a CT with a class of 0.5Fs10, at 10 times the rated current, the composite error is 10%. On the CT nameplate provided in this example, Core number one is a measurement type and its class is 0.2Fs10. This means that at 10 times the rated current, the composite error at the output is 10%. The 0.2 figure before Fs represents the accuracy class of the CT at the rated current. This means that at 100% and 120% of the rated current on the primary side, the ratio error at the secondary terminal is less than 0.2%.

For protective CTs, a similar concept exists known as ALF (Accuracy Limit Factor). To explain this parameter, consider the previous example. Core number 2 is a protective core with a class of 5P20. In this example, ALF = 20, and according to the definition provided by IEC60044-1, at 20 times the rated current, the composite error is 5%. For a more detailed explanation, consider a protective CT with a class of 10P5. In this case, ALF = 5, and according to the definition, at 5 times the rated current, the composite error is 10%.
One key point about these two parameters is that for measurement CTs, the actual Fs is less than the value indicated on the nameplate, whereas for protective CTs, the actual ALF is greater than the value shown on the nameplate
Ratio Error and Composite Error
According to the definition provided in the IEC60044-1 standard, the ratio error is represented as follows:


ALF or Fs is where the composite error is 5% or 10%.
According to the definition, ALF or FS is where

To calculate the composite error using the indirect method (disregarding the ratio error), it can be said that the parallel branch current is the cause of the composite error between the primary and secondary sides. Therefore, to ensure that the composite error at Fs times the rated current is 10%, the parallel branch current must be 10% of the output current.

In such conditions, the parallel branch voltage is also equal to Fs times the parallel branch voltage under conditions where the rated current passes through the CT terminal at the nominal load:

According to the provided relationship, for a specified ALF (Fs), there is a line with a constant slope. The intersection of this line with the saturation curve indicates the point where the CT’s composite error is 10%.

By dividing the obtained voltage by the nominal impedance, the output current is obtained, and its ratio to the rated current will correspond to ALF (Fs)

The instrument module is designed as a user interface. The capacity of these modules is the same as the device, but with the difference that by performing the wiring once, you can perform all the related room tests in a much shorter time and with a much lower wiring error rate.
First, Install the Base module. Install the Base module on the front panel of the device so that the male banana of the Base module fits into the indicated section. Then install three batteries with the specifications of 18650 lithium battery, 4.2 volts, 2000 milliampere hours, in order from right to left in the indicated state. Place the corresponding module, which in this test is the CT module, on the Base module and then tighten the three screws of the CT module. Finally, turn on the module. Check the battery charge. You will see 4 squares that indicate the battery charge percentage, with each square indicating 25% of the battery charge.
When you connect the battery charger to the module, the corresponding square will start blinking according to the battery charge percentage. When the battery is fully charged, all the squares will start blinking.
Warning: Do not use the module to perform tests while the batteries are charging. The reason for using a battery on the module is to isolate the module power supply from the device power supply and eliminate noise.
Important notes:
• The eye sensor of the Base module must be completely placed on the Error light of the device.
• The first time the batteries are installed on the module, even if they are fully charged, due to the defined protection, the charger must be connected to the module once for the module to turn on.
Calibration:To perform the calibration, enter the Setting window from the software start page.In the Hardware tab, click Apply Calibration Instrument and after 5 seconds the calibration will be completed. CT Room Settings: Enter the CT room and set the Type Device to 205AMT. In the Accessories section, set Version Mode Esay to 01Ver_205_CT.
Note: Module calibration is only required once and should only be performed if the device or base module has been replaced.
Wiring: Connect 1Cp to the positive terminal of the capacitor box. Connect CapCom to the negative terminal of the capacitor box. Connect 1Vs to 1S of the CT. Connect 1S to 1S of the CT. Connect 2Vs to 2S of the CT. Connect 2S to 2S of the CT. Finally, connect 1Vp to 2Vp of the module after passing through the CT.
After completing the wiring, perform the remaining steps of the test without considering the old wiring.
One of the Instrument which can be tested by an “AMT” is “Circuit Breaker (CB)” with a maximum excitation current of “2.5” amps which is used to connect and disconnect lines and other high-voltage equipment. When a fault occurs in the equipment and lines, the CB automatically stops the faulty system. When there is a fault, the CB must be able to react with certainty and command automatically. The “AMT” is capable of testing “Medium Voltage” CB with a maximum supply voltage of “210V” and “2.5amps” of “Coil Current”. By clicking on “Circuit Breaker(CB)” on the “Start” page, the “CB” test room opens. In this room, by adjusting the required settings, it is possible to perform “CB Time Test”, contact resistance and minimum voltage to operate test. “Test Object” and “Megger” tabs are used to enter the nominal information of “CB” and the results of “Megger” test respectively.

Every room, to perform the test, needs some information about the equipment to be entered in “Test Object” tab. In “General Information” tab, information about the “CB” which should be added to the report is entered. In “Serial Number”, “Type”, “Station”, “Feeder/Bay”, “Phase” and “Manufacturer” fields, the serial number, type, name and address of the substation, feeder’s name, phase number and the name of the manufacturer are entered.

In “Operating Time” section, the minimum and maximum allowed times in different modes are entered. Since open command is sent to the “Breaker” bobbin, up to the moment the CB poles are detached is called “Opening Time” while since the “Close” command is sent, up to the moment the CB poles are closed is called “Closing Time” whose minimum and maximum allowed time should be entered in the related field. “Tmin” and “Tmax” fields in front of “Opening Sync” and “Closing Sync” determine the maximum allowed time difference between the opening of 3 poles and closing of 3 poles of the CB respectively.

Since the “open” command is sent to the breaker, up to the moment the CB poles are closed again after opening once, is known as “Open-Close Time” and its minimum and maximum allowed times are entered in the related field. In “Open Close Voltage Setting” section, the amount of the open and close voltage of CB bobbins is selected from among “AC & DC”. Also, in “Supply Voltage” and “Threshold” the amount of supply voltage and the threshold voltage to begin the measurement of the CB operation time are entered respectively. About “Threshold”, note that, when the voltage of the binary 7 or 8 goes below the value specified in this field, the device starts measuring the time. In “Resistance Contact” field, the ideal resistance of the CB poles are specified and the minimum and maximum allowed are entered in front of it. All the information of “Test Object” tab is entered from “Test Sheet” or the results of the previous tests.


In “Extra Data” section, in “Date”, “Tested By” and “Approved By” fields, date of the test, information of the test man, and information of the supervisor are entered respectively. By checking “Easy Mode” option in “Accessories” section, the wiring format of the tests changes. This wiring is in accordance with the board designed for “CB” test by VEBKO company; this board is connect on the front panel and there are relays placed on it that can manage the wiring automatically which makes the test easier. The number entered in “Averaging” field indicates the number of cycles which are used for doing the calculations. This number is set at 1 by default. The more the number of cycles, the more cycles and time are considered for calculations by the software in “AC” and “DC” modes respectively. Doing this increases the calculations which leads to a more accurate test result.

By checking “Add to Report” option at the bottom of the page, this information is added to the report and the message “The report was added to the list” is displayed. It is possible to view the report by selecting “Report” from the strip at the right. By clicking on “Delete Report” in “Delete from Report” window, the report added is deleted. If “Set as default” is checked, the entered information is saved as default and by opening the “Circuit Breaker(CB)” room at any time, this information is displayed.

One of the most important tests performed in CB is “Timing Test”. To perform a “Timing Test” it is necessary to specify three main important sections including 1- Supplement method of bobbins, 2- Wiring type of “Binary Outputs” and 3- type of “Binary inputs”.

The supplement method of bobbins is specified in “Power Supply” section which is set at “AMT” by default and its value is taken from “Test Object”. To control the voltage applied to “Open” and “Close” bobbins, “Binary Outputs” of the device are used. In “Binary Output” section it is specified that which “Binary Outputs” are to be used to control “Close” and “Open” commands which is set at “Series” by default. In this mode, huge voltages which occur during opening and closing are divided between the two relays which prevents damage to the device. But if one of the “Binary Outputs” is not available, by selecting other options, it is possible to use only two “Binaries”. For example, by selecting “Bin1” and “Bin4” you can only use the “Binaries” 1 and 4. In this instruction, “Series” mode is used.

“Binary Input” is used to sense when the CB is closed or open. Since there is noise in substations, “Binary Inputs” are set at “Wet” by default so noise is removed from the “Binary Inputs”. But if there is no noise in the test environment you can set the type of “Binary Inputs” at “Dry” and by changing the “Binary” type, the wiring changes as well.

Next you need to select the test type from among “Open—Close—Open Close--…” By selecting any of them, you need to enter the time in the specified box. For example, in “Open” test, you need to enter “three” times in the designed fields; the first “time” is related to before command, the second “time” is related to the Duration which the command is kept on the bobbin and the third time is related to after command. In this example, the bobbin is supplied by the device and “Binary Output” and “Binary Input” are set at “Series” and “Wet” respectively. For “Open” test, the default time values are considered as the time values. Then, you need to set the wiring according to the specified picture. Note that by double-clicking on the picture, it is possible to magnify it. In this wiring, the specified connections must be set, those points that have the same name must be connected to each other, Close and Open bobbins must be connected to the lower end of “Binary Outputs” number 3 and 4 and finally, the connections of “Binary Input” must be set to receive the key contacts. After setting the wiring, open “Signal View” and initiate the test by selecting “Init Test”. In “Signal View” window, it is possible to view the voltage and current loaded from the device as well as the CB opening time. “Vc1+” and “Vc2+” indicate the status of the “Close” command control “Binary Outputs” while “Vo1+” and “Vo2+” are indicators of the status of the “Open” command control “Binary Outputs”. “L1”, “L2” and “L3” indicate the status of the CB contacts:


Three colored lines mean that the CB contacts are closed while no lines suggest the opposite. “AUX Open” and “AUX Close” signals are used to determine the origin time for measuring the performance time. As mentioned before, the CB performance is measured since when the voltage of the “Binaries” 7 and 8 exceeds the “Threshold” specified in “Test Object”. Moreover, the test results are available in “Summary of Result” section. In this section, the peak current and “Steady State” current and in the “Open” table the opening time of each contact is provided separately. Note that the evaluation of these times is done in accordance with the “Opening Time” and “Opening Sync” specified in “Test Object”. If the operating time is somewhere within the range specified in “Test Object” the test “Passes”, otherwise it “Fails”. For adding the results to the report, you can do so by pressing “Add to Report”. Also, if you wish to add some specific parts to the report, or delete and edit the report, you need to use the “Add to Report” cog. By clicking on this cog, you can view the items that can be added to the report. If you do not need each of them, you can unselect by unchecking them. Note that after performing a test the results are not automatically added to the report and it is necessary to add the results to the report by “Add To Report” before “Clearing” the test.


In the following, some points about the test are provided:
The first point is that if you wish to use only one voltage group, first you need to press “Init Test” and then check “Don’t Change Hardware Setting” and by going to the “Hardware Configuration”, activate your intended voltage phases and deactivate the others in the “Analog Output” tab and perform the test using only the voltages of the intended group. For example, here voltage group “A” is activated and voltage group “B” is deactivated.

The second point is that when you enter “150” milliseconds as the command time, this means that the command voltage is kept on the bobbin for “150” milliseconds. If you check “Command Termination Trigger” option and enter “10” milliamps as the “Minimum Time”, the command is removed from the CB, “10” milliseconds after its operation. To view this item, “Close” test is selected. To initiate the test, “Init” is pressed and test starts. After that, you can see that because of checking this option, unlike the previous case, “10” milliseconds after the CB operation the command is removed.

The third point is that if the current needed to exciting the bobbin is more than “2.5” amps, it is necessary to use an external source. In this case, check the “External” option and set the new wiring and start the test after pressing “Init Test”. If you are using an external source to provide the voltage of the bobbins, to better protect the bobbins, put a glass relay with the “Binary Outputs” in series so that if something unexpected happened to the “Binary Outputs” which made them no longer able to disconnect the voltage applied to the bobbins, the CB is not damaged and in this way you can have more control on connecting and disconnecting the supply applied to them. In using a glass relay, since the voltage of the binaries number 7 and 8 is used as the time origin, delay of the glass relay has no effect on the test result and this delay is deleted by the software.

Also, when testing the CB time test, it is necessary to know the current loaded by the CB. A “100” milliohm resistance is considered for this and when the current flow, a voltage is measured by the “Binary Input” 10 and by dividing the voltage by the resistance, “Coil Current” is calculated by the software and displayed in “Coil Current” section in “Signal View”.


The third point is that “Error Other” while performing a test means that there is an issue with the connections or the high current loaded by the bobbins in a way that the device is unable to provide needed current. Therefore, in case of encountering this error, check the “Actual Current” value in “Signal View”. If the “Actual Current” reaches “2.5” amps and then the test is stopped, it means that the device is not capable of injecting that current and an external source should be used. If the time recorded in the table is “-1ks”, this means that the CB has been “Open” before performing the test or it has been closed for the “Close” test of the CB. In this case, other than the wiring, you need to check whether the CB is closed or open.
In this tab, ohm resistance test of CB contacts is performed. The test settings include “I Test” and “State Time” is specified in “Test Setting”. As you know, the method used by “AMT” to measure the resistance is dividing the measured voltage by the injected current. In “Voltage Measurement Mode” section, you can select from among inputs “1” and “10” for the measurement in accordance with the voltage level and the maximum CB contact resistance. As you can see, “Bin 01” has two voltage levels for the measurement. The first level is “4.5” volts on “Wet4.5” while the second level is on “Wet30” but since the device current resources can only produce up to “8” volts, this item is limited to “8” volts.

In “Result” section, the ohm resistance measurement result of each contact is displayed. To perform this test, first, you need to add as many rows as the contacts by right-clicking and clicking “Add”. Then, set the wirings in accordance with the specified picture. Note that by double-clicking on this picture you can magnify it. In this wiring, you need to “Jumper “la1”, “lb1”, “la2” and “lb2” together and “la3”, “lb3”, “la4” and “lb4” together and connect “la1” and “la4” phases to the CB contact in accordance with the picture. To measure the voltage, the selected “Binary Input” should be connected to the CB contact and further from the current connectors. Note that to perform the test using a clamp and injecting high currents, multiple parallel wires should be used and they should be connected to the side where there are three pins while the voltage measuring wire should be connected to the side where there is only one pin. To perform the test, right-click on the phase related to that row and select “Apply Test”. In “Signal View” section, the waveform of the current along with its “Actual” values and the measured voltage can be viewed. Also, in “Table View”, you can see that two “States” are created in accordance with the settings specified in “Test Setting” and the test is performed. Note that, to test each contact, you need to add the related row in “Result” section and test each contact separately by setting the specified wiring.



In this table, custom name, name of the phase, the measured voltage, the actual injected current, the measured resistance and the result of the assessment are entered in “Name”, “Phase”, “V DC”, ‘I DC”, “Rmeas” and “Assessment” fields respectively. Note that the test assessment is done by comparing the resistance entered in “Test Object” and the measured resistance.

In the end, after the test is performed, the results should be added to the report which is done by clicking on “Add to Report”. Also, if you wish to add specific parts of the test to the report delete or edit it, you can use the “Add to Report” cog. By clicking on this cog, you can see that the items that can be added to the “Report” are checked and if you do not wish any of these items to be added to the report, you can simply uncheck your intended item. Also note that the test results are not automatically added to the report after performing a test and it is necessary to add the results to the report by selecting “Add to Report” before “Clearing the test”.

In performing this test, it is imperative to note the following:
First: “Error Other” in performing the test means that there is a problem in connections or the current route resistance is too high that the device is not able to provide the “Burden” needed to inject the current. Therefore, in this case, check the “Actual current” from “Signal View”. If the current is injected (“Actual Current”) but the difference with the specified current is too large, this indicates the high route resistance and if the “Actual Current” equals zero, this means that the current injection route is open. In the cases where the route resistance is high, the test current must be decreased and if the “Actual Current” equals zero, the connections must be examined. make sure the CB is closed.

Second: the measured voltage must have similar cycles. A high tolerance or a zero voltage means that the connectors are not connected correctly.
Third: in cases of facing “Error: Over Voltage”, you need to select the “Input” with the bigger “Max Voltage” from “Voltage Measurement Mode” section.

Fourth: if you wish to modify wiring or use binaries other than “1” and “10”, first you need to check “Don’t Change Hardware Setting” and then apply the desired hardware modifications.

Fifth: “at Calibration State” option is used to remove the ambient noise effect from the voltage of the binaries. If this option is checked, in the first “State” the voltage is measured and deducted from the final result.

One of the most important tests that can be performed on circuit breakers is the “Circuit breaker operation minimum voltage test” or “Minimum Voltage” which is performed in “Minimum Voltage to Operate Circuit Breaker” tab. In this test, it is possible to find the minimum voltage which can cause the circuit breaker to operate by gradually increasing the voltage applied to the two ends of “Open” or “Close” bobbin.

In the first step of this test, the equipment to be used in the test is selected from among “New Device” and “AMT” which is set at “AMT” by default and here we proceed without changing it. Then you need to specify that whether you are going to perform a “Close” test or an “Open” test. Note that since some circuit breakers have two “Open” and two “Close” bobbins, there are “Open1” and “Open2” as well as “Close1” and “Close2”. In this video we are going to perform the minimum voltage test once for “Close” mode and once more for “Open” mode.

As the next step, you need to specify that whether the device is to detect the circuit breaker operation based on the contact reception or current drop; in this video we are using the former which is a more accurate and reliable method. In this method you can also specify that whether the test is to be performed in three-phase or single phase mode; here three-phase is selected. “Wet” is selected as the contact type so that noises cannot cause any dysfunction in the process. Note that by selecting any of the options in this section, the wiring changes. For example, if single phase or “Dry” are selected, you can see the change in the wiring.

In this test two methods are available to apply voltage to stimulate the bobbin. Using the “Manual” method, you specify a particular voltage and after pressing “Init Test”, apply that to the circuit breaker. But in “Pulse Ramping” method you can increase the voltage gradually and find the minimum voltage which can cause the circuit breaker to operate. By selecting “Pulse Ramping”, a graphic figure is displayed whose different parameters must be specified. Let us explain this with an example.


In this example the voltage is increased from 35 to 80 volts with 0.5 volt steps and each step takes 0.5 second. The value for “Reset” voltage is 5 volts and its application time is considered to be 0.5 second. After specifying these factors, the wiring is done according to the guide available in the picture. In this wiring, first, the two voltage sources are paralleled in order to use the maximum current of the device, and then they are connected to the control coil to apply the fed voltage. Afterward, in accordance with the number of contacts selected, (3 is selected in this test) L1, L2 and L3 contacts are connected to Binary Inputs to record the operation of the circuit breaker. After selecting “Coil Close1” and adjusting the wiring, “Init Test” is selected and the test runs. By opening the “Signal View” window you can view the applied voltage as well as the injected current. After the circuit breaker operates, the minimum operation voltage along with the amount of current drawn during the operation is displayed in “Result” section. By selecting “Add to Report” the test result is added to the output report. To test the “Open” bobbin of the circuit breaker, “Coil Open1” is selected and after pressing ‘Init Test” the test is reruned and the results are added to the output report.

In using the “Coil current” method the wiring is changed and the circuit breaker operation is detected based on the current drawn from the resource. You need to specify the minimum current which is drawn from the device when the circuit breaker operates in “Min Coil Current” field. Here 1.5 amp is selected. For “Pulse Ramping” the same settings used in the previous example are used. After adjusting the wiring and pressing “Init Test” the test runs. In “Signal View” you can see that for every “Pulse”, current is drawn from the device and in current …. And voltage ….. the test result is achieved and the results are recorded in “Result”. The results of this test are added to the report by selecting “Add to Report”.








Post “DC” resource test: it is possible to perform the post “DC” resource test in “Check DC Ground” section. In posts whose potential difference is provided by two resources, it is possible to examine the parallelism of the two. For example, if the post uses a positive 100 volts and a negative 100 volts resource to provide 200 volts of “DC” potential difference, by performing this test, it is possible to examine that how much is each of these two potentials deflected from the intended 100 volts. To do this test, you need to specify the nominal voltage and maximum allowed tolerance after checking “Check DC Ground”. Here “100 volts” and “%10” are entered as the required values and then the wiring is adjusted in accordance with the figure. After pressing “Init Test” and running the test, in “Plus Voltage” and “Plus Voltage dev”, the positive potential difference and its difference with “Nominal Voltage”, “Negative Voltage” and “Negative Voltage dev” as well as the negative potential and its difference with “Nominal Voltage” are displayed.


“Check Corresponding”: since in some electrical installations multiple voltage resources are used to supply different equipment, it may be necessary to test the positive and negative potential of the existing cables so that no mistake occurs in terms of positive and negative potentials. For this test, the maximum voltage allowed between the two poles of the two resources is entered in “Voltage Drop” field. To be precise, suppose that two resources of “A” and “B” are being used to supply the equipment. Normally there should not be any potential difference between the positive “A” and negative “B” sides of the resources. If there is any potential difference between these two it means that they both belong to the same resource and can be used to supply the equipment.

“Check Short Circuit”: by doing this test you can test the health of a bobbin. To do so you need to specify a voltage and a reference resistance in “Voltage” and “Rref” fields respectively. After doing the wiring and running the test, the drawn current is measured and then the applied voltage is divided by the drawn current and the self-resistance is calculated. If this resistance is smaller than the reference resistance specified in “Rref” field, it means that the self is short circuited.



Since it may happen that some users have also performed “Megger” test for this equipment and they wish to have the results in a report, in this tab they can create their intended table by selecting their desired row and column and then “Insert”; after entering the test results and selecting “Add to Report”, the information will be added to the output report. Other options include “Delete Report” which is used to delete the information of this page from the report as well as “Export” and “Import” options which are used to export the information of this page or import them if necessary. Also, if you wish to set the characteristics entered for the created row and column as the default for this section of the room you can use “Set as Default” option.


The Instrument Module is designed as a user interface. The power of these modules is the same as the device, with the difference that with a single connection, you can perform all relevant tests in a shorter time and with significantly lower connection error rates.
First, install the Base module on the front panel of the device so that the male pins of the Base module fit into the shown section. Then, install three batteries with the specifications of Lithium-ion 18650, 4.2 volts, 2000 mAh, from right to left as shown. Place the relevant module, which in this test is the CT module, on the Base module. Tighten the three screws of the transformer module and then turn on the module. You will see 4 sections indicating the battery charge percentage, where each section represents 25% battery charge.
Also, when connecting the battery charger to the module, the corresponding section will start flashing according to the battery charge percentage. When the battery is fully charged, all sections will start flashing.
Warning: Do not use the module for tests while the batteries are charging. The reason for using batteries on the module is to isolate the module's power supply from the device's power supply and to eliminate noise.
A few important points to note:
1. The optical sensor of the Base module must be completely aligned with the device's Error
light.
2. The first time the batteries are installed on the module, even if they are fully charged, you
need to connect the charger to the module once due to the defined protection to turn the
module on.
Now, to perform calibration, enter the Settings window from the software's start page, click on Apply Calibration Instrument in the Hardware tab, and after 5 seconds, the calibration will be completed. Enter the Transformer Room, set the Device Type to 205AMT, and in the Accessories section, set the Version Mode Easy to CB _205_ Ver 01.
Note that module calibration is only necessary once and should only be performed again if the device or the Base module has been replaced.
For connection, if using the device's internal power supply: connect the Close output of the module to the Close coil of the switch, Open to the Open coil, and Com to the common part of the Open and Close coils of the switch.
Additionally, for connecting the switch contacts to its test module, you will need two sets of six voltage and current cables. Each switch contact must have one voltage wire and one current wire connected to the module. For example, from contact L1of the switch, connect one voltage wire named L1 and one current wire named IL1 to the module, and similarly, from contact L1N of the switch, connect the voltage wire L1N and the current wire I L1N to the module. The same connection applies to other contacts.
On the switch test module, the M+, SH+, and SH- outputs are also used according to the existing connections in the Current Motor test.
Voltage transformers are composed of a core, two windings, and insulation. VTs convert the high voltage of the primary side to low voltage on their secondary winding with the turn ratio written on their plate.

Because of the internal casualties such as copper and iron casualties, the vector of the secondary voltage is different from the primary voltage. Moreover, the connected burden is capable of affecting the turn ratio error and phase displacement. If the actual amplitude of the secondary voltage is lower than nominal secondary voltage, the amplitude error is negative. Also, if the secondary vector is lagging in relation to the primary vector, the phase error is negative.


To compensate for the turn ratio error, sometimes manufacturers adjust the number of primary or secondary turns. Nowadays, most of the VTs that are used in the industry are either inductive VTs or capacitive VTs which are called “CVT”.

CVTs are composed of an inductive VT, a high-voltage capacitive divider and a compensator reactor. In the IEC standard, the title CVT is used for this equipment but in the ANSI standard, this equipment is called CCVT. The compensator rector is designed in a way that it can compensate for the phase displacement caused by the capacitive divider.

All CVTs can be used for measurement purposes but only certain types of this equipment are suitable for protection purposes. Dual-purpose CVTs (measurement and protection) must be in accordance with all of the considered descriptions and the current standards.

According to the maximum allowed error percentage, the accuracy class of the protection CVTs is considered to be from 5 percent of the nominal voltage to a coefficient of the nominal voltage (Rated Voltage Factor) and after its value, the letter P is used. 3P and 6P are the standard accuracy classes for protection CVTs. For example, 3P accuracy class means that the maximum allowed error is 3 percent. Moreover, in IEC standard, three classes of T1, T2 and T3 are considered for the function of CVT in transient state. For example, 3PT2 class indicates that the function of the 3P class is for protection purposes and T2 class is for transient states.

Classes related to the transient response are defined in the following table:

In the above relation, Us (t) is the response for the transient secondary voltage. For example, for the 3PT2 class, the relation of the transient voltage to the nominal voltage peak from 10 ms to 90 ms after the beginning of the transient state, It should decreas and be in the range of less than 25 times to 0.2.
In this regard, it is necessary to pay attention to several points:
CVTs need a damping piece of equipment for the 6PT3 and 3PT3 transient response classes.
By agreement between the manufacturer company and the customer, it is possible to consider different values for the turn ratio and Ts time.
Selecting the transient response class depends on the characteristics of the protection relays.

About Measuring CVTs, the accuracy class is defined based on the highest allowed error percentage in the nominal voltage with the nominal burden. The standard accuracy classes for single-phase Measuring CVTs are considered to be 0.2, 0.5, 1.0 and 3.0.

To perform a test, every module needs a set of information about the equipment which is entered in “Test Object”. In this tab, the general characteristics of the “CVT” and its information for performing the test and adding to the report are specified. In “Data” section, information such as serial number, model, the manufacturer company and the installation location of the “CVT” are entered to be added to the report.

In “Winding Material” field in “Temperature Correction” section, the conductor type of the windings is selected from among “Copper” and “Aluminum”. In “Winding Temp.” field the current temperature of the windings and in “Reference Temp.” field, the reference temperature for measuring the resistance of the windings are entered so that they can be used to correct the values measured in different temperatures. Usually, the reference temperature which is 75 degrees is written in front of the secondary winding resistance on the plate of the “CVT”. In “Correction Factor” field which is uneditable, the temperature correction factor is calculated by the software in accordance with the current ambient temperature as well as the reference temperature and the winding material. It is possible to view the relation used for calculating this factor, by holding the cursor on its field.

The „RMS“ value of every parameter is calculated based on the average of several time periods. As the number of these time periods increases, it takes longer to make the calculations but also the accuracy increases and there will be fewer fluctuations. The number of these time periods is entered in „Averaging“ field in „Noise Suppression“ section. This field is the same as „No. of period“ field in „Setting“ in „Signal View“ window.

In “Date” field in “Extra Data” section, the date of performing the test is entered in AD and the information about the performer of the test is entered in “Tested By” field. Also, the information about the supervisor is entered in “Approved By” field.
In “Data Table”, the characteristics of every core and tap are entered in every row in accordance with the characteristics plate. The core number and the tap number are entered in “Core Number” and “Tap Number” fields, respectively. The primary parameters are entered in “Vprimary” and “Primary Factor” fields while the secondary characteristics are entered in “Vsecondary” and “Secondary Factor” fields. The burden is specified in “VA” field and in “CLP” and “CLM” fields, the Protection Core and Measuring of the transformer are entered, respectively. Likewise, the information related to the two other taps of the CVT that are being used is specified. Also, if the characteristics of the “VT resistance” are available, it is possible to check “Show Resistance Column” option to add the related column to the table. By checking this option, some changes are made in the “DC Resistance” test table which will be thoroughly explained in its related video.

Also, by pressing the „Add to Report“ option in the box at the bottom, this information is added to the output report and a message stating „The Report was added to the list“ is displayed. It is possible to view the report by selecting „Report“ window from the bar at the right. By clicking on „Delete Report“ option in „Delete From Repor“ window, the added report is removed. If „Set as default“ option is checked, the entered information is saved as default and every time, by opening the „Capacitor Voltage Transformer(CVT)“ room this information is displayed.

In this test, the “Burden” connected to the “CVT” secondary is measured. In this test, by injecting “AC” current and measuring the “AC” voltage by “Binary/Analog Input” and dividing voltage by current, “Z” and its angle and consequently “R” and “X” values are obtained. To do this test, after going to “State Setting” section, the current and time of the test must be entered in “I test” and “State Time” fields, respectively. The current limitation specified for this field is “32” amperes. After entering the “State Setting” information, the wiring must be done in accordance with the instructions picture. It should be noted that by double-clicking on the picture, it is possible to magnify it. To perform this test, in the first step, the “CVT” must be separated from all elements that are used for transferring voltage to measurement devices. In this wiring “Jumper” “la1” and “lb1” current outputs and connect “la2” and “lb2” to the “CVT” voltage transmission path.




Also, to measure the “AC” voltage, “Binary/Analog Input1” must be connected to the test path a little further from the current injection connectors. This should be noted that before performing the test, it is necessary to press “Init Test” so that the device is automatically “Configured”. By selecting this option, the settings including current and test time as well as hardware settings related to “Hardware Configuration” including the outputs of the device and “Binary/Analog Inputs” are adjusted by the device automatically. In “Analog Output” tab in “Hardware Configuration” section, we can see that the wiring of the device is set at “32A” with the maximum “Burden” of 400 Volts ampere and the “Binary/Analog Input1” is activated for voltage measurement. To better analyze the test, “Table View”, ”Detail View” and “Signal View” windows can be used. After opening “Table View” window, you can see that a “State” with the “50Hz” frequency and in accordance with the entered information in “State Setting” section is created. If you wish to view the information more thoroughly, use “Detail View” window instead.






After adjusting the wiring, here, 5 amps and 5 seconds are entered as test current and test time, respectively, and after pressing “Init Test”, the test starts. In “Signal View” it is possible to view the waveform of “Actual” and the voltage measured by “Binary/Analog Input”. Also, in “Signal View” by using the waveforms of “Actual” and the voltages recorded in “Signal View” it is possible to examine the connection of the connectors. In “Result” section, the user can view the results after the test is finished. The results include “linj”, the amount of injected current, “Vmeas”, the measured voltage, impedance, “impedance Angle” and finally the values of “R” and “X” are displayed using the “Z Cos(phi)” and “Z Sin(phi)” relations, respectively. In “Actual Burden” field, the amount of burden that the “CT” secondary can supply in the nominal current is calculated and the result is entered in this field by the software. In the end, after the test is finished, it is necessary to add the test results to the report which, in equipment test, is done by pressing “Add to Report”.

Also, if you wish to add certain parts of the evaluation to the report or to edit the report, use “Add to Report” cog. By clicking on this cog, the elements that can be added to the “Report” are displayed by checked checkboxes and you can uncheck any undesired elements. Note that after any test, the results are not automatically added to the report and it is necessary to add the results of the performed test to the output report by pressing “Add To Report” before “Clearing the test”. It should also be noted that if the “Burden” of the path is low and the user wishes to have a more accurate measurement or “Binary/Analog Input1” is damaged, it is necessary to change the specified “Binary Input”. To do this, after pressing “Init Test” and checking “Don’t Change Hardware Setting” option, the user must enter “Hardware Configuration” window and specify a new input in “Binary/Analog Input” tab. Here, as an example, “Input10” is selected and after adjusting the necessary settings, the test is performed and the results are viewed. If you wish to select a binary between binaries “1” to “8”, you have to enter the “Binary Input Target” in accordance with the default binary number. For example, to use “Input7”, “Bin1” must be selected as the “Binary Input Target”. For this, it is suggested to right-click on “Input1” row and “Cut” the information and “Paste” it in the intended row. To change the current wiring, it should be noted that the “Output Target” of the selected wiring must be “lL1”.





Two more notable points in performing the test are that first, “Error Other” in a test indicates that there is a problem in the connection of wirings of the current path or resistance is too high that the device is unable to provide the “Burden” needed for current injection. Therefore, in cases of facing this error, you can go to “Signal View” and examine the “Actual” value of the current. If the current is injected by the device (“Actual Current”) but its difference with the specified current is high, this means that the path resistance is high and if the “Actual Current” is zero, it means that the current injection path is open. Where the path resistance is high, the test current must be decreased and in cases of a zero “Actual Current”, the connection of connectors needs to be examined. The second point is that the voltage measured by the inputs of the device needs to have similar cycles. If the measured values have too big tolerances or they are zero it means that the connectors are not correctly connected.


To perform a short-circuit impedance test, as can be seen in the picture, the primary winding is short-circuited. AC current injection is done through the secondary coil and the voltage difference that happens on the terminals, is measured through the inputs of the device. This measurement must be repeated for the other secondary coils. The obtained impedance called Zsc_x is a combination of primary and secondary stray losses.


Where RP”, Xp” and x stand for the resistance of the primary winding which is transferred to the secondary side, the leakage reactance of the primary winding which is referred to the secondary side, and the indicator which is considered for the secondary winding or in other words for where the current is injected from, respectively.
CVT Equivalent circuit

To perform this test, first, 1 is entered as the amount of the injected current in I test field and 1 is entered as the test time in State Time. By pressing Insert Rows button, it is possible to create other rows for testing other coils. After adjusting these settings, the wiring must be done according to this picture. In this picture, first phase of current groups A and B are made series so that the maximum Burden of the device is used. Then, the outputs of the device are connected to the CVT. To measure the caused voltage difference, input number 1 must be used. It should be noted that, in this wiring the voltage connectors are connected ahead of the connectors of current injection. Finally, to perform the test, by right-clicking on any of the rows in Table section and selecting Apply Test, the test runs and the resistance value of the intended coil is measured.






After the test is finished, to add the results to the report “Add to Report” button can be used. Also, by using the cog next to this button, you can remove the items they do not wish to be added to the report before selecting “Add to Report” option. if, for any reason, wish to modify the wiring of the device, first they need to apply the test once and then check “Don’t Change Hardware Setting” option and select a different output from “Hardware Configuration” window and then set the Output Target at “IL1-E” and run the test after changing the wiring. To select other inputs, it should be noted that the selected Binary Input Target must be in accordance with the default “Binary Input Target”. For this, it is suggested to right-click on “Input1” row and “Cut” the information and “Paste” it in the intended row.





Winding resistance test is done in “Resistance Test” tab. In this test, by injecting “DC” current into “CVT” secondary and measuring voltage through the “Input” and dividing voltage by current, “DC” resistance or “Rmeas” is calculated. It should be noted that in the software, there is only one row in the test table by default. If the “CVT” has more than one taps or cores, by pressing “Insert Rows” it is possible to add as many rows as necessary and test any of them. To perform this test, the test current and time must be entered in “I test” and “State Time” fields in “State Setting” section, respectively. The current limitation specified for this field is “32” amps but “1” amp of current is usually enough for this test. About rows of the “Result” table, it should be noted that if “Show Resistance Column” option in “Test Object” is checked, three more columns including “Rnom”, “Rdev” and “Assessment” are added to the table where “Rnom” and “Rdev” refer to the nominal resistance and the difference between “Rnom” and “Rcorr”, respectively. If “Rcorr” is lower than “Rnom”, the “Assessment” is “Passed”, otherwise it is “Failed”.



After entering the information, the wiring needs to be done in accordance with the picture. It should be noted that it is possible to magnify the picture by double-clicking on it. In this wiring, first the „la1“ and „lb1“ current output phases are Jumpered and „la2“ and „lb2“ phases are paralleled with the capacitor box. Here, „la2“ is connected after connecting it to the positive end of the capacitor and to the "S1"ِ CVT and „lb2“ is connected after connecting it to the negative polarity of the capacitor and to the „S2“. The reason for using a capacitor box is to compensate „CVT“ inductance. In this capacitor box, there are three „1000“ microfarad capacitors and the red and black ends of the capacitor box are the positive and negative polarity, respectively.


To measure the “DC” voltage, input1 should be connected to the “CVT” and a little further from the current connectors. Then, the source of the current which was paralleled with the capacitor is connected to the “CVT” terminals. It should be noted that to perform the test, it is necessary to right-click on one of the rows of the table and select “Apply Test”. By doing this, the device settings related to the current and the test time as well as the hardware settings related to “Hardware Configuration” including the outputs and “Binary/Analog Inputs” of the device are automatically adjusted. To analyze the test it is possible to use “Table View”, “Detail View” and “Signal View”. After opening “Table View” window, two “States” with zero frequency and in accordance with the information entered in “State Setting” section can be seen. The function of the first “State” is to change the “CT” current from transient to steady state while the function of the second “State” is to measure the current and voltage and calculate the resistance. If the user wishes to have access to a more thorough source of information than the “Table View”, they can use “Detail View” window.




After adjusting the wiring, 1 amp and 5 seconds are entered as the test current and test time, respectively, and by right-clicking on any of the rows and pressing “Apply Test”, the test begins. It should be noted that in “Signal View” section, it is possible to view the actual waveform of the current and the voltage measured by the “Input”. By using “Signal View” and the recorded voltage and current waveforms, it is possible to analyze the test using the “Actual” values and the recorded voltages, Check if the connectors are connected correctly.

After the test is finished, by selecting the row in “Result” section, the test results can easily be viewed. The results include “VDC”, “IDC”, “Rnom”, “Rcorr” and “Rdev” which refer to the measured voltage, the injected current, the resistance measured in the current temperature, the resistance measured in the reference temperature and the difference between “Rcorr” and “Rnom” in terms of percent, respectively. In “Correction Factor” field, the temperature correction factor is calculated in accordance with the current ambient temperature, the reference temperature and the material of the winding. The information of this temperature is entered in “Temperature Correction” field in “Test Object” and the “Rcorr” is obtained by multiplying “Rmeas” by the “Correction Factor”.


In the end, after performing the test, if “Rcorr” is lower than “Rnom”, the result of the assessment is “Passed” in “Assessment”, otherwise it is “Failed”. After the assessment, it is necessary to add the results to the report which in equipment test is done by pressing “Add to Report”.

Also, if you wish to add specific parts of the test to the report or edit or delete the report, “Add to Report” cog. By clicking on this cog, the elements that can be added to the report are indicated by checked checkboxes and before pressing “Add to Report” the user can uncheck any of them that they do not wish to be added to the report. It should be noted that after every test the test results are not added to the report automatically and after every test, it is necessary to add the results of the performed test to the report by pressing “Add to Report” before clearing the test.
If you wish to use a different wiring for current injection, you need to have pressed “Apply Test” at least once. Then, check “Don’t change Hardware Setting” and select their intended wiring in “Hardware Configuration” and press “Apply Test” one more time. To select a different “Input”, it should be noted that the selected “Binary Input Target” must be similar to the default “Binary Input Target”. For this, it is suggested to right-click on “Input1” row and cut the information and “Paste” it in the intended row. To change the current wiring, it is important to set the “Output Target” of the selected wiring at “IL1”.



There are two more notable points; the first one is that „Error Other“ indicates that either there is a problem with the wirings or the resistance is too high that the device is not able to provide the „Burden“ needed for current injection. Therefore, in cases of facing this error, the user needs to examine the „Actual“ value of the current from „Signal View“. If the current is injected from the device („Actual Current“) but its difference with the specified current is high, the wiring resistance is too high and if the „Actual Current“ is zero, it means that the current injection path is open. In cases where the resistance is too high, it is necessary to decrease the current and when the „Actual Current“ equals zero, the connection of the connectors needs to be checked. The second point is that if the measured voltage has a too high tolerance or equals zero, this means that the connectors are not connected correctly.


In fact, “Excitation” or saturation test, analyzes the characteristic of the core. In this test, by decreasing the frequency, a method is used to keep the voltage at a safe level. The core flux is in accordance with the relation between the voltage and the frequency and by using this relation and to prevent high voltages in CVT primary, it is possible to use a lower voltage for the test by decreasing the frequency. It should be noted that the software calculates and displays the saturation point in the nominal frequency. Moreover, decreasing the frequency helps to remove the effects caused by the stray capacity of the primary side.

Since the CVT damping circuit is used to stop the Ferro resonance effects, before performing the saturation test, it is necessary to isolate its circuit from CVT. Moreover, to perform coil resistance, secondary short-circuit impedance and saturation tests, it is necessary to detach the PLC/NHF terminal from the ground so that the high voltage does not cause any problem.
Doing the wiring in accordance with the picture and applying AC voltage to the secondary coil, the saturation curve is obtained. In this process, the voltage of the secondary terminal, excitation current and the phase angle between the excitation voltage and current are measured. In this room, first, it is necessary for the amount of voltage intended for the test, frequency and test duration to be entered in “State Setting” section. In this section, in fact, “Vtest” is “Vend” and, in this field, the test voltage increases from zero to the specified voltage.

In “Demagnetize” section, before performing the saturation test, the software demagnetizes the “CVT” by AC voltage so that the residue flux caused by the “DC” resistance test is eliminated. In this section it is necessary to enter the “Demagnetization” time and the voltage in terms of a percentage of the “Vend”.

In “Choose Current Measurement Mode” section, it is possible to specify the current measurement mode so that the proper algorithm is applied in accordance with the current range. In this case, it should be noted that if the load current is low, it is better to use “Low current” mode because in this mode, the accuracy of load current measurement is higher.

To perform this test, as an example, 20 volts, 10 Hz, 15s, and “High Current” are entered as “Vtest”, frequency, and test time and test mode. On this page a warning can be seen which says that in this test the primary side voltage will reach 36000 volts. Therefore, while performing this test, observing safety points is required. After specifying the settings, the wiring should be done in accordance with the picture. In this wiring, the voltage of the first phase of the device is connected to the positive polarity of the capacitor and after connecting two negative polarity of the capacitors, the positive polarity of the second capacitor is connected to the positive polarity of the “CVT” and the other polarity of the “CVT” is connected to the null of the device. The reason for using the connections of capacitors in the path of applying voltage to the “CVT” is to filter the “DC” offset which is caused by the linear amplifier of the device.




After doing the wiring, “Signal View” window is opened so that the signals of the load voltage and current and also the saturation curve can be viewed during the test. After completing these steps it is necessary to click on “Init Test” every time before performing the test so that the settings needed for the test are adjusted automatically. By running the test, it can be seen that first, the “CVT” is “Demagnetized” and then the saturation test is performed. After the test is finished, the test voltage and current are displayed on the diagram in “Excitation Result” box. After the test is finished, to add the test results to the report, click on “Add to Report”. Also, by using the cog next to this option, before selecting “Add to Report”, uncheck any item that you do not wish to be added to the report.



If for any reason, you wish to use a voltage other than the voltage of the first phase, first, press “Init Test” and then check “Don’t Change Hardware Setting” option and then select a different output from “Hardware Configuration” window and set its “Output Target” at “VL1-E” and after changing the wiring, run the test.


Note that if the device displays an “Overcurrent” error before finding the knee and saturation points, the wiring needs to be changed to “High Current” and the test can run after pressing “Init Test”. If again, the device displays an “Overcurrent” error before finding the saturation point, this means that the saturation point current is higher than the “limits” of the device and it is not possible to find the knee point using this device.
In this tab, CVT turn ratio test is performed where the voltage is given to the CVT primary and measured from the secondary. By dividing the primary and secondary values, turn ratio is obtained and the obtained value can be compared with the nominal value on the plate. For medium and high-voltage CVTs it is possible to perform this test by applying a low voltage or approximately 400 volts to the primary. If there are multiple measuring and protection secondary, it is necessary to measure voltages of all secondaries and obtain all their turn ratios.

According to the IEC 60044-2 standard, the allowed error percentage is set in accordance with the accuracy class of the CVT. The first column of this accuracy class table and the turn ratio error percentage accuracy column are also available. In the following table, the mentioned error percentages are for cases where the voltage is higher than 2 percent of the nominal voltage. In accordance with the table related to protection CVTs, for example, if the accuracy class is 3P, its allowed error percentage in 2 percent of the nominal voltage is 6 percent and in 100 percent of the nominal voltage is 3 percent.

To perform this test, first, fields of “State Settings“ section are introduced. In “V test“, “V actual“, “State Time“ and “Analog Input“ fields, the amount of test voltage, the actual applied voltage, the duration of the test and the input intended for transformer secondary voltage measurement are specified, respectively. It should be mentioned that inputs number 1 to 8 and input10 are used for voltage measurement.


In noisy environments, there is some voltage on the inputs of the device and to increase accuracy, by selecting “At calibration state“ option, at the beginning of the test,another state with zero as its value is created and in the end, this measured voltage will be reduced from the final result.
In “Turns Ratio Result”, the results of turn ratio test of every core are displayed after performing the test. In “V calc” field, the secondary voltage is calculated by the software in accordance with the values entered in “Test Object” and in “V test” field. In “V meas”, “Ratio Nom.” and “Ratio Act.”, the voltage measured by the input, the nominal turn ratio and the actual turn ratio are calculated by the software, respectively.

The insertion position of the cores is specified in “Insert Mode” in a way that by selecting “All Core”, all cores are added to the “Result” table based on the selection between “Up” or “Down”. Also, by selecting “Specific core”, a specific core is added to the table in accordance with the choice of the user.

In “Phase” section, in “Phase Nom” field, the amount of applied voltage to the CVT and in “Phase Act” the phase difference between the two sides of the transformer are displayed. In “Phase Dev” the deviation of the measured phase in relation to the applied phase is recorded in terms of minutes (one degree equals 60 minutes). Finally, the results of the evaluation are determined in accordance with the type of the core which can be protection, measurement or protection/measurement and also in accordance with what the user selects in “Assessment”.

The insertion position of the cores in the table is specified by selecting the options available in “Insert Position”. Tables can be added by pressing “Insert Rows” button.


The instrument module is designed as a user interface. Its power rating is the same as the device,but with a single calibration, you can perform all relevant routine tests in a much shorter time with a lower calibration error percentage
First, install the Base module on the front panel of the device so that the male banana connectors of the Base module fit into the indicated part. Then, install three 18650 lithium batteries, 4.2 volts, 2000 mAh, in the indicated order from right to left. Install the relevant module, which in this test is the CVT or CT module, on the Base module, then tighten the three screws of the transformer module, and finally turn on the module. Here, you will see four boxes that indicate the battery charge percentage, each box indicating 25% of the battery charge
Also, when you connect the battery charger to the module, the corresponding box will start
blinking depending on the battery charge percentage, and when the battery is fully charged, all boxes will blink.
Warning: Do not use the module to perform tests while the batteries are charging. The reason
for using batteries on the module is to isolate the module's power supply from the device's power supply and eliminate noise
Important Notes:
● The Base module's optical sensor must be placed directly over the device's Error light.
● The first time the batteries are installed on the module, even if they are fully charged, due
to the defined protection, a charger must be connected to the module once for the module
to turn on.
Now, to perform calibration, enter the Setting window from the software's start page, click on Apply Calibration Instrument in the Hardware tab, and after 5 seconds, the calibration will be complete. Enter the CVT room, set the Type Device to 205AMT, and in the Accessories section, set the Version Mode Easy to CT _205_ Ver01.
Note that calibrating the module is only necessary once and should only be done if the device or base module has been replaced
To connect each end of the CVT (Voltage Transformer) to the module, we require two wires: a voltage wire and a current wire. For instance, from the P1 end of the capacitive voltage transformer, two wires (one for voltage and one for current) are connected to the P1 outputs of the module. The connections for 2P, 1S, and 2S are similar to the 1P connections. Finally, the C1 and C0 terminals of the module are connected to one of the capacitors in the capacitor bank.
Power transformer tests are performed in “Transformer” room. This room comprises of nine tabs. In “Test Object” tab, information and the nominal characteristics of the transformer are entered from the “Name Plate”. In any of the “Vector Group, Turns Ratio and No Load”, “Magnetic Balance”, “Winding Resistance”, “Continuity Tap Changer”, “Leakage Reactance” and “Demagnetize” tabs, one of the tests of the transformer are performed. Also, in “Megger Test Report” tab it is possible to enter the insulation resistance test or “Megger”. Also, In “Vector Group Check” it is possible to test the transformers vector group independently.

“Test Object” tab: as mentioned earlier, the nominal characteristics of the transformer being tested are entered in this tab. In “Transformer Data” section, a group of information including serial number, name of the manufacturer and name of the manufacturing country of the transformer as well as the location on which the transformer is used and the type of the cooling system of the transformer are entered. In “Extra Data” section, the date of performing the test in AD, the information regarding the person who is performing the test and the information regarding the supervisor are entered in “Date”, “Tested by” and “Approved by” fields respectively.


By checking “Easy Mode” option in “Accessories” section, the wiring type of tests changes. This wiring is in accordance with the board which is designed by Vebko Company to test the transformer. This board is located on the front panel of the device and on it there are relays to do the wirings of the front panel of the device automatically which makes performing the test easier.

In “Winding Configuration” section, the vector group of the transformer as well as the type of wiring of its two ends are selected. The wiring type of the primary and secondary windings are entered in “Primary (H)” and “Secondary(X)” fields and if there is a third winding, its wiring type is entered in “Tertiary(Y)” field. If the transformer has three windings, by checking “Three Winding” option, the third winding is added while if the transformer is single-phase, “1phase” option should be checked. In “Rating” section, the nominal value of voltages and the apparent power of the transformer are specified. Also, in “Voltage Rating” field, the primary and secondary nominal voltages as well as the third one, in case of its existence, are entered. In “Power Rating” field, the nominal power of the transformer as well as its impedance are entered in the corresponding fields in terms of KVA and percent, respectively.





The information regarding the tap changer of the transformer needs to be entered in “Tap Changer” section. The tap changer type is selected from among “OLTC (On-Load Tap Changer)” and “DETC (De-Energized Tap Changer)” in “Type” field. In “Winding” field, it is required to specify that at which side of the transformer winding is the tap changer located. In “No. of Taps” field, the number of taps of the tap changer are entered while in “Start Tap No.” it is specified that from what number the transformer taps to begin are. In the next step it is necessary to enter the voltage of every tap which can be done in multiple ways.


In the first method if the distance between the taps of the transformer is equal, the first, middle and last voltages are entered in “First Voltage”, “Middle Voltage” and “Last Voltage” fields, respectively, so that the software can calculate the voltage in other taps. In some “Name Plates” of transformer, it may happen that only the middle tap voltage and the difference between the tap voltages are mentioned in percentage. In this case, the “Middle” option is selected and the middle tap deviation percentage as well as its voltage are entered in “Deviation” and “Middle Voltage” fields, respectively, and the software calculates the voltage of other taps automatically. If the difference between the taps is equal and voltages of the first and second taps are mentioned on the transformer plate, this option is selected and the voltage of “First Voltage” and “Second Voltage” fields are entered. In all of the mentioned cases the voltage of the taps are calculated and displayed in “Voltage Value” table. If the distance between the taps is not equal or the user wishes to enter the tap voltages manually, “Custom” option can be used. By selecting this option, “Voltage Value” table appears and you can manually enter the voltage for each tap.




The tap changer type is specified in “Tap Control Setting” section. If you wish to control the taps manually you should select “Manual” option; otherwise, select “Automatic Tap Control” so that the taps are controlled automatically. If “Automatic Tap Control” is selected, “Tap Changing Setting” and “State Termination” sections are displayed. In “Tap Changing Setting” section, the settings related to tap changing is specified. In “Impulse” field the time during which the pulse is sent by the device binary to change the tap is specified. In fact, “Raise” or “Low” command is issued by the device to change the tap for 1 second. In “Time” field the stop time for each tap is specified which is a 10-second delay after the tap change command is issued during which the tap changes. In “State Termination” section, the ending style of every state to inject the voltage to the next tap is specified. If “By Time” is selected, the voltage injected in every tap is specified in accordance with the time selected in “Tap Changing Setting” section and after the time is passed, a pulse is sent to change the tap. By selecting “By Inprogress Contact” and using a contact and connecting it to the binary inputs of the device, by changing the binary input mode, “AMT” device recognizes the tap change and regardless of the time entered for tap change, a pulse is sent to change the tap. In “No. of Analog Input” field, number of the binary used to detect the tap change is specified while in “Reverse” field, the primary state of the binary input is specified. By selecting “Wet”, inprogress contact is determined to be of the wet type and its voltage level is entered in front of it. By selecting “Dry” option, the contact is determined to be of the dry type.



The amount of allowed measurement tolerance to detect “Pass” and “Fail” of the test is entered in “Tolerance” section. In “Ratio dev.” Field, the allowed tolerance value for the measured phases is specified in terms of degree. In “Winding Material” field in “Temperature Correction” section, the material used in the windings is selected from among “Copper” and “Aluminum”. The current temperature of the winding of the transformer and the reference temperature for measuring the winding resistance are entered in “Winding Temp”, “Reference Temp.” fields, respectively, so that the resistance values measured are corrected in different temperatures. “Correction Factor” field is related to transformer correction factor (K Factor) and by changing “Winding Material”, “Winding Temp.” and “Reference Temp.” sections, this section changes automatically.


Also, by pressing “Add to Report” option in the box at the bottom of the screen, this information is added to the output report and a message stating “The Report was added to the list” is displayed. It is possible to view the output report by selecting “Report” window from the box at the right side. By clicking on “Delete Report” option in “Delete from Report” window, it is possible to delete the added report from the “Report” window. If “Set as default” option is selected, the entered values will be saved as default and every time, by opening the “Transformer ” room this information is displayed.




In the device and the software provided by Vebko Company, turns ratio, vector group and no load current tests are performed simultaneously. To perform this test, the voltage is applied from high voltage side and the voltage of low voltage side is measured using binary inputs. In measuring the LV side, the voltage and its angle are measured at the same time. Also, to measure no load current, actual current of voltage outputs are used. To perform this test, first, the test method must be selected from among “LL” and “LN” from “Test Setting” section in field “Test Method”. In fact these methods determine the type of voltage applied to the primary; in “LL” the voltage applied is three phase while in “LN” the voltage is applied in form of phase to null or coil to coil. Note that in both of these methods, the secondary voltage measurement is done in coil to coil form. In “Direction” section, the direction of the conversion ratio test is specified; the conversion ratio test direction for a three-coil transformer is “Primary to Secondary” for a conversion ratio test between primary and secondary while it is “Primary to Tertiary” for a conversion ratio test between primary and tertiary. The test voltage is specified in “VLL” field while its corresponding phase voltage is specified in “VLE” field. In “Stage Time” section, the time of voltage application is specified; this time for “LL” method is the time of test while for “LN” method, this time equals the time of voltage application to each of the coils.





You can see two options of “Just Result” and “All Table” in “Add to Report” drop-down field. By selecting “Just Result”, only those parts of the table whose test has been performed are added to the report. But if “All Table” is selected, the whole test table is added to the report.

In “Read Input Voltage” field, the measurement method for the actual voltage applied from the device is specified which can be selected from among “Actual Voltage” and “Binary Input” of the device. In “Insert Mode” section, the settings related to inserting the number of “Taps” are adjusted. If you wish to insert all of the taps, you need to select “All Tap” and in “Sort Direction” field, specify that whether the taps are to be inserted from top to down or down to top by selecting “Up” or “Down”. If you wish to test a specific tap, you need to select “Specific Tap” and then enter the number of your intended tap. Also, if you wish to insert a specific number of taps, you need to select “In Range” and then specify your intended range. After specifying the mentioned information, by selecting “Insert Rows”, rows are inserted in the test table in accordance with the number of taps of the transformer. If you wish to insert a number of taps in a specific position in the table, you can use “Insert Position” section. For example, here taps number one and two are inserted above tap number one.



Performing a test for a transformer with off-load tap changer: to make a test file for a “Dyn11” transformer with three taps and “Offload” tap changer, “LL” should be selected as the “Test Method” and 50 volts line to line should be selected as the test voltage and “Up” should be selected as the “Sort Direction” for the taps. Then, by selecting “Insert Rows”, the test table is created. To perform the test, first, you need to adjust the wiring in accordance with the picture. In this wiring, the voltage resources are connected to the primary side of the transformer and to measure the voltage, the secondary of the transformer is connected to the inputs of the device according to the picture. Next, “Apply Test” must be selected after selecting the intended row in the software. Here, all three rows of a “Tap” are selected and then by pressing “Apply Test” the test is performed and the results are recorded. The results of this test are recorded in “I Prim. Meas.”, “V Sec. Meas.”, “TTR Act.”, “TTR Dev.”, “Phase Meas.” and “Phase Dev.” columns respectively. The mentioned parameters stand for no load current, the measured secondary voltage, the measured actual conversion ratio, the diversion of the conversion ratio from the specified value, the measured phase and its diversion from the actual value respectively. After performing the test, the results of the test are assessed in “Assessment” column based on the factors entered in “Tolerance” section. Considering these factors, the maximum allowed conversion ratio fault is 0.5 percent and the maximum allowed phase diversion is 5 degrees; since the conversion ratio fault of phase number two is above the specified amount, the assessment of this row fails and the two other phases pass. It is possible to view the result for any of the phases categorized as “Turn Ratio Result”, “Vector Group Result” and “Current” by selecting its corresponding row.









Also in “Plot” section, the results of the test as well as the changes of the parameters measured in different taps are displayed in form of diagrams. In this section, “TTR”, “Ratio dev”, “V phase”, “Phase dev” and “No load Current” diagrams are displayed for every phase and it is possible to remove the diagram by unchecking it.

Performing the test for a transformer with “On Load” tap changer: There are three methods to perform a test for a transformer with “On Load” tap changer. “Manual” method: in this method, it is possible to select all rows of the table and then “Apply the Test”. After the test is finished for every tap, a message stating that “To Continue the Test, Press the Space Button” appears. In this case, you need to change the transformer tap manually and then continue the test by pressing the space button. This procedure continues until the last tap is tested.

“Automatic Tap Control, By time” method: in this method which has its own wiring, from the “Tap Changer” command panel, you should take two contacts of “Raise” and “Lower” to the binary out of the device in accordance with what can be seen in the wiring so that after testing every “Tap”, the command is applied to “Tap Changer” as long as the value specified in “Impulse” field and the “Tap” change operation begins. By applying the “Tap” change command, after the time specified in “Time” field, the next “Tap” test begins. This time is allocated for waiting for the “Tap Changer” to settle on the next “Tap” of the transformer. This procedure continues until the last “Tap” test is performed. In performing this test, just like the “Manual” method, “Apply Test” is selected after selecting all of the rows. After applying, the test begins automatically.


“Automatic Tap Control, By Inprogress” method: this method has one more step of wiring than the previous method and in addition to time, it has the condition of contact reception. This means that, from the command panel, two contacts that indicate the state of “Tap Changer” should be brought to the input number 8 of the device so that if the “Tap” change occurs before the specified time, the next “Tap” test begins. In performing this test, like other methods, “Apply Test” is selected after selecting all of the rows. After applying the test, it begins automatically.



The transformer magnetic flux test is performed in this tab. In this test, the voltage is applied to a voltage transformer coil and the voltage of other coils is measured and the flux division ratio between the two other coils is analyzed. Two important points for this test are that firstly magnetic balance test is not performed for single-phase transformers and secondly, this test can be performed on three-phase transformers only in the side where there is a grounded neutral.

Flux division test has three steps for every phase. In the first step, voltage is applied to coil #1 and voltages of the two other coils are measured. In the second step the second coil is short circuited and voltage is applied to the coil of phase #1 and voltages of the two ends of the third coil are measured. In the third step, the third coil is short circuited and by applying voltage to phase #1, voltages of the two ends of coil #2 are measured. These steps are repeated for the two other phases. Note that the voltage of the short circuited coil is zero and during all three steps, sum of the measured voltages of the two coils must equal the voltage applied to the first coil.
If “Dev.” option is checked, the total difference between the two measured phases and the phase to which the voltage is applied is calculated and is displayed in “Dev%” field in terms of a percentage of the applied voltage. Also, if you wish to measure the voltage that occurs to the secondary side of the transformer during the test, you can use “W2” option. Note that if this option is checked, you need to do another step of wiring.



In “Test Setting” section, the settings related to the test is entered. Also, in “VLE Test” and “State Time”, the amount of voltage of the test and the test performance time of the test are entered, respectively. In “Display Values” it is specified that the test results are to be displayed as numerical values (in terms of volt) or as a percentage of the voltage of the test. If “Absolute” is selected, the applied voltage and the measured voltages of different taps are displayed in terms of volt while if “Relative” is selected, these voltages are displayed in terms of a percentage of the test voltage.


The use of "Insert Mode" and "Insert Position" sections are exactly the same as those explained in conversion ratio test video. In “Magnetic Balance Result”, the results of the flux division test are displayed. This section is designed to help better analyze the test results. In this section, the voltage is injected from a phase and the voltage induced to the two ends of the coil is read by the inputs and displayed in this section. By checking “Insert Rows”, a row is added to the test table in accordance with the settings adjusted in “Total Result” and all the results of the test are displayed in a row.


Performing the test and analyzing the results: “15” volts is specified to perform the test and after selecting “Insert Rows” and inserting the transformer “Taps”, the wiring needs to be done in accordance with the picture. In this wiring, you only need to connect the voltage outputs of the device to the transformer and the inputs of the device. To measure the voltage, open signal view before beginning the test so that you can view the voltage signal, “Actual Current” and the voltage measured by the binary inputs of the device during the test. By selecting the related row and pressing “Apply Test”, the necessary hardware and software changes are applied automatically and the test starts. Note that if “Start Test” option is selected instead of “Apply Test”, the test will not begin.



In the end after the test is finished, it is necessary to add the results of the evaluation to the report, which is done by selecting “Add to Report”. In addition, if you wish to add specific parts of the evaluation to the report, edit, or delete the report, you can use “Add to Report” cog. By clicking on this cog, you can see that the elements, which can be added to the report, are displayed with a checkmark and it is possible to uncheck any of them that you do not need in your report. Note that after finishing every test, the results are not added to the report automatically and it is a necessity to add the test results to the output report by pressing “Add to Report” before “Clearing the Test” and after performing a test.

In perfuming this test, it is vital to consider some points: the first point is that “Error Other” in performing the test means that there is a problem in connection of the wirings and the null point of the device is connected to its phase. The second point is that if “Error Power” appears during performing a test, it means that too much current is drawn from the voltage phases and you need to decrease the test voltage to resolve this issue.




*One of the most common and important tests of transformers is the winding resistance test. In this test the amount of “DC” resistance or “Rmeas” is calculated by dividing the voltage measured through the binary inputs by the injected current. To perform this test, first, you need to specify the primary or secondary side among “HV” and “LV” in “Side” field. Note that, if the transformer has three windings, “TV” is added to the two mentioned options. Then, you need to specify the test time and current in “I Test” and “State Time” fields in “State Setting” section, respectively. Since transformers have a big self-inductance and core, in the beginning of DC injection, there is a huge difference between the actual current and the specified current and after some time, the actual current is equal to the specified time. This time is entered in the “Initiated Time” field. Due to the fluctuation in voltage and DC current during this time, the measured resistance has a lot of fluctuations. Since resistance measurement must happen in a situation with the least voltage and DC current fluctuations, the maximum allowed fluctuations of the impedance and the shortest time during which the measured impedance needs to fluctuate below the “Nominal Stability” value are specified in “Nominal Stability” and “Stable Time” fields, respectively. The current measurement mode is specified in “Current Measurement Mode” section and if the current is below 0.6 amps, “Analog Input” should be selected while if it is higher than 0.6 amps, “Actual Current” should be selected.




*The voltage measurement mode is specified in “Voltage Measurement Mode”. Since the resistance measurement method divides voltage by the current, voltage Range of the binary inputs affects the measurement accuracy. Therefore, it is necessary to select one of the inputs of this section for measurement based on the winding resistance and the maximum resistance specified to each binary input. If the resistance is bigger than the specified range, the device shows an “Overvoltage” error, in which case, you need to either decrease the current or increase the resistance measurement range. Also, if you are facing an “Error Other” of the current outputs, you need to decrease the current.


*The order and the position of the “Taps” of the transformers are specified in “Insert Mode” and “Insert Position” section. The mentioned section has already been explained in the video related to the test. Another one of the most important options of the software, which helps a lot in accelerating the test, is “Sort Mode”. Generally, for tap changer transformers it is suggested that this option is set at “Phase”; by doing so, it is possible to test all taps of a phase and then go to the next phase. But if “Tap No.” is selected, first you need to measure the resistance of all three phases and then change the tap. For example, suppose that your transformer has 21 taps. By setting “Sort Mode” at Phase and selecting “Insert Rows” you can see that the rows are arranged according to the selected phase which helps a lot to increase the speed of the test. After creating the table, you need to select the intended row and then adjust the wiring according to the guide picture and then run the test by pressing “Apply Test”.


*To perform this test, for example, the “HV” side with three “Offload” taps and 0.5 amps of current is tested for all three taps. The settings related to time is left at its default and “Sort by” is set at “Phase” and then by pressing “Insert Rows”, the test table is created. The “Signal View” window is opened so that it is possible to view the current changes of the read voltage. To perform the test, the first row is selected, the wiring is adjusted in accordance with the guide picture. Then the first row is selected and test runs by pressing “Apply Test”. By running the test, the changes of the measured voltage as well as the injected current can be viewed. You can see that by changing the voltage and the current, the value of “Stability” changes as well and the test goes on until these changes reach below 1 percent. After the time test is finished, the actual voltage and current, “Stability” and the measured and corrected resistance (according to the reference temperature) are inserted in “Test Object”. To continue the test, two other rows are selected and the test is applied. Then, the wiring is adjusted for the next phase according to the guide picture and three rows are selected and the test is applied. After the test is finished, in “Plot” tab, the curve resistance change in different “Taps” and phases can be viewed. In the end, by pressing “Add to Report”, the results are added to the report.









**Some Points about Winding Resistance Test
*Since these transformers have a huge self-inductance, injecting “DC” current causes huge voltage “Spikes” and the more the injected current, the bigger the created voltage. This voltage causes two problems: the first problem is “Error Overvoltage” of the inputs of the device; as you know, if the voltage of the input is more than 0.1 second bigger than the value specified for it, the device displays an error. Therefore, if the caused voltage “Spikes” have too long durations, the device may display an error. Another problem is the voltage that occurs to the “Mosfets” of the device. In case of injecting too big currents, this voltage damages the device. Therefore, we suggest to consider these points while injecting the current.
This tab is used to calculate the transformer leakage reactance value. In fact, the short circuit voltage is the voltage applied to the primary coil while the secondary coil is short-circuited. In the short circuit voltage, the nominal current is established on both sides of the transformer. The active power absorbed in the short circuit voltage is the same as the transformer losses. The purpose of obtaining the value of the short circuit voltage is to calculate the transformer losses. As the load current increases, the short circuit voltage increases linearly. The short circuit voltage is obtained using the following equation.

In this formula, Ucc, Uccm, Ir, and Im are the values of the short circuit voltage in the Ir nominal current, the value of the short circuit voltage in the Im measuring current, the nominal current and the measured current, respectively. Now, to calculate UK%, the short circuit voltage calculated in the above formula is used in the following equations.

In the above equation, Ur is the transformer nominal voltage while ԑccm=UK%.
It is necessary to observe some points in this test. To short circuit the secondary side, the cable size is calculated. Cable size or short circuit busbar on the secondary side are obtained using an example. Suppose There is a transformer with 7.5 MVA of nominal power, 33 to 11 KV conversion ratio with Dyn11 vector group and a %10 short-circuit voltage. The primary and secondary nominal current equal 131 Amp and 393 Amp, respectively. The CT turns ratio equals 800 to 5 amp on the secondary side and 150 to 50 amp on the primary side. Considering the conversion ratio on the primary side, the UK% value of the transformer equals 10 percent. Therefore, the short-circuit voltage is obtained to be 3300 volts which means that if 3300 volts are applied to the primary of the transformer, while the secondary is short-circuited, the nominal currents pass through the primary and secondary of the transformer. Assuming a 400 volts of voltage being applied to the primary of the passing currents, the primary and secondary are obtained using the following equation.

Taking into account the current value obtained in the secondary side, the cable cross section is selected in accordance with the passing of this current.
If CT is present in the transformer, to avoid CT excitation, the secondary terminals are short-circuited. Also, this test is performed in the nominal tap and then the highest and lowest taps. It should be noted that to avoid sudden increase of the current during the test, the voltage is increased gradually. To do so, first, a “Continuous Ramp” state is created to avoid inrush current in the transformer. The measurement current must not be smaller than the nominal current but if this is not feasible, according to the IEEE Std C57.152™-2013 (Revision of IEEE Std 62TM-1995), as much as 50 percent of the nominal current can be used instead.
It should only be noted that if the secondary winding of a transformer is yn, the secondary neutral should not be connected to the other phases.
In “State Settings”, the test voltage value and the test time are specified.
If the transformer has several taps, “Insert Mode’ you can specify in which taps and in what order to add them to the test table.
In “All Tap”, you can specify how the taps are arranged, from top to bottom or from bottom to top. In “Specific Tap”, you can select a specific tap; And in “In Range”, you can specify from one tap to a specific tap.
“Insert Position” also specifies where the newly added test row should be above the selected row, below it, or after the last row.
After performing the wiring shown in the figure, by clicking on “Insert Rows” for each phase, a new row is added, in front of each of which, the name of the phase and Uk and the nominal power of the transformer are written. These values come from the “Test Object” tab in “Power Ratings” section by default, but they can also be changed from inside the table.
After performing the test, by clicking on the row of each phase, either in “Result (Selected)” section or inside the same row, the test results are displayed.
In the fields “Iact”, “V meas” and “V phase” the amount of current drawn from the specified voltage phases, the actual value of the injected voltage and the injection voltage phase is specified, respectively.
The short-circuit voltage and its deviation from the specified value which are displayed on the transformer plate are also specified in “Uk calc” and “Uk dev” fields.
To execute this test, a transformer with Dyn11 vector group and a UK%=3.3% is used. First, the values are entered in Test Object and after configuring the wiring, by right-clicking on the table and clicking on Apply Test the test is executed and the test results for each phase can be viewed. Also, the waveform of the voltage injection and the current drawn from the transformer is displayed in Signal View.
To eliminate the residual flux of a transformer, the demagnetize tab is used. For example, after executing a DC resistance test, it is generated in the transformer. Demagnetizing is done in such a way that a DC current is injected in steps and decrements in direct and reverse directions to each phase of the transformer.

The amount of injection current is entered in “I Test” field.

In “Test Method”, the test method is determined as single-phase or three-phase. By changing this section, the wiring changes as shown on the right of the page.


It’s specified in “Side” field to perform the test on the transformer. By changing this section, the wiring changes as shown on the right.


In “Phase”, each of the phases A, B and C can be specified for testing. By changing this section, the wiring changes as shown on the right of the page.


In “State Time”, the time of each state to change the current is specified.

After configuring the wiring in accordance with the picture, to execute the test, first press “Init Test” button, then run the test. In “Signal View”, the injected current and the actual current value are displayed; this current value turns zero as soon as the demagnetization is completed.


The instrument module is designed to serve as a user interface. The power capacity of these modules is the same as that of the device, with the difference that by performing the wiring only once, you can perform all the corresponding room tests in a much shorter time and with a much lower wiring error rate.
Begin by mounting the Base Module onto the front panel of the device. Ensure that the male banana connector of the Base Module is inserted into the designated recess. Insert three 18650 lithium-ion batteries, each with a voltage of 4.2V and a capacity of 2000mAh, into the battery compartment. Follow the indicated orientation, with the first battery inserted on the right side and the third battery inserted on the left side. Secure the CT Module onto the Base Module. Ensure proper alignment and firmly tighten the three mounting screws. Activate the device by turning on the power switch. Observe the four battery charge indicators on the device. Each indicator represents 25% of the corresponding battery's charge level.
During the battery charging process, the corresponding indicator lights will blink in accordance with the battery charge level. Once the batteries are fully charged, all indicator lights will blink simultaneously.
Warning:Avoid Module Usage During Charging: Refrain from using the module for testing purposes while the batteries are being charged. The primary purpose of incorporating batteries into the module is to isolate the module's power supply from the device's power supply and eliminate noise interference.
Essential Considerations:
1. Ensure that the eye sensor of the Base Module is precisely aligned with the Error LED on the device.
2. Upon initial installation of batteries onto the module, even if the batteries are fully charged, connect the charger to the module once to activate the module due to the defined protection protocol.
For the calibration procedure access Calibration Settings launch the software and navigate to the Settings window from the Start page. Within the Hardware tab, click the "Calibration Instrument Apply" button. The calibration process will commence and take approximately 5 seconds to complete. Switch to the Transformer room and set the "Type Device" parameter to "205 AMT." In the "TR 205 Ver01" section, activate both the "Easy Mode" and "Accessories" options.
Module Calibration Considerations: Module calibration is typically required only once. Recalibration is only necessary if the device or Base Module has been replaced.
For the Capacitor Box Connections connect Cp 1 to the positive terminal of capacitor C1 in the capacitor box; connect Cp 2 to the positive terminal of capacitor C 2 in the capacitor box; connect Cp 3to the positive terminal of capacitor C3 in the capacitor box; jumper the three negative terminals (C1, C2, and C3) of the capacitor box and connect them to the CapCom.
Module-to-Transformer Wiring Instructions: As for the Primary Side Connections establish connections between the module and the transformer based on the transformer's wiring configuration. For a transformer with an Dyn11 winding configuration, follow these connections:
Connect H1 to U1; connect VH 1 to the opposite side of the clamp connected to phase 1 on the primary side of the transformer;
connect H2 to V1; connect VH2 to the opposite side of the clamp connected to phase 2 on the primary side of the transformer;
connect H3 to W1; connect VH3 to the opposite side of the clamp connected to phase 3 on the primary side of the transformer.
Now for the secondary side connections:
Connect X1 to u2; connect Vx 1to the opposite side of the clamp connected to phase 1 on the secondary side of the transformer;
connect X2 to v2; connect Vx2 to the opposite side of the clamp connected to phase 2 on the secondary side of the transformer;
connect X3 to w2; connect Vx3 to the opposite side of the clamp connected to phase 3 on the secondary side of the transformer;
connect X0 to n2; connect Vx0 to the opposite side of the clamp connected to the neutral point on the secondary side of the transformer.
Post-Wiring Instructions: Once the wiring is complete, proceed with the remaining test procedures without considering the previous wiring configurations.
In transformer testing, special clamps can be used to connect two sets of cables together. These clamps are particularly useful when the test setup covers a long distance. In such cases, two separate cables can be joined using these clamps and then used during the test.The video demonstrates how to properly use these clamps.
On the Start page of the software, by clicking on „Overcurrent Quick Test“ from „Special Test“ subcategory,enter an environment that is used for overcurrent quick test.
Generally, in this room it is possible to test the overcurrent elements in the shortest time possible by entering the essential settings yet this section is exclusively used to test relays that need a high burden such as electromechanical and disc relays whose pickup and drop-off is measured in accordance with the disc movement. wiring for this test can be viewed on the right side of the page.
By default, it is possible to access „Report“, Signal View“, „Detail View“ and „Measurement View“ windows from the bar on the right side of the room; also, if necessary, it is possible to access the other windows by using the main menu of the software.
After specifying the phase in „Inputs“ section, the amount of the current setting and the time are entered and the performance curve type is specified. Here CDG11 relay of GEC brand with 0.1 amp as the setting, 0.2 as the performance time and normal inverse as the time characteristic is being tested. If the „Instantaneous“ unit of the relay is active, it is necessary to enter its amount of the current setting and performance time in Ins section. In ΔI it is possible to enter the start value of the injected current as well as the increase or decrease step of the current for Pickup and Drop-off tests. In this test, 95 milliamperes is specified as the start value for the injected current and 1 milliampere is entered as the increase step of the injection current.
The reason behind designing this room is enabling the users to use shortcuts to manage and enhance test speed.
By opening the Table View window, it is possible to view the created states. It should be noted that it is possible to adjust the change step of the current using – or + keys during the test. If the Up arrow key is pressed, the amount of the injected current increases in accordance with the specified step. By pressing ctrl+↑ combination key, it is possible to reset the amount of the injected current. In the end, by pressing Enter key, the obtained values are saved.
Now view the actual value of the injected current in „Actual Current“ section. Also, in the result section, pickup and drop-off current values, tripping time in 2 and 4 times the pickup current and the instantaneous performance time along with the error value are recorded.
Finally, after doing the test, it is necessary to add the results of the evaluation to the report which is done by selecting “Add to Report”. Also, if you wish to add specific parts of the evaluation to the report or delete or edit the report, you need to use “Add to Report” cog. By clicking on this cog, the items that can be added to the “Report” are displayed as checked checkboxes and if you wish any of them not to be added to the report, simply uncheck the intended checkbox. It should be noted that after doing the tests, the results are not automatically added to the report and after doing every test, it is necessary to manually add the results of the performed test to the report by pressing “Add to Report” before Clearing the test.
On the start page of the software, by clicking on "Under Over Voltage Test“ from „Special Test“ subcategory, enter the environment related to testing numbers 27 and 59 voltage functions. This room is designed to simplify testing the mentioned functions and create various states automatically.
„Under Over Voltage Test“ room is composed of six main windows of „Instrument Test“, „Detail View“, „Signal View“, „Table View“, Report“ and „Measurement View“ and for a better analysis and examination, it is possible to add other windows such as „Vector View“ from the menu at the top.
To begin, different information such as relay type, serial number, station name, feeder/be number and the name of the device manufacturer must be entered in „Test Object“ section. The date of performing the test in AD, the information of the performer of the test and the information of the supervisor of the test are entered in „Date“, „Tested by“ and „Approved by“ fields, respectively. This information will be used in the final report.
In ‚Test Settings“ section, the intended function is selected from among „OV“ and „UV“ in „Function Type“ field. Also, the secondary nominal voltage and the operation mode are selected from among OR and AND in „Vnom sec“ and „Operation mode“ fields, respectively. If the mentioned functions need a current value to operate, such as „Minimum Current“ element, it is possible to check „Enable Current“ option and select the necessary current value. If the intended connection of the user is open delta connection, they can check “Open Delta” option.
Every time „Insert Row“ is pressed a row in „Data Table“ is created in accordance with the number of voltage stages entered in the relay to enter the information of every Stage. In the created row, the stage number is entered in „Stage No“ and in „V setting“ section, the amount of the voltage setting for the mentioned functions is entered. In „Voltage Type“ section, the voltage calculation algorithm is specified which can be in form of phase to earth or phase to phase. Also, the time settings are entered in „Time Setting“ section. „Reset Ratio“ is the reference considered for measuring the amount of reset voltage, „Tol.Time“ is the amount of the accepted time error in form of percentage and „Tol.Voltage“ determines the amount of the accepted voltage error in the result of the test.
The settings related to „States“, „Binaries“, Pickup“ and „Dropoff“ are entered in „Testing“ tab. Also, it is possible to specify the voltage change condition from among „Continuous Ramp“ and „Step Ramp“ in „State Type“ section.
In „State Pickup/Drop Out Termination“ section, the condition for ending the pickup and dropoff is selected in form of a separate contact such as C2 or pressing Space key )at the same time as the LED turns on( or the Trip contact. The conditions for recording the Trip is specified in „State Trip Termination“ section. Also, it is possible to consider a different binary input for recording pickup-dropoff or trip in „Hardware Configuration“ section.
By pressing „Add Row“ key in „Test Plan“ section, new rows are added for the test in accordance with the stages created in „Test Object“. If „Continous Ramp“ option is checked in „State Type“ section, the settings are as follows:
In „Stage No“ section, it is possible to specify the stage number of the function operation. In „Fault Type“ section, the fault type for every phase or a combination of phases is selected. In „Time Test“ section, it is specified that whether the user wishes the voltage function operation time to be estimated or not. In „Vtest“ section, the voltage in which the relay operation time is going to be examined is entered. In „PU Test“ and „ DOU Test“ sections it is specified that whether the user wishes to perform these two tests or not.
In „PU Val. Assess“ section, the evaluated value from the pickup voltage is entered and in „PU Start“ section, the start point of the voltage test is specified. „PU End“ and „DOU End“ stand for the final voltage value in the pickup and dropoff, respectively. In „Total“ section, the time duration considered for every pickup or out dropoff state is entered. The longer this time, the more continuos paces.
If „Step Ramp“ option is selected in „State Type“ section, instead of „Total“ column, „dt (PU)“ which is the time duration considered for every voltage change pace in pickup states, „du(DOU)“ which is the time duration considered for every voltage change pace in dropoff states and „dv“ which is the amount of the voltage change paces are specified.
After entering the mentioned values, by clicking on „Init Test“, the user can view the states that are created in „Table View“, and in „Measurement View“, in „Time Assessmet“ and „Ramp Assessment“ windows, see that the values are entered as the test result evaluation. It should be noted that by selecting any State and pressing the middle button of the mouse, the user can view the details related to that state.
As an example, here an overvoltage function with 76 volts as the setting, and 4 seconds as the time setting in Micom P141 relay is tested. After applying the necessary settings in the relay, the configuration is specified as it can be seen. For this purpose, LEDs 1 and 4 of the relay are configured to show the pickup and the trip of this function, respectively. In the output contacts section, R4 is specified as the contact for recording the pickup. Moreover, R6 output contact in the relay is configured as a trip contact.
To run the test, by opening a new window in „Over/Unver Voltage“ room and after entering the primary information such as the relay type, serial number, station name, feeder/be name and the manufacturer company, as an example, function OV is selected and the secondary voltage is set at 110 volts and OR is selected as the operation mode so that the results are recorded with pickup or trip of any of the phases. Since here there is no need for current injection, Enable Current option is not enabled. Also, since here open delta connection is not the case, Open Delta option is not selected either. In Data Table, stage 1 is selected and the voltage setting is set at 76 volts (the value specified in the relay) and LN is selected in Voltage Type section. The time setting of the relay is 4 seconds which is entered in Time Setting section.
Now by going to the State Setting in Testing section, Continuous Ramp option is selected. Here binary C2 and C1 are selected to record the pickup and drop and record the trip, respectively. Since the purpose of the overvoltage element test is to test all three phases, Fault Type option is set at L1E L2E L3E. 80 volts is entered In Vtest section which is bigger than the voltage specified in the relay settings and the relay must give a trip in this voltage. Also, by selecting Yes in “PU Test” and “DOU Test” section, pickup test and drop out will be done. In PU Val.Assess section, the approximate estimation of the value expected for the pickup which is 75.5 is entered. The test voltage start value and the final voltage value for the pickup test are specified in PU Start and PU End sections, respectively. DOU End is the final voltage value for ending the dropout test. The total time is entered in Total section.
Now Init test button is pressed so that the states are created in „Table View“ in accordance with the entered information. After running the test, the results of the evaluation can be viewed in „Measurement View“ window, „Time Assessment“ and „Ramp Assessment“ tabs.
In the end, after runing the test it is necesary to add the results to the report which is done by pressing „Add to Report“. Also, if you wish to add specific parts of the test to the report or delete or edit the report, you need to use “Add to Report” cog. By clicking on this cog, the items that can be added to the “Report” are displayed as checked checkboxes and if you wish any of them not to be added to the report, uncheck the intended checkbox. It should be noted that after doing the tests, the results are not automatically added to the report and after doing every test, it is necessary to manually add the results of the performed test to the output report by pressing “Add to Report” before Clearing the test.
Various studies have shown that around 70 to 90 percent of the faults in overhead power lines are transient. At lower-level voltages such as distribution, there are fewer and about 80 percent transient faults while in higher-level voltages such as transmission, this value is about 90 percent.
Thunder is one of the most common reasons for a fault to occur. The swinging of the wires or short-circuit of the grid with sundry objects is another cause for the occurrence of transient faults. Most faults can be solved by correctly using the trip process or reconnection so that the grid disconnection time reaches a minimum. To test any type of reclosers, its exclusive room which is AMT AR can be used.
The main window of this room is Instrument AR. Also, it is possible to access other windows from the View menu or the bar on the right side of this page. To begin the test, first, the user needs to insert the functions that need the reconnection process to be examined for them into the Data Table. Therefore, it is possible to examine and assess the action or inaction of the AR for different functions. By clicking on “Add Cycle”, the next rows are added so that the reconnection is examined after the selected functions. After selecting the title of the function, the user only needs to enter the performance characteristic and its settings for the delay and instantaneous units. After that, the amount of the injected current and the fault angle are entered so that the time duration for different states is determined in accordance with the selected Curve. Dead Time and Reclaim Time are two other options that are used to speed up making the states. Finally, in the Expected section, the user needs to specify their expectation from the success or failure of the recloser after the action of the specified function.
In the next step, the user needs to specify the necessary Binary Inputs and Binary Outputs in accordance with the elements required for the recloser test. It should be noted that for the convenience of the users, the important signals are available in the drop-down list by default. In this section, by selecting Add Row and Delete Row options, it is possible to add a row to add the binaries and delete the selected row, respectively. Considering the two types of the reclose test including laboratory testing (simulation of the binary of the outputs by the test device and receiving the binaries by the device) and testing in power stations (receiving binary of the inputs by the device and presence of the binary outputs through the wiring post), some of the titles are common between the two lists of inputs and outputs.
After selecting the number of the binary input and signal, it is possible to specify its influence on the current states including PreFault, Fault, Deadtime and Reclaim time. In other words, the condition for ending every state is determined by the binary inputs.
In the next step, after selecting the number of the binary output and its signal, the user only needs to specify its condition for every state. This is most useful in cases where, for example, signals such as CB Ready or Close and Open are needed and testing the relay in the laboratory is intended. After adjusting the settings, by clicking on Init Test option, the states are created. These states can be viewed from Table View section. Also, it is possible to compare the different settings and elements of every state with more details in Detail View section.
In this video, the AR function test for the MiCOM P139 relay is going to be performed. In this test, the recloser function is activated after the occurrence of the earth fault. To begin, the user needs to go to the settings section of the relay and set the parameters related to the functions. Here, in the subcategory number one of parameters, function DTOC is assigned to SEF protection. In IDMT1 section, the protections of OC and EF are of the delay type while in IDMT2 section, the protections of OC and EF are set at the instantaneous type. Now, by going to the ARC section, the settings related to the auto-recloser are adjusted. Here, the TDR option refers to recloser with time delay; Dead Time and Reclaim Time are set at 4 and 20 seconds, respectively, but it is also possible to activate the HSR which is the high-speed recloser.
Next, the outputs are configured. Moreover, in INP section, the inputs needed for the assessment and the test are configured. By referring to the relay manual, it is possible to view an outline of the behavior of the P131 recloser function.
In certain situations such as cases where there is a manual close, external signal, ARC function deactivation, and manual trip and protection deactivation, the recloser will be blocked. It is possible for the user to examine these signals in the AR room of the AMPro software. The user can begin the test after ensuring that the necessary conditions for the recloser to perform are met; these conditions include activating the protection, not blocking the ARC function, and being able to open and close the breaker and have the close state of the key. To adjust the relay wiring, the user can use the connection diagram from the manual.
The user needs to go to the AMT AR room one more time and add the two functions of earth fault and overcurrent. It should be noted that in the first step, reconnection is tested for the earth fault function. This step must be passed successfully and receiving the close signal or the connection needs to happen as well. After specifying the settings related to this function in the first row, single-phase fault to earth is selected and Dead Time and Reclaim Time values are entered. Also, in the Expected section, the expectation from the act of reconnection is set at successful. In the next row, OC function is added. Similarly, the settings related to the delay and instantaneous stages as well as the fault current value, fault type, Deadtime value and Reclaim Time value are entered. In this section, we expect the act of reconnection to be unsuccessful.
Now it is time to configure the input binaries. In this section, connection trip and pulse are selected from the list in this exact order. Here, trip is selected as the finisher element for the Fault state. It is also possible to select Close Pulse or Reclosure Successful as the finisher element for the Deadtime state. This should be noted that the “PreFault” state time is automatically longer than the “Reset Time” or “Reclaim Time”.
In the binary outputs section, three signals of CB Close, CB Open and CB Healthy or AR Ready are added. Here it is possible to specify the status of every signal for different states ranging from “PreFault” to “Fault”, Dead Time”, and “Reclaim Time”.
Finally, the “States” are created by clicking on “Init Test” option. The user can view the created states by opening the Table View window. After creating the states, it is possible to adjust the necessary settings for the assessment in the “Assessment” section. Also, after performing the test, it is possible to assess the performance of the recloser for these two functions. In the end, by clicking on “Add to Report” option, the test result is added to the created report.
By clicking on “Resistance” on the “Start” page of the software, ohm resistance test room opens. In this room it is possible to measure ohm resistance of various equipment in the “Resistance Test” tab. “Test Object” and “Megger Test Report” tabs are used to enter the nominal information of the equipment and the results of the “Megger” test, respectively.



To perform a test, every module needs information about the equipment. This information is entered in “Test Object”. In “Resistance Data” section, the general information about the piece of equipment which is to be recorded in the output report is entered. The name of the equipment, serial number, name of manufacturer, type, name of company, name of country and the address to the location and the power station where the equipment is installed are entered in “Name of Device”, “Serial Number”, “Manufacturer”, “Type”, “Company”, “Country” and “Station” fields, respectively, to be added to the report.

In “Resistance” section, the temperature and ohm range of the equipment are entered. The ambient temperature is entered in “Ambient Temperature” field while the temperature correction factor in accordance with the current ambient temperature and the reference temperature, and also the coil material, the amount of ohm resistance, and Dev+ and Dev- of the resistance tolerance are entered in “Temperature Correction Factor” field.

In “Extra Data” section, the date of testing in Gregorian calendar, the information of the performer of the test, and the information of the supervisor are entered in “Date”, “Tested By” and “Approved By” fields, respectively.

The RMS value of each parameter is calculated based on the average of several time periods. The bigger number of time periods, the longer the calculation takes which consequently leads to higher accuracy and less fluctuations. The number of time periods is eneterd in Averaging field in Noise Suppression section. This field is the same as No. of Period field in Setting in Signal View window.

By clicking “Add to Report” option at the box at the bottom of the screen, this information is added to the report and a message saying “Report was added to the list” is displayed. It is possible to view the report by selecting “Report” window from the right toolbar. By clicking on “Delete Report” in the “Delete from Report” window, the added report is removed from the “Report” window. If “Set as Default” is selected, the entered information is set as default and displayed every time the “Resistance” room is opened.





To perform this test, it is necessary to enter the test current, time and the intended input for measuring the voltage in “State Setting” section in “I test”, “State Time” and “Analog Input Target” fields, respectively. Also, if the resistance of the equipment is low and you wish to have a more accurate measurement, it is recommended to select “Input 10”. In the next step, the connection type is to be selected from among “D-3ph, Y-3ph and Yn-3ph/1ph” in “Object Type” section.

R=V/I
If the single-phase or three-phase equipment which is to be tested is star point grounded, the first radio button should be selected and the wiring should be adjusted in accordance with the range of the injected current as well as the voltage level as can be seen in the figure. The equivalent circuit for this type of wiring is displayed as follows and the ohm resistance is calculated using the following relation:
R=V/I

2R=V/I
For a three-phase equipment without a null point the second radio button should be selected and the wiring should be adjusted in accordance with the range of the injected current as well as the voltage level seen in the figure. The equivalent circuit for this type of wiring is displayed as follows and the ohm resistance is calculated using the following relation:
2R=V/I

In D-3ph method, the wiring is adjusted in accordance with the range of the injected current and the voltage level as can be seen in the figure. The equivalent circuit for this type of wiring is displayed as follows and the ohm resistance is calculated using the following relation:
(2/3)R=V/I

The voltage measurement mode is specified in “Voltage Measurement Mode”. Since the method used to measure the resistance is dividing the voltage difference by the current, “Range” of the “Inputs” voltage is effective in measuring the accuracy of resistance. Therefore, for measuring the resistance, one of the inputs of this section should be selected in accordance with the coil resistance and the maximum resistance specified for every “Input”. If the resistance is greater than the selected “Range”, the device shows an “Overvoltage” error. In this case, either the current must be decreased or the resistance measurement “Range” must be increased. In case of facing an “Error Other” of the current outputs, the current needs to be decreased.

To begin the test, first in Test Object 200 milli ohm, 50 milil ohm, 10 amps, 1 second are specified as ohm resistance, upper and lower tolerance, current and test duration, respectively; also Input2 is selected “Analog Input Target”. Then, Object Type is set at “Yn-3ph/1ph” and“VoltageMeasurement Mode” is set at Up to 28V and since the approximate resistance is smaller than 200 milli ohm, Max Voltage is set at Up to 4.5V and then wiring is adjusted according to the figure. It should be noted that it is possible to magnify the figure by double-clicking on it. In this wiring, “lA1” and “lB1” current output phases are “Jumpered” and “lA2” and “lB2” phases are directly connected to the equipment.






To measure the voltage difference, it is necessary to connect “Input2” to the test and further ahead of current injection connectors. It should be noted that before running the test it is necessary to click on “Init Test” so that the device “config” is adjusted automatically. By selecting this option, the settings related to current and test time as well as the hardware configurations related to “Hardware Configuration” including outputs of the device and “Binary/Analog Inputs” are adjusted automatically by the software. In “Analog Output” tab in “Hardware Configuration” section, you can see that the wiring of the device is set at “32A” with the maximum “Burden” of 400 milli amps and “Binary/Analog Input” #2 are activated to measure the voltage. After performing the test, in “Signal View” it is possible to view the current waveform along with its “Actual” values and the measured voltage and also examine the connections of the connectors.



After the test is finished, the test results can be viewed in “Result” section. The results include “linj”, “Vmeas”, “Rmeas*C.F” and “Rdev” which refer to the amount of injected current, the measured voltage, the measured impedance and the difference between the nominal resistance and the resistance specified in “Rmeas*C.F” field, respectively. It should be noted that by holding the cursor on either of these two fields, the relations related to them are displayed. In the end, after the test is finished, it is necessary to add the evaluation results to the report which is done by selecting “Add To Report” in equipment test.

Also, if the user wishes to add specific parts of the evaluation to the report or edit the report, they need to use “Add to Report” cog. By clicking on this cog, the items that can be added to the “Report” are checked and the user can simply uncheck any of them which they do not need. It should be noted that the results are not automatically added to the report after each test when a test is performed it is necessary to add the test results to the output report by selecting “Add to Report” before “Clearing the Test”. Also, if one of the “Analog Outs” is faulty, the specified “Binary Out” should be changed; to do this, you must first click on "Init Test", then tick "Don't Change Hardware Setting" option and by going to the "Hardware Configuration" window, in the "Analog Out" tab, "Output Target" change the selected wiring according to the wiring.



Two notable points about performing this test are that „Error Other“ during a test indicates that there is a problem in connection of the wirings or the resistance is too high that the device unable to provide the required „Burden“ for current injection. Therefore, in cases of facing this error, examine the „Actual“ current value in „Signal View“. If the current is injected from the device („Actual Current“) but its difference with the specified current is too big it means that the resistance is too high while if the „Actual Current“ is zero, this means that the route current injection is open. In cases where the resistance is too high, the test current needs to be decreased while if the „Actual Current“ is zero, the connection of the connectors needs to be examined. The second important point is that the voltage read by the binaries of the device must have similar cycles. If the read values have a too big or zero tolerance, this means that the connectors are not properly connected.


Since some users perform a “Megger” test for this equipment and they may need the results in a report, it is possible for them to enter their intended line and column in “Megger Test Report” tab and by selecting “Insert”, create their needed table and after inserting the test results and selecting “Add to Report”, add the information to the output report. Other options such as “Delete Report”, “Export” and “Import” are used to remove the information of this page from the report, exporting the output file only from the information of this page and importing it if necessary, respectively. Also, if the user wishes to set the characteristics of the created line and column as default for this section of the room, they can use “Set as Default” option.

The complete Main Switching, which is installed on switching number two, is the main part of the switching device. On this board, we have several modules including LAN-GPS, Wifi Module, Micro Module, Command Module, Fan Controller Module and Power Supply (PS) Module. In some cases, we face some problems where we have to replace one of these modules. Here we are going to explain how to replace a module.

If Wi-Fi connection has issue or more specifically we cannot connect to the device using the Wi-Fi and we have already performed all the tests and did not get any result, we need to replace the Wi-Fi module. When we substitute the Main Switching of two devices, we leave the Wi-Fi module as it is so that we do not have to reset the Wi-Fi settings. This part is what is meant by Wi-Fi module. This means that if we have a problem with the Wi-Fi and we want to swap the Wi-Fi of the two devices, we open this screw and swap only this module. This module is called Wi-Fi.

If there is a problem with the GPS module, in other words if we have a problem connect to the GPS or the LAN connection we can conclude the LAN-GPS module is not functioning properly, and we need to swap this module. To swap this module, first we need to open this spacer, then open this screw and then the LAN-GPS module is released. So, this is the Wi-Fi module and this is the LAN-GPS module.


The micro module is the heart of the device. When we are performing different tests, there are some issues where we may conclude that the microprocessor of the device is not functioning properly and we need to swap it. There is no screw on the micro and it is connected to the board only by some pins. To detach the module, we release it from one side and then completely release it from the other side. This is how the micro module is detached. Reinstalling this module is as easy as it was to detach it. There are three pins at the bottom and five pins at the top, first we need to adjust them and then the pins with a higher number are installed. This is how this module is installed.


Next is the “command” module in which we have the Overcurrent error of board number two. Whenever we face the Overcurrent error of the board number two, first we replace the “command” of the complete Main Switching side with the other side. The screw is opened like this and the module is detached and replaced with the command of the other side. After the replacement, we turn the device on using a series lamps. Then connect the relays of the device and connect to the device. If the Overcurrent error of board number two is eliminated, this means that the problem was with this “command” and it must be corrected. If the Overcurrent error of board two still remains, we need to examine the other parts (which will be explained later).


Fan controller module, in fact there are four fans in the device, two fans in the back panel, one fan on the heat sink and another one on the amplifier module which will be explained later. If any of these fans be it the heat sink fan or the fan on the back panel which is on the same side as the switching is not working, and there is no problem with the fan, then our conclusion is that the fan controller module is causing the problem and it needs to be replaced. The module is opened like this and then swapped with the other fan controller module and the problem is solved.

PS module, in fact the 12 volt power of the modules is provided from here. When the device is turned on and electricity enter the switching, there is no problem but the fans not working means that power is not reaching the micro and it has no reaction and only the power button is turned. In such cases, the problem may be with the PS module and it needs to be replaced. This module has four screws, two on the top side and two on the bottom side that are opened like this.

If the problem is caused by this module or in other words you do not have the 12-volt power, a test must be performed to see if the problem is with the upper Minmax or the lower one. Then, the faulty one is replaced with the spare module. This is one of the modules that are located on the Main switching and its function, how to move it and how to replace it have been already explained.
Another point about PS module is that this module provides our switching set with two 12 volts DC and 5 volts DC Minmaxes. If we want to test to see whether this module is providing us with the 12 volt Minmax or the 5 volt Minmax, there is a set of Pin Headers using which we can check these values.

These six upper Pin Header are 12 volts positive and these four lower pins are 5 volts positive and these eight pins in the middle with GND phrase written on them. This means that between measuring the voltage between GND and 12 volt we can make sure that the 12 volts is healthy and between GND and 5 volts we can check to see if the circuit is provided with the 5 volt voltage or not. If we do not have any of these, one of the 12 volt or 5 volt Minmaxes is definitely damaged.


In the incomplete Main Switching, there are two problems that can avoid the device from turning on and functioning. Sometimes the NTCs of these two parts and also their diodes burn out. However, these NTCs have been totally removed from the latest boards. In the old boards that have this part, if there is any problem with it, it can be easily replaced with a piece of wire (it should be short-circuited). When this part burns out, the device will not turn on because it has no power and it either becomes open-circuited or explodes. Normally, this part has 11 ohm resistance which is a small amount. When this part burns out, its signs are totally obvious. This part must be detached as you can see and replaced with a piece of wire. This way the problem with the device is solved and we will not have the problem of the device not turning on.





Another topic is three pairs of diodes. In fact, these diodes are located between the earth and phase, earth and null and phase and null. Whenever the earth of the system we are using is electrified or its null and phase become one, one of these three pairs of diodes burns out. In this case if the earth of the device is connected and the device is turned on, the fuse of the device will definitely burn out or the fuse of the place from which the electricity is taken will trip. In such case, you can only use the device if the earth is not connected to the device and it works without earth. To solve this problem, the diodes must be replaced. It is so simple to test these diodes. First, remove the diode from the circuit and test it like this. The diode is open from one side and Overload from the other and all of the diodes are tested like this. Any of the diodes which is burned out, needs to be replaced with a similar diode with the similar voltage. And this topic which was about the earthing problem of the device ends here. In cases where the earth has a problem, these diodes are damaged and need to be repaired.


There is one more notable point about overcurrent error of the board where if the problem is with the command, the command is opened like this and replaced with the command of the other side. Now, using a series lamp which will be explained later, we turn the device on. If the device is turned on and the switching of side one is activated and its relays are connected, if the problem is with the command and we have replaced it, then the overcurrent error of the board must be eliminated.



If the overcurrent error of the board number one still remains, the problem is not with the command and we have to move to the next stage.
Now we are going to examine this error. The first point is to examine the “command” problem. By replacing the “command”, it is possible to find out if the “command” is healthy or not. We replace the “command” of this side with the “command” of the other side which we have detached before, take a test and turn the device on. If the overcurrent error of board 2 still remains, it means that the “command” is healthy and we need to check other possibilities; if the error is eliminated, the overcurrent error of board 2 is eliminated, it means that its command is damaged. Lets suppose that the overcurrent error of board 2 still remains as the command has be replaced. To do this need to open the Main Switching. Open the Main switching, open the two screws at the top, three in the middle and two screws on the end of the board. Then detach the Main switching. To test these items, test the diodes that are on the switching module.

The first diode is the one that is located on the transformer and to test this diode, It needs to be released it from one side because it is connected to the both sides of the transformer and if a diode test is performed it will show short-circuit and it won’t be able to find out whether the diode is healthy or not. Here there are three diodes to test. There are ten diodes here and two other diodes that are located at the voltage and current output. First, following the instructions that were given earlier, we detach one of the sides of the diode that is located on the two sides of the transformer. The diode test of this diode must show overload in the both sides (this is a two-way diode and the result must be overload in the both sides). If the route of the voltage is displayed in one side, this diode is probably damaged. If the diode is overload in the both sides, it is healthy. If the diode is damaged, remove the diode from the circuit like this. Take the diode completely out of the circuit and if it is possible, replace it but if there isn’t a diode, we can just remove this damaged diode from the circuit and the device will be fine.



The next diodes that need to be tested are these three diodes. The first diode must show overload from one side and a value as big as 0/8 from the other side. The second and third diodes are tested in the same way. If any of these diodes is damaged, we can just remove them from the circuit like we did with the diode that was on the both sides of the transformer and this will not cause any problem for the device. If we have a spare diode, we can replace it with the damaged part. The next diodes that need to be tested are these ten diodes that are located here. These diodes pass the current from one side and their other side is a closed route.
z





One notable point is that this diode belongs to the DC voltage output. If this diode is burned out, it shows us that this other two diodes are burned out. In the first stage, we need to remove this diode from the circuit and then test these two diodes. Usually these two are shown to be healthy. This means that this diode’s burning out causes the other two diodes to be showed as burned out. But when this diode is removed from the circuit, there is no sign of damage in these two diodes and they are healthy and this problem is solved by removing from the circuit.

These two here are the next diodes. We need to release them from one side like this and then perform a diode test like this. They should be overload from both sides; if they let the current pass from one side or show short-circuit then that diode is burned out and must be removed or replaced with a spare part if possible.

IGBTs’ burning out can be another reason for an Overcurrent error of board number two.

Here there are four IGBTs which are numbered as IGBT1, 2, 3, and 4 and they are connected to each other two by two. IGBT 1 is connected to IGBT 3 and IGBT 2 is connected to IGBT 4. In testing them if IGBT 1 is burned out, IGBT 3 will definitely be shown as burned out as well. In this case, it is possible that both of them are burned out or maybe only one of them is burned out. To detect the burned-out part, we need to remove one of the IGBTs from the circuit and test it outside the circuit. If it is healthy then the other one is burned out. But if the one outside the circuit is burned out, we test the other IGBT on the board and if it is healthy there is no problem but if it is not healthy then both IGBTs are burned out and need to be replaced.
To test an IGBT, we need to test its three pins including gate, drain and source. Between drain and source, a diode test should be connected on one side and Overload from the other side. Diode test between gate and source pins and between gate and drain pins should be Overload on the both sides and if there is a short-circuit or a value, the IGBT has been damaged. Now we test the IGBT. First between drain (the middle pin) and source (the right-side pin) which is open from one side. The negative probe is connected to drain pin while the positive probe is connected to source pin. There is 0/48 value from one side and Overload from the other. Now we take gate with drain and source, they should be both Overload and the results does not change if the probes are swapped. There must no plan to any other pins from drain. This test is the same for all pins.

Now we suppose that one of these IGBTs is damaged which means that we have an Overcurrent problem of board number two. We tested the diodes and they are all healthy. So, our conclusion is that the problem must be with IGBTs. We tested the IGBTs and IGBT one and three have signs of being burned out. Now we need to find out which one is burned out and explain how to replace it.
There is a holder on IGBTs one which has five screws. This holder attaches all IGBTs to the heat sink applying the same amount of pressure. To open it we need to open these five screws, and then the holder is released. Now we want to remove IGBT number one from the circuit. To do this we need a tool named desoldering suction. This too, in fact, removes the tin from the circuit so that we can easily release the pins. Now we hold the soldering iron on the first pin of the IGBT until the tin is completely melted, then using the desoldering suction, we remove the tin. We repeat this for the rest of the pins. If the tin is not completely removed, we can add some more tin and try removing the tin again. We turn the module upside down; by moving the IGBT we can easily remove it from the circuit.


We test the IGBT one more time outside the circuit. The pins of the IGBT are gate, drain and source. There is a connection between drain and source from one side and the diode test shows a number but from the other side, when we swap the probes, it shows Overload. Between gate and drain and also gate and source there should be Overload. This means that there must not be any route between gate and drain, and gate and source. We test again, the drain middle pin and source show Overload from one side and a number from the other side. Also, gate and drain, and gate and source are also Overload.

Now, this IGBT is healthy; supposing that there is a problem with the device, if this is healthy then definitely IGBT number three is damaged and if we take a diode test, it must prove this theory. Since now all IGBTs are healthy, it is not possible to show this., Suppose that IGBT 1 was damaged and we replaced it and now we want to put it back in its place. Now we need to remove the extra tin on its pins using a soldering iron because extra tin does not let the pins cross inside the pads. There is an insulation named mica on every heat sink and beneath every IGBT. In fact, this insulation is used to prevent any connection between the body of this MOSFET and this heat sink which is located on the switching.


Before putting the IGBT back in its place we need to check its pads and make sure that there is no tin left so that we can easily install the IGBT. If there is any tin left inside the pads, we need to remove it using the desoldering suction. The holes are opened like this and this is how we put the IGBT back in its place. , Then we put the insulation back in its place meticulously. It is necessary for the height of these IGBTs to be the same because to close the holder, they all must be at the same level and with the same amount of pressure. When the IGBT is adjusted, we put tin on one of the pins like this and make sure that it is flat. Now we put tin on the other pins to stabilize them. The tin must thoroughly cover the pins. The crack you can see here needs to be evenly filled with tin.



When the IGBTs are removed, there is metallized in these pads. After we remove the part, this metallized is damaged and rendered useless. In fact, the metallized is the connection between the upper and lower layer of the board. To solve this problem, we should tin-plate these pins from above. We put the tin here so that the connection between the upper pins and the upper pads is completely established, like this. After we ensure their connection, it is time to close the holder. To close the holder, we begin by fastening the middle screw. Then we put the holder back in its place and fasten the screw as long as it is reached its end but not completely fastened. Then we put the holder in a straight angle and fasten the other screws. The screws must be fastened following this exact order so that the pressure applied to the IGBTs to attach them to the heat sink is evenly distributed.


Now we want to make sure that there is no body connection between the IGBT and heat sink. We set the multimeter at ohm mode. We take an IGBT test from the middle pin of IGBT and the heat sink should be Overload. Then we test all IGBTs following the same procedure to ensure that there is no connection. So here the replacement of the IGBT ends and now we can close the Main Switching and take a test to see whether the problem has been solved or not.

Switching is composed of two parts switching one and switching two. This part on which the microprocessor is located on is in fact switching number two. Both sides have a Main Switching. The side which has a microprocessor is the Main Switching while the other side which has fewer modules is the incomplete Main Switching.



Now, let’s look at the Overcurrent error of board number one. The first thing we face in the Overcurrent error of board number one is “command”. After the Minmax burns out, the “command” is damaged which cause an Overcurrent error of the board number one. The easiest way to test it, is to replace the “command” of the complete wide with the one of the incomplete side and see if it is healthy or not. The next things that we can check are the IGBTs that are located on the switching. There are four IGBTs on which a diode test has to be performed to see if they are healthy (This will be more explained later). Next are the diodes on the switching module that are located under the Main; since these diodes can cause an Overcurrent error of board number one, they need to be tested as well. To access these diodes, the Main of the incomplete Switching needs to be opened which is done by unscrewing seven screws. After unscrewing the screws, the Main is easily detached. There are some diodes on the Main which should be tested to examine the reason for the Overcurrent error of board number one. A diode has a transformer on each side. To test this diode, it is necessary that one of its ends is detached from the circuit because this diode is located at the two ends of the Trans and if we perform the test in this state, a short-circuit is displayed. Therefore, one of its ends must be detached.






There are two diodes on this side and eight on the other side. Also, there are two diodes at the end of the voltage output of the currents. To perform the test one of the ends of these two diodes must be detached. The first two-end transformers is tested. First, one side of the diode is detached using a soldering iron and the multimeter is set at diode test mode. After testing the diode it can be see that the diode is on Overload diode from both sides.

Now it is time to test the next two diodes. Overload must be displayed from one of the sides and the value 0/7 must be displayed from the other side. In this case the diode is healthy and there is no need for replacing it. There are 8 other diodes showing 0/3 on one side and overload on the other. All diodes are tested in the same way.
In the end, these two diodes located on each ends of the currents voltage Used for Supplying the current Mosfet are detached like this. One side is detached These diodes need to be overloaded from both sides. What is meant by both sides is that by moving the end of the probes in any side, it must have the Overload value.
this way, the diode test ends. Now, if any of these diodes has a problem, the faulty part must be replaced with a one in accordance with its Part Number. But, the absence of some of these diodes do not cause any problem. This means that if this diode is not available, it is ok to detach it from the circuit. Such as the two-end transformer diode and these two diodes. But it is necessary for these eight diodes to be present in the circuit. Also, it is ok for these two diodes not to be present.
The next element that we are going to examine is the IGBT.
It was mentioned earlier that there are four IGBTs. A diode test must be performed for the pins of these IGBTs. Every IGBT has three pins of gate, drain and source. The diode test is first performed between drain and source. If you look at the IGBT from this angle, the middle pin is drain and the right pin is source. The diode test between these pins is performed from positive to negative or from negative to positive. When the negative probe of the multimeter is placed on the drain pin and the positive side is placed on the source pin, the multimeter shows 4/8. If the probes are swapped, Overload must be displayed. The rest of the IGBTs are tested following the same procedure. In the first place, this indicates the health of the IGBT. Next, the gate pins are to be tested with drain and source which refer to the left side pin and the side pins, respectively.

In this state, we should have the Overload value between every one of the pins. In fact, there should not be any connection between the gate and drain and source pins. If there is a short-circuit between these pins, the IGBT is definitely burned out. These IGBTs are shared two by two. If we number the IGBTs as 1, 2 , 3 and 4, then IGBT 1 and 3 and IGBT 3 and 4 are connected. When these IGBTs are damaged, if it is assumed that the first IGBT is burned out, if the third IGBT is tested it is displayed as burned out as well. This means that their pins are short-circuited. There are two cases here where one of the IGBTs is burned out and the other is being displayed as burned out. In this case, one of them is tested by being detached from the circuit. Or maybe both of them are burned out. It is the same for the second and fourth IGBTs. If they both display signs of being burned out in the diode test, one of them is detached from the circuit (how to detach an IGBT is explained in the following) and the test is performed. If this IGBT is healthy, then the other one is burned out, otherwise the other IGBT is tested as well.

To open the IGBT, first we need to open this holder. The holder has five screws. The middle screw, the two side screws and then the other screws are unscrewed respectively and the holder is opened. Now, as an example, IGBT number one is removed from the board. To do this, we need a desoldering suction to remove the tin from the pins of the IGBT. Then we heat the pin and after the tin is completely melted, we remove it using the desoldering suction. We can do this as many times as needed for every pin until the tin is completely removed. If the tin is not completely removed, we can add some tin and then melt all of the tin on the pin and remove it again. The IGBT is removed from the board simply by giving it a shake. Now we test the IGBT outside the circuit. We repeat the pins, gain, drain and source. Between drain and source we should have 4/8 from one side, 4/8 inside the circuit and 4/5 outside the circuit. But between gate, drain and gate, the source must always have the Overload value. This IGBT here is healthy.




To reinstall the IGBT, there is insulation beneath every IGBT just like this. In fact, this insulation prevents the MOSFET body and heat sink from touching each other. This insulation must be exactly beneath the IGBT and silicon paste is used beneath the insulation. We put the insulation beneath the IGBT like this and then put the IGBT on the heat sink and then remove its pins from the pads. But before this, first the IGBT pads must be emptied from any tin. To do this, we put some tin on the pads to melt all of the tin inside. Then we remove the tin using a desoldering suction.

We repeat this for the next pads. Then, we remove the tin on the basses of the IGBTs. First we need to clean the tip of the soldering iron and put some flux on the pins and collect the additional tin. We repeat this for the other pins. We put the insulation talc and then install the IGBT on its extra. We put the pins of the IGBT in the pads as much as it is at the same level as the others.


Adjust the IGBT and the talc beneath it, so there must not be any connection between the heat sync and MOSFET. After installing the IGBT, correctly fill the middle pin with tin so that the connection is established. Then we repeat this for the other pins. Another important point when replacing the IGBT is that when remove the IGBT from the board, the pads may be damaged. In fact, the metalized that is inside these pads is separated. For this, put the tin on the pin from the top so that the connection with the board is thoroughly established.


Then close the holder. To do so, first, fasten the middle screw because a piece of metal is putting pressure on the IGBTs and the screws must be fastened in a specific order so that this pressure is uniformly applied to all of the IGBTs. This is why you don’t completely fasten the screws. Only fasten them at the end. If you are using a torque wrench for fastening the screws, set the pressure on 2.5 newtons on meter and then fasten the screw. If you are using a screwdriver, keep fastening until you feel that the screw is tight enough.


After closing the holder, to ensure that there is no connection, put the multimeter in the ohm mode and check the middle pin of every IGBT with the body of the heat sink. It must be Overload in all states. So replacing the IGBT ends here.

In this part, we are going to introduce internal modules of the Vebko relay tester device, the possible problems and how to solve them.
After watching the video tutorial on how to open the device, you must have noticed that the device has three main modules, including the switching module, the amplifier module and the front panel of the device. First we are going to get familiar with the switching module which provides the second module or amplifier with the main power supply. After opening the device, to prevent facing any problems during the test, you can use a lamp series that we have placed in the route of the input electricity. The phoenix that you are seeing is placed after the series lamp and is connected to the input section of the switching module. The switching module has a main module that is located in the middle and has two complete and incomplete sides. The complete side is the side where there are more modules on the Main while the incomplete side has, in fact, more protective elements. There are four pins in the incomplete side two of which are located on the left side of the phase and the other two are located at the right side of the null.



We connect this phoenix to the two pins at the middle of these four pins which includes phase and null. When the input electricity enters the incomplete side it crosses a set of protective elements including varistor, line filter and protective diodes two of which are located between phase and null, two between phase and earth and two more between null and earth. The incomplete side has two outputs. This means that the electricity enters the two phase and null outputs after crossing the protective elements which is connected to the two sides of the main input of the device by two cables. Therefore, the two complete and incomplete sides must be electrified. This part of the output electricity is connected to the incomplete side and this cable is connected to the complete side.



Note that as soon as the electricity of the complete side is connected, the black header enters the Main Switching through this pin. When 220 volt electricity enters this section, it enters the PS or the input power supply through this phoenix. As soon as we electrify the two sides of the switching the middle module does not get electrified at all. When the connection command of the switch number one and two appear in the software, the middle module gets electrified. This means that the middle module is never electrified at the first moment and the electricity only enters the PS from this section. This PS has 12 and 5 volts DC outputs. Through this PS, the electricity enters other modules including fan controller, micro module and LAN-GPS module. After the electricity enters the PS, its outputs that are 12 and 5 volts DC electrify the above modules. These 5 volts enters the micro and by this IC changes into 3/3 volts which provides the power supply of the micro.





After that we can apply the commands of the main parts of the device by the micro. One of these commands is the command to connect switch one and two in the software. So let us emphasize that after the input electricity crosses the protective circuits that are embedded into the incomplete side of the switching, the two sides of the output are electrified by its outputs which enters the complete side from here and the incomplete side from here. The main commands are issued by the micro. The input electricity enters from this part and the PS is electrified. Then its output reaches the above modules. So, we provided the power supply of the incomplete side from this part but the connection of the commands of the incomplete side micro establishes the connection between the complete and the incomplete switching sides by a flat cable that is embedded in this part.

When the device is electrified in this state, after the electricity passes the lamp series, it enters the incomplete Main Switching through this phoenix and crosses these protective elements. In the end, this Main has two 220-volt outputs and one of the outputs enters the complete switching side from this way and the other output enters the incomplete switching side through this phoenix. When the electricity reaches this part, it enters the PS through this black pin header. This PS receives the 220 volts AC and converts it to 5 volts and 12 volts DC and provides the upper modules with power supply. These 5 volts enters the micro and is converted to 3/3 volts by this IC; using this 3/3 volts electricity micro LPC1788 which is the main micro of the device starts working.
In this part where the phoenixes are electrified, the middle part of the device is not electrified yet and only the digital part of the device is electrified. Then it is ready to command the middle part of the switching by the micro. Above the phoenix there is a glass relay which belongs to the complete switching side and is known as switch number two in the software. On this side, this glass relay is the relay which activates by connecting switch number one in the software and electrifies this part of the switching. Here there is a series lamp in the circuit. When the switches activate, the lamp turns on for a moment and then it turns off. It is better that there is a series lamp series in the circuit because if current is drawn from a part of the circuit, this lamp is turned on.
As soon as the device is electrified the digital part enters the micro by 5-volt and 12-volt PS and prepares the micro module for issuing the command. In this part, we enter the settings of the software and connect to the device by entering the IP. , In Hardware tab there are two sections of Enable Switch 1 and Enable Switch 2 and these are the relays that were explained.
In the settings section of the software, after entering the IP and connecting to the device, there are two sections of Enable Switch 1 and Enable Switch 2 in Hardware tab. By activating Switch number one and selecting Apply, this section which is related to the switching of the device activates. This glass relay here is connected and the input electricity which is connected to the phoenix through a cable, electrifies this part of the switching.
By activating switching number two, this relay is connected and electrifies the middle part of the switching. Whenever there is a problem in the switching module, if you have a series lamp, it remains on the whole time and you can find the source of the problem by disconnecting the key. Note that if you do not have a series lamp, other parts of the device might get damaged in which case an Overcurrent error is displayed.
In the output phoenixes section of the switching module, we can have the desired voltage for powering the amplifier module by connecting this relay. The notable point is that the command module is the upper voltage section, specially these pins that are out of it. There is no problem before the switches are connected, in other words, it does not have any dangerous voltage. But when the switch is connected, be sure not to touch the command module with bare hands. The other modules are safe to touch.
Up to this point, after switches one and two are connected, we must have the desired voltages in the device. Generally, the two sides of the switching module are similar to each other. Here there are two 8-pin phoenixes and one 4-pin phoenix. 8-pin phoenixes are the outputs that power the current phases of the amplifier. Later more will be said about the amplifier module. The phoenix that is located on the outside section on the board must have 12 to 13 volts in relation to the 4-pin phoenix while the phoenix on the inside of the board must have -12 to -13 volts in relation to the 4-pin phoenix.
When switches one and two are active, set the multi-meter at DC mode and in measurement, you can even measure these two 8-pin phoenixes in relation to each other and the multi-meter must show a value from 22 to 24 volts.
After activating switches number one and two in the software, you must measure the output voltages of the switching module. All pins of this 8-pin that is located on the outside section of the switching module are connected to each other and it must show 12 volts of value in relation to this middle phoenix which is the earth. This 8-pin which is located on the inside section of the switching module, must should -12 volts of value in relation to this phoenix in the middle.
If we measure two 8-pin phoenixes in relation to each other, 22 to 24 volts of value must be displayed. This phoenix is the output of voltage. In general, the switching module has two outputs one of which is the output of these phoenixes and has 12 and 12 volts of voltage. The output of this section of the module powers the amplifier. This phoenix is the second output whose output voltage is 300 and 300 volts. Next, we measure its value by using a cable. In this phoenix the earth middle pin and the side pins are 300 and 300 volts. These outputs that were just explained belong to the incomplete switching side.
Also, in the complete switching side, this phoenix that is located on the outside of the switching, just like the incomplete switching, must have 12 volts of voltage in relation to the middle phoenix. This phoenix which is inside the switching has a 12 volt output in relation to the middle phoenix.
In this part we measure two 8-pins in relation to each other and an approximate value of 23/3 volts is displayed. Therefore, the output of the switching module is correct and we only need to check some other items on the module. We turn the device off and introduce modules of the complete switching side one more time. The PS module that is responsible for powering other modules has 12 volt and 5 volt outputs. This is the fan controller module which is also on the board of the amplifier and when temperature of the device rises, it increases or decreases the speed of the fans. This is the command module and this is the micro module which is responsible for the commands of different parts of the device. LAN-GPS and Wi-Fi modules are located at the top which are used to establish the connection between the software and the device through LAN, Wifi and GPS.
After the device is turned on, we first connect to the device. By connecting the switches, for the complete switching side, 220-volt electricity enters the switching and passes through Diode Bridge and eventually generates 310 volts DC. At the same time, using the command, the micro generates 4 high-frequency pulses whose outputs are located in this section and enters the switching module through a set of pins located at the back of the Main. These high-frequency pulses are connected to the gates of these IGBTs while 300 volts of DC voltage is connected to the drain of these IGBTs. Finally, a high-frequency pulse with a DC amplitude of 300 volts, which is the output of these IGBTs, is taken from the sources and connected to the input of the transformer.
So, the input of the transformer is a high-frequency pulse with a 300-volt range which comes from the input electricity and is converted to DC by the diode bridge. Considering the coil of a transformer, it produces the expected output voltage of the switching module in several 12-volt and 12-volt, 75-amp, 300-volt, and 300-volt windings that do not have much current. The desired voltages are generated after passing through the rectifier diodes in DC. The intended voltages are converted to DC after passing through rectifier diodes.
The input electricity of these two sides enters this section through this cable and the connection command of the relay of the incomplete switching side and its connections are adjusted from the complete side through this cable. If this cable is removed from its place or its connection with this part is not completely established, when the switching number one is connected, an Overcurrent error of board one is displayed which is not eliminated by Clearing it. Just the relay disconnects and reconnects so that this flat is correctly placed in its location. Another point is that the relays receive the command from here through the pin header of this section and then it enters the relay to stimulate its bobbin. It is the same in these parts. If this upper pin header is not correctly installed, the relay will not connect and to know when these relays connect, by activating the switches in the software you can hear a sound to ensure that the relays are connected and ultimately have the output voltage from the switching module.
we are going to see how to work with the switching module. If in the switching module we have an Overcurrent error of the board one or board two, we have to open the board of the switching to find its problem. First, we disconnect the connection between the two sides of the switch, which is this flat, and then the input power cables that enter the two sides of the switch from the protection circuit. Then, we open the screws that are attaching the two sides of the Main to the Spacer. Every one of these modules, except for the micro module, is attached to the Main by these screws. The micro module is attached to the Main by its own pins.



You can easily detach PS, Fan Controller, Command and Micro modules from the Main by applying little pressure to the outside. To detach LAN-GPS, first, the above screws are opened and the Wi-Fi module is detached. Then, by opening this spacer and a screw in this part the LAN-GPS module is detached. There is one screw in the end which is in the back of the PS module and two more screws at the bottom of the module. After all side screws are opened, the Main can be easily detached.






On the Incomplete Main Switching, other than these protective elements, there is a command which, just like the complete switching side, generates high-frequency pulses and the output of this module is 4 pulses. We can detach the Incomplete Main Switching by opening the screws around it. Also, it was already mentioned that in addition to the protective modules, there is a command module as well. The command used in the Complete Switching Side is no different from the one used in the Incomplete Switching Side. This was mentioned to note that when we have an Overcurrent error on a Switching side, before opening the Mains, we should swap the commands of the two sides to make sure that the problem is with the command module. If the error is eliminated the problem is with the command otherwise there is a problem in other parts.


After opening the switching module, it is a little hard to differentiate between the complete and incomplete side. In the complete switching module side you can see a double pin header. The electricity is AC that reaches the PS module. Then the PS is electrified so that the other modules are electrified. There is no such pin header in the incomplete switching side. Only there is a 3-pin pin header which issues the connection command of the relay of the incomplete side or switch number one. In the complete side, we have the same triple pin-header which is used for the complete side switch or switch number two. Also, we have the phase and null that electrifies the PS. Therefore, the side where this double pin header is located is the AC electricity and because of this, we know that this is the complete side of the device. When there is an Overcurrent error of board two or board one, as mentioned before, first we swap the command modules of the two sides. If the problem is solved, the command module is causing the error, otherwise, we need to open the Main as already mentioned and then move the faulty side up to this level like this. Here you can check some items to see what part is causing the Overcurrent error.



Overcurrent error of board one and two is one of the most common errors in the switching module. After making sure that the command module is healthy, in the switching module, we need to find the problem in accordance with the error that we are having on a side. As mentioned earlier, the input electricity enters from this section. When switch number two is connected, it is converted to DC by the diode bridge and 300 volts DC enters these two lines. It enters the IGBT from here. If you pay careful attention to the complete Main Switching, you can see that these female pin headers are connected to this part. These connections enter the command module from here.





This means that the command pulses enter this part from here and then go to the IGBTs. Each of these pins is connected to one of these IGBT pins. Some of the problems that some users might face are that when the IGBTs are placed on the board, while installing them in this section, the pads may be detached, or if the tin of these bases is weak, the connection between this IGBT base and the pin header may not be established. So the first step is to examine the command and after making sure that the command is healthy, we enter the switching module. First we perform the IGBTs’ test. We set the multimeter at diode test mode. The second and third bases from the top for every IGBT are drain and source bases. We connect the negative and positive probes of the multimeter to the second and third bases, respectively, and the approximate value of 0/4 must be displayed and in the opposite state is Overload. We perform the test for every one of these IGBTs.




So examining the command is the first step and then we need to test the IGBTs to see if one of them is burned out. If drain and source has a 0/4 value and its opposite state is open or is not Overload and if gate and source bases are open, that IGBT is burned out. So far we know that the IGBTs are healthy. We set the multi-meter at Buzzer mode and check the connection between these IGBTs and these pin that connect the command and the switching module. From the top, the gate and source of the first IGBT must be connected to pins number one and two, respectively. The connection between this pin and here is a track from inside the switching module. When the IGBT is changed, it is possible that this track is disconnected or it does not have any tin and the connection is not properly established.


Then, the second IGBT and its source are connected to pin number 3 and pin number 4, respectively. The source of the third IGBT is connected to the last three pins and for the fourth IGBT, the second base which is its gate and its source is connected to the last three pins. If all of the connections are correct, the IGBTs and their connection to the command module are completely healthy. In the end, we precede one more step and if we still are not able to eradicate the Overcurrent error, there is one more thing that we can do which will be explained in the following. There is a set of protection diodes in the input and output of the transformer so that they can neutralize any sudden voltage and also there are two protection diodes in the current output. We can examine these diodes by a diode test. This diode that is located at the two ends of this transformer, since it is located at the two ends of a coil and normally, these two ends are connected to each other, by testing it we can see that the two ends are connected so the only way to test this diode is to remove one diode base from the circuit and then test it.





To test this diode, first, we need to detach one of its bases from the board and perform a diode test on it. In this test, the diode must be Overload on both sides. Then we test the other three diodes. This diode which is in a vertical position, if positive and negative probes are connected to its top and bottom, 0/4 is displayed and by reversing the probes, it must be Overload. This does not mean that these diodes are usually like this. All diodes are similar and do not allow anything to pass from any direction. It is because of the elements with which they are made parallel or series that these values are displayed. In fact, the correct value is 0/7 that you can see and its opposite is Overload. It is the same for the next diode. We can test these two diodes by detaching one of the bases. The top side of these two diodes must be Overload as well.
In the end to eradicate the Main Switching error, if the problem is not with the command, IGBTs and the connections with the pins, then it can be said that the problem is with the diodes. This error can have several reasons at the same time; for example, maybe the IGBT and diode are both burned out. In the first step, we replace the IGBT but the error still persists. It is better to test all elements and then turn the device on. Another solution is to check these rectifier diodes located at the transformer output. Ten rectifier diodes are located in the output of the transformer on the complete switching side. It is possible that these diodes are faulty and we are going to test them. So you can easily determine that which part of the switching is not functioning properly. Here there is a track and by removing the tin on this track, its connection is severed. By disconnecting this track, the connection between the input of the transformer which is these IGBTs in the bottom side and the top side of the switching is severed. Then we connect the switch to see whether the error is gone or not. If this track is severed, only the bottom side of the switching is active and the top side is completely disconnected. If you are facing this error again, it is obvious that the problem is not with the top side of the circuit and IGBTs, command and the connections of pins must be tested.
First, we connect the electricity while the series lamp is in the track of the input electricity. It was mentioned that there are some protection diodes in the input and output of the transformer. We simulated the input of the transformer and our assumption is that the protection diode is burned out. Then we short-circuit it and by connecting switch number two, the lamp series which is located in the track of the input electricity stays on and disconnects the system completely. This is a sign of the Overcurrent error of board number two and we need to find the problem which is the diode that we short-circuited. You can see that when the switch is connected, the lamp series turns on and disconnects the electricity. By disconnecting the series lamp in the track of the electricity and by connecting the switch, you can see the Overcurrent error of board number two. When the device is assembled, there is no lamp series in the electricity track and we see Overcurrent error of boards one and two. If the device is open and if the lamp series is in the circuit, we can easily find the problem at any stage.
Now, to solve the Overcurrent error that we caused on purpose, using a short piece of wire, we short-circuit the diode which is located in the input of the transformer and suppose that the diode is burned out and we are not aware of this problem. In the first step, we replace the command of the incomplete switching side with the command of the complete switching side. But the error still persists. So, it is not the command that is causing the problem. Therefore, as previously mentioned, we open the screws of the Main Switching. We completely detach the main from the module, and then examine the IGBTs and their connections with the pins that are connected to the command. Finally, we get to the test of protection diodes. We cannot test this protection diode which is located in the input of the transformer, while it is still connected to the switching module because it is located on the two ends of a coil while that coil is short-circuited as well.
Therefore, we need to detach one of its bases from the circuit and test it. We replace this wire here which is the burned out diode and is causing the error with a healthy diode. Then we connect to the software and the error must be gone. We have explained how to test these diodes before. To test any of them, first, we detach one of the bases and then test the diode. It is the same for these rectifier diodes. Every one of them must show 0/3 or 0/4 as value for one side, and Overcurrent for the opposite side. Note that to test these diodes; it is necessary for one of the bases of the above diodes to be detached because if this diode is short-circuited, when connected, we may see them as burned out while they are in fact healthy.
We install the healthy protection diode in the input of the transformer again. Then, we connect the complete and incomplete Main Switching’s, connection flat of the complete side to the incomplete side and the input electricity of the modules. Finally, we connect the input electricity of the incomplete switching side and the commands.
After replacing the diode of the input of the transformer and adding a lamp series to the circuit, we connect to the software and connect switch number two whose diode we just changed. Now we can see that the lamp series are turned on for a moment and turned off. All items are healthy and the output voltage is flowing.
Suppose that we have an Overcurrent error problem of board number one. In this case, first, we replace the command of the incomplete side with the command of the complete side. If the problem still persists, we need to detach the Main Switching of the incomplete side. First, we disconnect the electricity cables from the two sides and the connection flat; after opening the screws, we remove the Main from its place. Then we perform a test for IGBTs and their connection with these pins. Next, we test the protection diodes as well as these two diodes and the rectifier diodes, just like how we tested the other side.
In the switching module, when switch number two is connected, we get an Overcurrent error of board two. According to our previous explanations, we need to proceed step by step to find the problem. In the first step, we replace the command module with the command of the incomplete side to see whether the command is causing the problem or not. Before doing this, we need to turn the device off. Then we replace the modules. Since we have already connected switch number two, it does not really matter if we connect the command of the incomplete side because we cannot activate switch number one. Then we turn the device on and connect to it. You can see that even by replacing the commands, the error still persists. We turn the device off again and open the Main Switching of the complete side.
As mentioned before, we open all screws of the modules and then Main and completely detach the Main from the module. Then we test the IGBTs. To do this, we set the multimeter at diode test mode and test the IGBTs one by one, as explained before. Bases two and three must show the value of 0/4 in one side in the diode test and it must be Overloaded in the other side. Most probably the IGBTs are damaged because all of the four IGBTs are damaged in the test and to make sure of this, we need to remove the IGBTs from the circuit and repeat the test. To remove these IGBTs, we detach the Incomplete Main Switching so that the switching module is easily put on the desk.
These IGBTs must be tested one by one. On these IGBTs, there is a holder that is tightened on the body of the heat sink by five screws. Before melting the tin of the bases of the IGBT, we need to open these screws and detach the heat sink a little and put these insulations that are located between the IGBT and the heat sink on the body of the heat sink. Then, by adding the extra tin on the bases of the IGBT and holding the soldering iron at this point, remove the IGBT from the module. Then we test it and we can see that this IGBT is short-circuited. Then we test the next IGBT on the board and this one is short-circuited as well. So we remove it and test it again which does not change the result and it is still short-circuited.
Usually, in over voltages that are applied, it is possible that all of the IGBTs get damaged, and here only the IGBT number four is healthy and the rest are damaged. Then we assembled the healthy IGBTs on the board. When we removed the IGBTs from the circuit, inside the pads got filled with tin. Using a desoldering suction, we remove the tin inside them so that we can easily install the parts. By holding the soldering iron on the pad, its tin melts down and then we can easily remove it using the desoldering suction. Then, after removing the tin, we install the healthy IGBT until the last part like this and then we fix it by adding some tin. Following the same procedure, we remove the tin from the pad of the next IGBT and install the part in its place.
After replacing the damaged IGBTs, as you can see, we emptied the pads, installed the IGBTs and then filled the bases with tin. In the end, we fix the holder that is placed over the IGBTs. After fixing the holder, we need to take a IGBTs connection test (drain base) with the body of the heat sink which is the same as the ohm test where none of them has body connection. Finally, we put the incomplete Main Switching and along with its command module and the complete Main Switching in their places. Then we connect the connection flats and electricity cable of every part. By turning the device on and activating switch number two and clearing the error, the series lamp turns on for a moment and then turns off which means that there is no problem. After that, we check the output voltage of the side that had an issue. Then we take a test between the eight-pin external phoenix and the eight-pin internal phoenix which should give 23 to 24 volts as the result. So the problem with this module was that three of the IGBTs on the switching module were burned out and by replacing them, the problem was solved and the output voltage is correct.
In the beginning, it was mentioned that the switching module is responsible for supplying power for the amplifier module. Two flats are used to establish the connection between the command of the micro and the amplifier module. In this section, the connection between the complete Main Switching and the front panel is established through this IDC. First, we explain the connections between the switching module and the amplifier. The switching module must supply the amplifier module with power through the output voltages.
In this section of the switching module, the external eight-pin phoenix has 12 volts, the phoenix in the middle of the GND and the next phoenix have -12 volts that in these cables, blue is -12, black is earth and red is 12 volts. These cables are responsible for supplying current phases of the amplifier with power. Before connecting it, we need to explain the amplifier module. The amplifier module, just like the switching module, consists of a middle section and two sides called incomplete and complete sides. There are differences between the complete and incomplete sides of the amplifier module.
On the complete side, every one of these modules which is called controller, is related to a current or voltage phase and this controller at the top is related to the VL1 phase and the other is related to VL2 while the one at the bottom is related to VL3. By looking at the front panel, you can see that VL1, VL2 and VL3 are in accordance with the GND. The current phases are in this section. lA1, lA2 and lA3 that are connected to lA1, lA2 and lA3 front panel through phoenixes and cables in relation to earth. In the incomplete side of the amplifier, there are five phases. This is the DC output voltage which is located here in the front panel. This section is the output voltage of group B. here lB1, lB2 and lB3 in the front panel are connected to lB1, lB2 and lB3 in relation to earth.
There is a difference between the incomplete and complete sides. As you can see, there are six phases in this section including three voltage phases and three current phases which have been explained before. On the incomplete side, there are five phases including one voltage phase of group B and one DC phase and three current phases of group B. Another difference is that on the complete side there is a fan controller module amplifier while there is no such thing on the incomplete side of this module. On the whole amplifier module, in addition to the main module which is the middle amplifier module, there are two mains on the two sides just like the switching module where the incomplete and complete sides are separated. In the amplifier module, after opening these screws we can separate these two mains and solve the problems of the module. Also, there are three sensors on every side of the module that are located on the output of the current phases. If we connect to the software, we can see the temperature of lA1, lA2 and lA3 sensors as well as lB1, lB2 and lB3 sensors which is the same temperature as the room temperature.
By drawing current from current phases, the temperature of these sensors rises. As soon as the temperature of the first sensor reaches 60 degrees, we get a Thermal error of the amplifier in the software. Now we connect the electricity that is being taken from the switching module side to the amplifier. If you place the amplifier in front of yourself like this, there are two phoenixes on the right side that are responsible for supplying VL1, VL2 and VL3 voltages and there are five phoenixes on the left side that are responsible for supplying lA1, lA2 and lA3 current phases. This black wire which comes from the power of the phoenix in the middle is connected to the phoenix number one on the left side at the top. Two red wires that carry a 12 volts DC, are connected to this section. Also, the blue wire carrying -12 volts is connected to these phoenixes.
So, now we have connected the power of lA1, lA2 and lA3 current phases to the amplifier through the switching. In the next part, we connect the power of VL1, VL2 and VL3 voltage phases. As mentioned before, this phoenix here, the wire at the center of the GND and the left side of the red 300-volt wire and at the right side which is the blue -300-volt wire goes through resistances. We connect these two phoenixes to the power of the voltage phases. When we connect the switch, we must have 600 volts between the two ends of these phoenixes. So, in the first step, we took the power of current and voltage phases from the switching and connected it to the amplifier. As soon as switch number one is connected, the output of the voltages reaches here and enters the amplifier module through these cables. Also, from this part, a flat is connected to the amplifier module to connect the command of the micro and the SPI signals. Each of these two IDC Latches that are located on the right and left sides of the Main Switching module is related to one side of the amplifier module. If we connect this cable to this part, the commands will not be executed correctly.
If by initializing the VL1, a Self Calibration error will appear. The electricity for the complete side of the amplifier must be taken from the right side of the Main Switching. By injecting voltage into this side of the module and testing it, we need to take the flat from the left side of the switching module. When the device is assembled, both sides of the device are electrified simultaneously and we connect the flat. Just note that the flat that is connected to the complete side of the amplifier must come from the right side of the Main Switching. So far, have connected power to current and voltage phases as well as the flat that establishes the connections.
We turn the device on. Each of these controllers has a series of boot loaders that are put on the STM32 IC and when they are functioning properly, their LED blinks like this. When we connect to the software, usually we can see this earth error which appears if the related wire is not connected. We connect the earth wire and by clearing the error it disappears. Now, this part is electrified and the electricity reaches the amplifier module through these cables.
By looking at the monitor, you can see four temperatures including Sensor Ia1=24˚c, Sensor Ia2=25˚c, Sensor Ia3=25˚c and Heatsink1 =25˚c. By detaching one of these sensors, for example, la1, an error is displayed in the software which can be cleared by selecting Clear Error. The sensor we just detached displays zero-degree temperature. By reconnecting the sensor, 24 degrees is displayed in the software again. To view the heat sink sensor, we first need to turn off the device. It was mentioned that there are three sensors on every side of the module which are related to the currents and two sensors are related to the heat sink. This part is the heat sink and the sensor is located in this part of the heat sink and is connected to the Main by this pin header. lb1, lb2 and lb3 and the sensor related to the heat sink number two are located in this part and connected to the Main by this pin header and its value is read by this Max1202 and displayed in the software. So, there are three sensors in this part and one sensor at the bottom and four more sensors in this part that are read by this Max.
If current is drawn from any of these phases, these temperatures increase and as soon as the first temperature reaches 60 degrees a Thermal error of the amplifier will be displayed. Sometimes, any of these LN35s may have a problem in reading or this connection cable is damaged. This temperature displays, for example, Ia1 300 degrees as soon as the device is connected. This means that when the device is connected to the software, it displays an error because it has a temperature above 60 degrees and this error does not go away no matter how many times you clear the error unless the Thermal error is disabled in the software. But, even by doing this, some other problems may be caused. So, as soon as you notice this unusual temperature, you need to start looking for a solution to solve this problem.
We connect the flat cable that transfers the commands. As you can see, the temperatures are as follows: Temperature Sensor Ia1=25˚c, Temperature Sensor Ia2=25˚c, Temperature Sensor Ia1=25˚c and Temperature Heatsink1 =25˚c. Also, Temperature Sensor Ib1=0˚c, Temperature Sensor Ib2=0˚c, Temperature Sensor Ib3=0˚c and Temperature Heatsink2 =0˚c which are related to this side and since the flat is not connected to this section yet, zero is displayed as their temperature. Now we turn the device off and connect the flat of the side of the incomplete temperature to check them. When we want to check the incomplete side of the amplifier module, we need to connect the left side of the flat from the switching. Then, we turn the device on and this time temperatures of lb1, lb2, lb3 and Heatsink2 must be displayed. So, if any of these temperatures is unusual and there is a Thermal error of the amplifier, we need to solve the problem considering the faulty sensor.
Sometimes, temperatures of sensors one, two, three and four are all wrong. The tin of this IC which is related to reading temperatures may have a problem or the IC itself may be damaged. But if only one of the temperatures is being displayed wrongly, probably this IC is healthy and it is possible that the LV35 senor which can be seen easier by opening the modules, has a problem; also, it is possible that this cable which is connected from LN35 bases to this pin header has a problem.
We turn the device off and turn the module toward the complete side. If you enter the amplifier in any current or voltage phase, every phase of Va1, Va2 and Va3 voltages has two MOSFET, N and P. Also, current phases l1a, la2 and la3, just like current voltages, have two MOSFET, N and P.
One of the most essential tests to be performed on the lines that are protected by relays on both sides is an “End to End test”. To perform this test, both devices on the sides of the line must be synchronized and inject the required signals into the relays simultaneously.
The first step is the stability test. There are two things to consider for this test: first, the transformation ratio of CTs and second, the polarity of CTs.
For example, suppose that the transformation ratio of CT in post A is 1000/1 and in substation B is 800/1 and the polarity of both substations is toward object. If the current in the line is assumed to be 1000 amps, then the current of the relays of the substation A and substation B will be 1 and 1.25 amperes respectively. Also because the polarity of both CTs is toward object, there will be a 180 degree phase difference in the corresponding phases.
The "AMT Sequencer" room is used for performing the stability test. In this room, 6 current phases must be activated. To do this, go to the "Hardware Configuration" page and deactivate the voltage phases. Then all the 6 current phases will be activated in the "Current Output Signal" section. Considering what was said in the preceding example, 3 balanced 1 amp phase current and three balanced 1/25 amp phase which have a 180 degree phase difference with their corresponding phase toward each other, will be entered in the "Table View" tab.



Injecting these currents into the relays will take 100 seconds. During this time, the "Idiff" of the relay, visible on the measurement panel in front of the relay, must be zero.

The second step is the characteristic curve test. In this room, first, the 'XRio" file of the differential relay which is being tested will be imported. To do this, go to the "Test Object" page and click on the "Import from list" option to open the "Template" list of the relays. For example, "7sd" is searched and its "Template" is selected. Then from the "File" menu, click on "Load Relay Setting" and the "XRio" of the relay of the post A which is exported from the "DIGSI" software is entered. A very important point to note in this section is that, also, the post B relay settings should be entered in the "XRio" of the post A relay. Because the curve of the differential of this relay is related to the settings of both relays, it is necessary that the settings of both relays are available in one file so that the curve is created correctly. To do this, open "XRio" from the subdirectory of "7sd" and then open "Additional Information". After that, select "Relay Parameter Section (Remote Relay)”.





In this section, in order to enter the information of the other side, the information on the parameters that are green in the "State" column, must be entered in the "XRio" of the relay. This information can be entered in two ways: if the file of the relay is available in the "DIGSI" software, the information is imported from the software. Otherwise, the other person in the post B should read this information from the relay and announce it. After entering the information, the characteristics of the curve of the relay will be created in the post A.
The same steps are taken from the "Import from list" point to the end in the post B and in the "Additional information" section, the relay information of the Post A must be entered so that the curve is created in the Post B too.
By double-clicking on the "Line Differential" option, the "Differential Protection Parameters" page opens. The point to note on this page is to enter the post A relay information in both posts A and B of the "Primary" Column and enter relay information of the post B in the "Secondary" column. It should also be noted that the information of "Protection Device" tab, "Idiff" section and also "Characteristic Definition" tab must be exactly the same on both sides.
After the relay curve is made, the person on the side of the relay A must flow the 3 upper phases and short circuit the lower 3 phases. Meanwhile, the person on the side of the relay B must flow the 3 lower phases and short circuit the 3 upper phases of the current.
Once the curve is made and it has been made sure that everything is the same on both sides, such as the transformer's differential test and "Check" test, then the "Shot" and "Search" are performed. The point is that every test and "Fault Type" which is added to the test table on one side, must be exactly repeated, with the same values, on the other side in the "Fault Type".
To perform this test, it is necessary to perform the test simultaneously on both sides. For this purpose, it is essential to connect the "GPS" antenna to the back of both devices first. Then go to the "Start-Condition Repetition" page and select "On GPS" option in the "Start Condition" tab. On this page, by activating the "Start Time" option, both devices show a specific time in the time field on their front. By doing this, both devices will, at the specified time, simultaneously start injecting the flow to run the test and recording the results.
“AMT Sequencer” is a module where all kinds of tests can be performed. It’s an ideal option for testing functions such as overvoltage and undervoltage by giving the user freedom to enter information related to various parameters, accurately and finally, creating the output in the way he wants.

With this introduction, in the following and in this module, the two foregoing functions are tested as an example in the MiCOM P141 relay by creating different states.
Before starting, it’s helpful to mention a few points in order to advance the testing process properly:
In the first step, it’s necessary to read the related settings of functions 59 and 27 from the relay. They’re maybe set in two or more stages. Also, a logic of the relay operation should be determined to specify as an example whether the relay operation is single-phase or more phases are involved in the measurement and, finally, the performance of the functions!?

In the next step, it’s not that bad to take a look at the relay configuration to determine what options are available to the user in order to display the Pickup-Dropoff and trips related to the mentioned functions. The record of the mentioned cases may be done through LED or contact.

In addition, elements that may block functions 59 and 27 are examined. For example, a “VTS” (Voltage Transformer Supervision) signal, or even a breaker status, can block voltage functions. Finally, keep in mind that elements such as “Current Supervision” can also affect the performance of voltage functions to include current values in these functions.
All three can be displayed in the relay settings or its config file.
To get started, just click on the “AMT Sequencer” on the software home screen to enter the test module.

Explanations of this module have already been presented in separate videos.
The overvoltage protection function, as its title implies, checks the increase in voltage amplitude relative to the relay settings. Now imagine that in the relay, OR logic is used for this function so that if any of the phases become overvoltage, finally the opration signal appears and you can see the trip or hear alarm.
Assuming a single-phase setting of 76 volts with a time of 4 seconds for the MiCOM P141 relay, the test preparation process begins.
For these two parts, the settings and configuration of the relay can be displayed so that the user knows from which part these items are extracted.
Note that the current group settings can be disabled in the "Hardware Configuration" section due to the “Current Supervision” function not being active and therefore no need to inject current into this relay.

Now name state 1 “Prefault” to associate the natural state of the system. All you have to do is right-click on one of the cells containing the voltage value and select “Nominal Value” to retrieve the values from the “Test Object Parameters” already entered. In the next step, equalize the three voltage values. Use the "Normal" mode, since in this state, stable conditions are created and there is no change in the values of the injected voltage.
You can specify the completion condition of this state on a time or by selecting the “Space Key Press” option, you can manage the test run time.

Now make the next state to create the pickup conditions of phase A. Since phase A pickup is considered in this state, it is recommended to use one of the two state types “Continuous Ramp” or “Step Ramp” to increase the voltage value of this phase. The difference between them has already been explained in previous videos, but briefly it can be said that in “Continuous Ramp” the values are constantly increasing or decreasing, but in “Step Ramp” the values are increased or decreased with the steps specified by the user.

“Step Ramp” is selected here. Double-clicking on “Detail View” tab brings you full-size windows in front.
In “Start value”, a start voltage values of the state remains by default. Since the time characteristic is constant in this relay, it takes 4 seconds to show its performance, after each change of value, you need to wait even more. Therefore, "Step Time" is set to a time of more than 4 seconds, for example 4.5 seconds. Another solution is to change the time in the relay from 4 to 0 in order to test fast. This way, you can set “Step Time” to a less value, such as 200 milliseconds.


In “Step Values”, an increasing step value of the voltage is specified. The smaller steps, the more accurate of pickup value, but the test takes long time. Since only the pickup of phase A is considered, an increasing step value is entered only for this phase.

In "Final Values", the final value is specified. Since the relay settings are 76 volts, this value is set to a larger number, for example, 80 volts.

Keep in mind that by entering the number 80, you face a voltage limit error. So, just go to “Test Object” and increase the “Vmax” value in the “Device Settings” section.


The “Triger” tab specifies under what conditions this state ends. If a definite LED is specified to record the relay pickup, you can select the “Space Key Press” option and press the space key while the LED is on.

By referring to PSL relay of the MiCOM P141, an LED is defined using a timer to turn on and off at the same time as pick up and drop off.
If a particular contact is defined for the relay pick up, select “Use Binary Trigger Condition as Specified Below” to, for example, record the pick-up time by connecting the output of the relay contact to the default binary input C1. Here you can select the binary 0 to 1 as the end element of the state.

By referring to the PSL of a MiCOM P141 relay, a contact is assigned to the relay pickup.
In the next step, perform the “Drop Off” process in the same way, but with a decreasing voltage. “Step Ramp” is selected here. A higher value set than the setting value in relay, for example, 80 volts. Since this process is instantaneous, you can set “Step Time” to a low value such as 200 milliseconds. In “Step Value”, enter the value of 200 mV, and in "Final Step, the nominal value remains the same.


In "Triger", you can press space key as a drop off and the end of a state when the binary changes from 1 to 0.

The same pick-up and drop-down process on phase A can be followed for other phases, or a combination of two phases and three phases, depending on the mode of relay operation.
The next step is recording the operation time. To do this, it is recommended first create the Prefault state to return the condition to normal again. The trigger of this state can be a specific time or pressing the space key as the user desires. Now in the final state, to measure the operating time, the “State Type” is used for phase A, with a voltage above the operating voltage.
The state trigger can also be the trip contact of the relay, which is assigned to one of the binary inputs by default, or it can be recorded by pressing space key when it sees the relay LED. However, it is advised to use binary status change due to high accuracy. It is desirable that you create a prefault state after this state to complete the test.

At the end of the test, it is time to apply the settings to record values in the “Measurement View” window. First the name, ramp status, condition for ending the state, a checked signal, signal type, nominal value and tolerance are entered for the state in which the pick-up is recorded, i.e., state 2. If the values are entered correctly, you see the recorded voltage value for the Phase A pickup in the “Act” column. Also, in the “Dev” the amount of error is recorded and a green circle is seen to confirm the test result or a red cross to fail in the “Assessment”. Follow this procedure for the state in which the drop off is set down.

Now you can record opration time assessments in “Time Assessment” tab. Enter here the state(s) name, the conditions which are ignored in this test, the start and end conditions, the nominal value and the tolerance limit. In this tab, if all items are entered correctly, in the “T Act” column, you can see the execution time. Although, in the “T Dev”, the error value is specified, and in the “Assessment”, you make sure of the correct operation.

After this step, by selecting the Parameters menu and then clicking on Reports, you can select the changes you want from the Report Settings section and have the output as a file.


Voltage collapse occurs for various reasons such as increasing network load, decrease in phase voltage due to fault in the network, complete loss of bus voltage and similar cases. So, protection 27 is intended for different equipment. Suppose that in the MiCOM P141 relay, there is AND logic, through which the relay measures the phase-to-ground voltage and has a three-phase operation logic. The test preparation process will begin, provided that the setting at 51V phase to ground with a time of 4 seconds is provided for the relay.

First of all, take a look at the relay configuration during AMPro settings to be aware of the conditions that may have blocked an operation of the undervoltage function. For example, as you can see here, opening the breaker or disconnector blocks the undervoltage.

As another example, with online monitoring using “Monitor DDB Signals” feature, you also find that VTS blocks function 27 with AND logic when only one of the voltage phases is off.

Note that if no conditions has prevented its operation, by default, a tripping command is issued by it and therefore the tripping contact is active. For this reason, it is necessary to create state 1 by default with nominal values to get the relay out of it and ready to test.

Since the “Current Supervision” function is not active, there is no need to inject current in the relay, therefore deactivate the current outputs in “Hardware Configuration”.
You can specify the end condition of this state on a time or pressing space key in order to manage time duration.
Create the next state to make pickup conditions in three phases. Here you can select “Continuous Ramp” or “Step Ramp” in “State Type” to reduce three-phase voltage simultaneously. The difference between these two state types has already been explained in the following videos, but briefly it can be said that the values are steadily decreasing in “Continuous Ramp” and they decrease with the specific steps by the user in “Step Ramp”. The “Step Ramp” is selected here.

In “Start Value”, start voltage values of the state remain by default, but in order to speed up the test, you can select a value close to the operation settings. Since the constant time characteristic requires 4 seconds to display its performance, it is needed to make it and even a little more after each voltage change. Therefore, “Step Time” is set to more than 4 seconds, for example 4.5 seconds. Another solution is to change the amount of time in the relay from 4 seconds to 0 and perform the test faster. So, you can set the “Step Time” to a little value, such as 200 milliseconds.


In “Step Values”, specify the value of the voltage reduction step. The smaller the steps, the more accurate the pickup value obtained, but it takes a long time.

Finally, the final value is specified in “Final Values”. Because the voltage is set to 50 volts in the relay setting, this value is set to a less value, for example, 45 volts.

Afterwards in “Trigger”, you should specify under what conditions this state ends. If a specific LED is determined to record the relay pickup, you can select “Space Key Press” option and press the space key while the LED is on.

By referring to the MiCOM relay PSL, it’s defined LED 1 with any start input to turn on if any element is picked up. At this stage, this option can be used to detect pickups.

Dealing with it, you can assign a contact to the relay pickup. In this case, you can select the “Use binary trigger condition as specified below” option in “Trigger”, for example, record the pickup time by connecting the output of the relay contact to the default binary input C1.
In the next step, form the drop off process in the same way but with the process of increasing the voltage. The “Step Ramp” is also selected here. The start value is lower than the setting value, for example, 45 volts. Keep in mind that depending on the moment of the drop off process, you can set “Step Time” to a low value such as 500 milliseconds. In “Step Value”, enter the value of 200 millivolt and in the “Final Step” section, the nominal value remains in force.

In “Trigger”, you can select the space key or changing a binary from 1 to 0 as a state termination of drop off state.
Finally, the operating time is recorded. It is highly recommended to first create a state for prefault to return the condition to normal again. The state trigger is a “Time” or “Space Key Press” as you wish. Now in the final state, to measure the operating time, set the “State Type” to “Normal” mode with a voltage below the operating limit for three-phase.

This state trigger can also be the relay tripping contact, which is assigned to one of the binary inputs by default, or it can be recorded by pressing space when it sees the relay LED. However, due to the high accuracy, it is recommended to use binary status change.

At the end of the test, it’s time to apply the settings to record the values in the “Measurement View”.
First enter the name, ramp status, state completion condition, signal to be checked, signal type, nominal value and tolerance for the state in which the pickup is registered, i.e., state 2. If the values are entered correctly, you will see the amount of voltage recorded for the three-phase pickup in the “Act” column. Also, in “Dev” the recorded error and in the “Assessment” section the green confirms the test result. Follow this for the state in which the drop off is recorded.

You can now record the operating time assessments in “Time Assessment”. Here you also enter the state name, states or conditions that should be ignored in this review, start and end conditions, nominal value and tolerance limit. In this section, if all the items are entered correctly, you can see the operating time in “T Act” column. Also, the error is specified in “T Dev” and you can make sure of the correct operation in the “Assessmen”.

After this step, by selecting “Parameters” and then clicking on “Reports”, you can select the elements that you want to display in “Report Settings” and have the output as a file.

If a fault current is able to rotate on both sides in the relay protection zone, the directional overcurrent (DOC) is required to detect the direction, allowing it to trip or block depending on the situation. For this purpose, the relay uses a comparison of phase angle and fault current with reference values. In addition, RCA (Relay Characteristic Angle) is used to provide maximum sensitivity to performance in the relay protection zone.
In the MiCOM P141 relay, the RCA value is in the range of -95 to +95 degrees using the “I> Char Angle” parameter.
In general, the following formula is established in the mentioned relay:
Directional forward -90° < (angle(I) - angle(V) - RCA) < 90°
Directional reverse -90° > (angle(I) - angle(V) - RCA) > 90°
The DOC function (function 67) test is performed based on the settings of the first stage in setting group number 1.
In “Setting” section and in the “Group 1 Overcurrent” subset, the forward element is activated with a current of 1 amp and a time setting of 250 milliseconds. Other current stages are disabled.
It is possible to use the voltage transformer supervision (VTS), to block DOC element. This is done in “I>Blocking” cell so that if it’s set to 1, the VTS blocks the DOC function and if it’s set to zero, the stage becomes a non-directional function if the VTS function operates. Finally, it’s important to pay attention to the 45-degree characteristic in the current section.
For example, to test the operation of phase A in the 1-amp mode, if element 35.24, the first stage of the directional overcurrent, is set to “Directional Fwd”, the current should flow out of terminal C2 but into C2 if set to “Directional Rev”.
Note that terminals C3 and C2 are used for the 1-amp mode of phase A test and terminals C1 and C2 are used for the 5-amp mode of phase A test.
If cell 35.52 (V Deo OC Status) isn’t in Disabled mode, there is an overcurrent function for operation mode with voltage control, or if the element of cell 3502, the first stage of overcurrent, is in “Directional Fwd” or “Directional Rev” mode, voltage input is required. For example, directional overcurrent testing on phase A, a nominal voltage is injected into terminals C20 and C21.
Before considering each case, it is checked which output and LED are used for the DOC protection function. Thus, Programmable Scheme Logic (PSL) is used. It’s possible that a specific contact is provided for the operation of each phase. Activating trigger which records error, is also checked for these two functions.
If you want to manually test the overcurrent function without using “XRIO” or “CSV” files, just double-click on the “Overcurrent” block in “General Test Object” and select the directional in “Relay Parameters” tab, the relay’s setting is written in “Elements” tab. The characteristic angle is entered in “Define Element Directional Behavior” section. Note that RCA is in relay and to convert it to Maximum Torque Angle (MTA), you need a 90 degree clockwise shift.
In the first step of the test, at the best characteristic angle inject a current, twice as many as the current value is in cell 3503 into the relay and compare the operating time with what the software predicted. Continue this operation by injecting the quadruple current. You can also select the shot points to ensure that the relay doesn’t work in the blocking zone and follow this test at the angular boundaries of the directional characteristic.
Note that for fixed and reverse time characteristics, a delay of 0.02 to 0.08 seconds must be considered for the acceptable relay operating range, respectively.
If you run the test on fault type L1, L2 and L3, the setting current should not act in a way that its reversal from the other two phases causes tripping.
The next step is to enter the current and angle settings in “PickUp-DropOff”. You can use “Medium Detail View” to display the characteristic curve completely. By making settings in the “Trigger” tab, you can select contacts or other elements to record test results.
If the earth fault current in the protected zone is able to rotate from both sides, it is necessary to use the DEF function so that the fault direction is specified. One of the common systems that require such protection is parallel feeders or ring networks.
For earth fault standard protections, there are two options available for polarization including zero sequence or residual voltage and negative sequence.
Here, zero sequence is used. Since at the creation time of earth fault, residual voltage is created, it is possible to use this element to polarize directional elements. This process is called zero sequence polarization, residual voltage polarization or Neutral Displacement Voltage Polarization.
Since under normal conditions due to reasons such as imbalance, low precision of VT or equipment error, there may be small amounts of residual voltage, there is an option to specify the threshold for this element which can be seen as IN>VNPol set in relay settings. P141 relay receives this voltage from Residual Voltage input which is provided by open triangle connection or VT.
Using IN2>Char Angle parameter, the RCA value in MiCOM P141 relay is set at -95 to +95 degrees range.
Generally, the following relation is established in the mentioned relay:
Directional forward: -90° < (angle(IN) - angle(VN + 180°) - RCA) < 90°
Directional reverse: -90° > (angle(IN) - angle(VN + 180°) - RCA) > 90°
Directional earth fault function test or 67N function is executed based on the settings of the first stage in the number 1 settings group. Note that EF1 and EF2 functions can be activated in MiCOM P141 relays. In EF1, the measured current is used directly; also, current transformers or Residual Connection are used as well. In EF2 the residual current calculated from the sum of the three-phase currents is used. This is why EF2 is used.
In Settings section, the activation state of this element is indicated by Standard Inverse curve in forward direction while the 200 mA setting is indicated by a 0/275 TMS. Also, a -60 degree performance angle is considered. In the end, the polarization voltage threshold is recorded to be 5 volts.
It is possible to use the Voltage Transformer Supervision element (VTS) to block the performance of directional residual current element. This is done in IN2>Blocking cell; if number 1 is selected, the VTS blocks the performance of directional residual current and if number zero is selected, in case of VTS performance, stage turns into a non-directional factor.
Before considering any case, it is examined to see which output and LED are used for the performance of directional residual current protection. To do so, PSL or Programmable Scheme Logic is used. It is possible that a separate contact is considered for the performance of each phase. Also, fault trigger record activation is checked for this factor as well.
If the user wishes to test a directional residual current function manually and without using XRIO or CSV files, they only need to double-click on Overcurrent element in General Test Object window and by selecting the directional element in Relay Parameters tab, enter the setting values in Elements tab. Residual section is used for this purpose. Also, in Define Element Directional Behavior section the operation angle is entered. Here, this angle is set at -60 degrees.
In the first step of the test, a current twice the one specified in the settings section is injected into the relay in the best operation angle which is -60 degrees, and the operation time is compared to the time predicted by the software. This process can be continued by injecting 4 times the specified current. Also, some shots can be set to ensure inactivity of the relay in the blocking area and the test can be continued at the border of operation angles by adding new points.
The next step is to enter the current setting and the angle in pickup and drop off section. To do this, Medium Detail View window can be used which gives a complete indication of the characteristic. The process of specifying Pickup and Drop off can be completed first for the current value and then the angle values. By specifying the settings in setting and trigger tabs, other contacts or elements can be selected to specify the test results.

End to End test is an approach used for protective schemes that consist of two or more relays that are in connection to exchange information related to trip and blocking. These schemes are used for more accurate detection of faults and faster isolation of the system. This test can be used to thoroughly analyze the protective scheme and make sure of its proper performance.
In End to End tests, two or more test devices are used on each side to simulate the fault.
To successfully perform an End to End test, the following elements are needed:
- A test device on each side
- A hardware piece to synchronize the two devices, like a GPS satellites.
-A file that is exported from the relay software to be used in the test device. This file can be of CSV, XRIO, TEXT or other formats.
A communication equipment such as a phone or a two-way radio to communicate with the other post
With this introduction, we are going to analyze the software and hardware aspects of a longitudinal differential test on End to End platform.
Hardware Preparation
In hardware section, two test devices are needed for performing an End to End test. Each of these devices needs to be equipped with a GPS antenna. After examining the maps and isolating the piece of equipment for the test, the required inputs and outputs should be specified. For example, binary inputs AMT can be used to specify the pickup contact and trip. Binary outputs can be used in cases such as Circuit Breaker status simulation.
In the next step, the test device voltage and current injection cables should be connected to the relay or test block to replace CT and PT for injecting the desired amounts. The GPS antenna is connected to the back of the device to use the GPS time as the base time. In End to End test, it is also possible to use other bases such as IRIG.
To make sure that the breaker contact position is properly simulated by the test device, put the breakers in the right position. It should be noted that if other groups are working on the Circuit Breaker simultaneously, it is necessary to use the test plug to make sure that no trip is going to go on the Circuit Breaker.
Software Preparation
In software section, before anything, it is necessary to connect to the relay and save the setting and config files as well as the records submitted for event and disturbance somewhere safe so that if there is a problem, they can be used as a backup.In the next step, export the file needed to enter the test device from the relay. As mentioned before, this file can be of different formats such as CSV, TEXT, XRIO, etc.
An example for End to End test to analyze longitudinal differential protection
Old longitudinal differential relays used the ratio of differential current to restrain current and if this ratio was higher than the specified settings, the trip was issued while in modern differential protective relays, a characteristic named alfa plain is used. In this design, the vector ratio of remote current to local for every current phase and negative and zero sequence currents are used.
Here, to better present the End to End test method, a longitudinal differential protective test is performed on 7sd610 relays of Siemens Company. In this test, 7SD61 relays of Siemens with MLFB: 7SD61014BB990BJ0 and version 4.77 frameware is used.
In the first step, we are going to review the prerequisites for performing the test described above. After making sure that everything is ready, first Vebko AMPro software is run and after ensuring that the laptop is connected to the amp105, the device IP is entered and the connection is made.
Before beginning the test, it is suggested to ensure that the wiring is appropriate by injecting a current as big as 10 percent of the nominal current and reading the injected values from the relay. This can be done by simply clicking on “Test Hardware Congif” option. Then, the intended current must be specified in “Current Output” section, current injection channels are specified and the injection duration is selected. By clicking on the triangle at the top of the screen, the injection will keep going as long as the specified duration.
The first part of the End to End test is related to ensuring stability or in other words, that if equal currents are injected from the two sides or in an external fault state, a trip is not issued. To test this state, “Sequencer” room is opened. At this point, the user needs to prepare the conditions for injecting values from both sides. It is possible to do so by selecting “Hardware Configuration” and specifying the two current groups in “Current Output Signal” section. Here, the first set is indicated by “IL1”, “IL2” and “IL3” which are located in front of X3, X1 and X2 elements, respectively. Now, the second set is activated in front of Y3, Y1 and Y2. To avoid confusion, it is better to change the values in front of X3, X1 and X2 to “Not Used” in “Voltage Output Signal” section.
The intended inputs are activated in “Binary/Analog Input” header. By default, binary input 1 is set on the trip. For example, we set binary 2 for start and type “Start” phrase in front of “Label”. If the user wishes to adjust the output signal, for reasons such as specifying the state of the key, they can do so by using the binary output header.
”Save last actual data” option in “Extra Settings” section can be used to save the last injection data. Since longitudinal differential test, especially in “Search” section, needs a long time and this can lead to overheating of the device, it is possible to activate “Maximum fan during test” option so that the fan works at its maximum speed during current injection and avoids overheating of the device and stopping the test.
By clicking on “Test Object Parameters” and then clicking on “Device”, it is possible to enter information about the test such as the title of the test, the manufacturer company, the relay type, the primary and secondary voltages and some other information that are needed in the report. It should be noted that it is possible to add the information related to the rows at the left side of this window after performing the test but the information related to the rows on the right side must be specified before initiating the test.
In the next step, the current value is to be entered in accordance with the differential settings as well as the turns ratio and CT polarity of the sides. For example, suppose that the line current is 100 amps and the CT conversion ratio of the primary side is 600 to 1 while the turns ratio of the other side is 800 to 1 and the polarity is set at “Toward Line” for both sides. It is possible to perform mathematical operations in all cells of the Vebko software without the need to use a calculator. By entering a value in a cell and right-clicking on it and then selecting “Equal Magnitudes” option, it is possible to enter the same value in all cells of a current injection side. Then the same process can be repeated for the other side.
Now, since during a stability test the currents on both sides need to be equal in accordance with the CT turns ratio and have a 180 degree difference, the currents from one side are taken as the basis and a 180 degree difference is considered for currents from the other side. To do so, the current angle of one of the cells is entered and “Balance angle” option is used to apply the angle difference for the other phases. It is possible to view the amount and direction of the current values in “Vector View” window.
By default, the currents are considered momentary but it is possible to select average values by selecting “Setting” header and then “RMS” option. If the stability test is only applied for one phase, it is possible to mark the checkbox for the corresponding phase so that only the signals related to that phase are displayed.
In the next step, the test start conditions are adjusted. In this section, by selecting “Start Condition Repetition” option, a new page opens. In “Start Test Condition” section, the third option is related to the coordination of GPS for initiating the test. “Start Time” and “Next Full” options are related to the start time of the test and the duration of pause before every injection, respectively. If “Next full” option is unchecked, the injections will be done repeatedly and without any pause.
In this section, a time should be specified as the test start time in coordination with the other side which is remote post. Before anything, it is necessary to ensure that the device and the GPS are synchronized by clicking on “Start Sync” option. If the user is using a 32-bit windows, clicking on “Set Windows Time with GPS” option, will cause the computer clock to be synchronized with the GPS. In “Data” section it is possible to view the information including the GPS time and latitude and longitude. Also, in “Satellite signal level” and “Satellite signal level history” section, it is possible to view other information related to the power and intensity of the signals received from the GPS.
After applying the settings, by clicking on “Start” the test beings at the specified time. By applying these settings, it is possible to start current injection and ensure the stability of the condition.
In the end, the file is saved and by selecting “Parameters” menu and then clicking on “Report”, after selecting the elements that are going to be added to the report, “Ok” option is selected. This will open the “Report” header so that by using the “Export Report” option or pressing “CTRL+P” keys, the report can be printed or saved as a file. It is worth mentioning that if the user is using a PDF management software, it is better for them to use “CTRL+P” shortcut so that the gap between the pages is removed and the report looks more well-organized.
In the next step, “AMT Differential” room is used to perform the main test. Here, “Hardware Configuration” page is opened and the currents of the remote side or the other post are set at “Not Used” in “Output Target” section. It is also possible to save this combination of current channels by clicking on “Export” option at the bottom of the screen to use it in future tests.
Now, by clicking on “Test Object Parameters” option, “Import from list” option from the “File” menu or the icon labeled “L” letter is selected.
In this section, by entering the relay name in “Search” box, it is possible to select the XRIO or RIO corresponding to that relay and the software version. Here “7SD61” is entered. By double-clicking on the related “XRIO”, “File” menu and then “Load Relay Setting” is selected. In “Relay Config Type” section, the configuration type received from the relay is selected which is different for every brand. In “Config File Path” section, the path of this file is given to the software. Here, we are receiving the XRIO file using DIGSI 4 software of Siemens Company. By clicking on “Ok”, it is necessary to ensure that the relay parameters are entered correctly by viewing the number located in front of “Parameter Values Imported”. By clicking on “Ok” and closing the windows, the graph will be entered to the differential characteristic window.
Before beginning the test, the “Test Object Parameters” window is opened again and “7SD61” subcategory is opened by clicking on the plus sign. In “Relay Parameter Section (Local Relay)” it is possible to view the information related to the local relay or the current post in different subcategories. In subcategory “Setting Group A”, it is possible to view the settings of different functions. By going to subcategory “87 DIFF PROT”, it is possible to examine the activity status of this parameter, time and current settings of pickup and trip, the inrush settings and the parameter related to the charge of the line.
In “Relay parameter section (Remote relay)” section, it is possible to view the information related to the relay of the opposite post. Here, parameters with a green check mark in “State” section in front of them are the elements that are active in the relay of the opposite side. In this section, it is possible to receive the information about the relay of the opposite side from the setting file, xml file or even orally from the operator of the remote post and enter it into the “Value” field.
Now, once more, “Test Object Parameter” is selected and “Line Differential” block is opened by double-clicking on it. The important point here is that the values entered for primary and secondary in “Protected Object” section must be the same in both local and remote posts. Also, these values need to be reviewed especially in “CT Nominal Values” section to ensure that the turn’s ratios are correct.
Also, it is possible to view the test status graphically along with the parameters on it by opening “Medium Detail View” window from the “View” menu. After finishing this stage, it is time to perform different tests. To start, “On GPS” option is selected after selecting “Start Condition Repetition”. In this section, by clicking on “Start sync”, the satellite signals are detected and the time synchronization is done which may take up to few minutes. Keep in mind that normally, Shot Test and Search Test are performed in this Room. The first test examines the performance and non-performance in the Trip and No Trip area, respectively, and the second test examines the boundary between the TRIPPING and NO TRIP area. Specify the points by interpolating to measure the curve drawn in this environment and the actual performance of the relay. In the next step, after coordinating with the opposite side, some points are put on the differential characteristic and after adding them to the test table, it is possible to compare their coordination which is a combination of “ibias” and “idff” to ensure that the conditions are the same.
By clicking on the cog icon at the bottom of the differential characteristic window, it is possible to use the features that help the user to better supervise the test
Now, by returning to “Start Condition” tab, in “On GPS” section, a time is considered as the start time after coordination with the opposite side and then by unchecking “Next full” option whose function has been explained before, the test is initiated. To perform the "Search Test", you must first draw lines called "Search Line" in different parts of the chart. To drag the "Search Line" in the "Differential Characteristic" window, hold down "Ctrl" and left-click the mouse. Draw the direction you want on the characteristic curve. You will see that the "Search Line" information drawn is displayed in the "Search Test" line table. After drawing these lines, the information of these lines should be given to the opposite side so that the lines drawn on both sides are exactly the same and their order is the same. After dragging the "Search Line" and making adjustments in the Start-Condition window By testing a few points on the search line, it interpolates the characteristic curve and determines the exact location of the characteristic curve. At the end of the test and saving the file, it is enough to open the report setting window by selecting the parameters Have the result as an output file.
Protection relays with Distance function are used to protect lines against faults in the network. In order to test this function, we must first draw its characteristic. Using Rio or Xrio is a simple solution to transfer settings and configure this function from relay and simulation of the distance characteristic in the test device. Using digital relays such as Import Rio and Xrio to draw protection characteristic will surely simplify the process of testing functions, including Distance.
However, in the case of older relays such as static samples, in some cases, we still have to use step-by-step drawing and manual impedance characteristic. In addition, in some cases, we may not be able to get relay output in the form of files such as Xrio, CSV and Text for reasons such as software restrictions.
In these cases, it is enough to open the Distance block from the Test Object Parameters section and use the Zone Settings header to draw the distance characteristic. At the top of the table, the New, Edit, Delete and Add duplicate options allow creating new zones, editing zones, deleting zones, and overwriting the zone, respectively. You can also have complete management over each zone using navigation options. In zone Details, you can also see details about trip time, impedance and values related to the duration of the operation and see the tolerance value.
To get started, simply click on the New option to create a new zone. By default, this zone is marked as the tripe area for all fault loops. By selecting each zone and clicking on edit option, you can have a complete management of the type of distance element or specify the Trip and No Trip area. Impedance characteristics can be adjusted in the form of Quad and Mho type or lens in the relay. You can also use the default shapes for these three characteristics.
Any added element can be a line or arc. Each element can be drawn by entering a point and angle. In the case of the Mho characteristic, the circle drawing is performed using the central point, radius and angle.
After adding zones using different elements, you can specify the number, label, zone type and loop fault for it. Keep in mind that four different type can be specified for zones as follows:
Tripping: It is used for zones that based on the relay settings, points inside trips.
Starting: Used for zones that only lead to pickup of distance function. This pickup can lead to tripe after a certain time.
Extended: This zone is only activated under certain conditions (for example enabling recloser or teleprotection schemes)
Non-Tripping: In these zones, the relay will not issue trip command.
It is also possible to disable the zones created in this list. After drawing the zones, trip time and related faults can be entered for each zone.
For example, we will review drawing the Quad characteristic of a Siemens 7SA522 relay sample here. Keep in mind that by going to the Setting Group section in Digsi 4 software and choosing Distance Protection and then, General Settings you can view the distance characteristic of the relay by selecting the Graph option.
In the Distance Zones section, you can see the values related to different parameters of the Distance characteristic in different zones. Here, zones 1 to 3 in forward direction, zone 4 in reverse direction and finally zone 5, is non-directional.
Considering the overall characteristic of distance for this relay, which is as follows, as well as the directional characteristic in page R and X, it is necessary to pay attention to the following points:
- In general, six independent zones and one extra control zone are defined for each impedance fault loop in this relay.
- The process of defining lines is based on the parameters R, X and φDist.
- It is possible to include a cut area to define Load Encroachment.
- Reach element R value can be defined separately for phase-to-phase and phase-to-ground faults so that we can see wider coverage of faults for ground faults.
- For zone 1, another angle α can also be defined to avoid overreach caused by changing angles or more. This angle is not applicable to other zones.
- φDist, defined in the relay address 1211 and referred to as Distance Angle or Distance angle, shows the rotation angle in the Distance component. This element is used for both Quad and MHO characteristics and can be adjusted to the same value as the line angle (element 1105).
Now it's time to drawing the distance characteristic.
By revisiting the Zone Settings section and clicking on the New option, we select the Quad characteristic for the relay. Here, the value R moves the center of the line over the horizontal axis and the X value moves the center of the line over the vertical axis. The specified angle is also cause the line to rotate.
The first line, while passing through the R axis with the value R1, that is, the resistance of zone 1 passes., has a φDist angle, which here is equal to the load angle of 82 degrees. In this way, we enter the value R equal to 24.899, X value equal to 0 and the angle value is 82 degrees.
The second line is the horizontal line (taking alpha equal to zero degrees) with the specifications R=0, the value X is 6.211 and the angle is 180 degrees.
The third line that passes through the source is also draw by the specifications R=0, X=0 and the angle derived from the manual, that is 300 degrees.
The fourth line that passes through the source has a 22-degree angle in according to the manual. For this purpose, we enter the value R=0, X=0 and the angle at 338 degrees.
The fifth line is draw by considering the value R equal to zero, X equal to -6.211 and the angle equal to zero.
By entering the above coordinates, zone 1 is created as Forward. Creating characteristics for reverse and non-directional zones also follows this process.
By drawing the distance characteristic, it is possible to start the Shot Test and Search Test process in order to ensure the accuracy of the graphical characteristic.
A region may be defined as Load Encroachment, along with the graphical distance characteristic. The Load Encroachment scheme prevents the impedance area from entering the distance characteristic and finally prevents unwanted trip. This area usually overlaps with the trip area and is often activated only for three-phase fault loops.
For this purpose, after adding the protection zones, add two more zones to be used as Load Encroachment Blinder. We place these zones on “Non tripping” and fault loop on L1-L2-L3. This characteristic requires three elements that can be Line Cartesian, Arc Cartesian or Arc Polar type. For each element, just hit add Element and select its type.
For example, in the Siemens 7SA522 relay, we drawing the specifications of Load Encroachment by using elements 1241, 1242, 1243 and 1244. For this purpose, we need three “Line Cartesian” components. The first component is a line that extends through the source, with coordinates R=65.36, X=58.85 and an angle of 42+180=222 degrees. The second component with R=65.36 and X=0 has an angle of 270 degrees, perpendicular to the horizontal axis. The third component of the Cartesian have coordinates R=65.36, X=-58.85 and -42 degree angle. You can create the final characteristic by disabling the Auto Close option. In order to draw the Load Encroachment characteristic on the left side of the Distance characteristic, we create three Cartesian components with specifications R=-65.36, X=-58.85 with an angle of 42 degrees, R=-65.36, X=0 with an angle of 90 degrees, and finally, R=-65.36, X=58.85 with an angle of 138 degrees. As mentioned above, during the test, we will not see trip issued in this area.
For example, we consider the PYTC relay to manually draw the distance characteristic. PYTC is actually a model of the PYTS relay used to protect systems including underground cables, as well as systems consisting of cable and airlines combination. The Mho characteristic in this relay makes the Distance function available to protect these systems.

The modules on this relay allow adjusting the protection zones based on different parameters.
assume the different element settings of the modules in this relay as follows:
In this case, considering the angle of the line is equal to 66 degrees, we add three Mho zones.
The first zone features a forward with a reach of 5.1 ohms and an angle of 66 degrees.
The second zone haves a forward characteristic of 7.65 ohms reach and an angle of 66 degrees, and finally the third zone 16.78 ohms reach with the same angle. After this, you can also manually enter the trip time for each zone.
In AMT Synchronizer, we're going to test the synchronous check function in Siemens' 7SD82 relay. This function can be used to synchronize the line and busbar, two busbars with coupling or a generator and busbar. This function, which is located in circuit breaker function group, can be used in different modes such as checking the synchronous of two systems, switching synchronous power systems, switching asynchronous power systems and switching the busbar line.
For this purpose, different stages can be used in the form of Synchrocheck Stage (with two stages) or Synchronous/Asynchronous Stage (with six stages). This function uses two voltages to check the connecting conditions. The reference voltage of the first side which is called V1 and the reference voltage of the second side which is V2. Choosing voltages to synchronize depends on the system connection on the primary side. In this test, a 4-input voltage connection is used, which includes a single-phase voltage and a three-phase combination. In this case, the voltage attached to the single-phase Measuring Point is the decisive reference.

The measured values related to this performance are displayed on the relay as primary, secondary and percentage. When the function is activated, the values of Delta V, Delta F and Delta Alpha are checked to connect the synchronous of the two systems. The settings on the relay are as follow:
Sync. operating mode = on
(_:5071:122) Max. voltage diff. V2>V1 = 5.0 V
(_:5071:123) Max. voltage diff. V2<V1 = 5.0 V
(_:5071:117) Max. frequency diff. f2>f1 = 0.10 Hz
(_:5071:118) Max. frequency diff. f2<f1 = 0.10 Hz
(_:5071:124) Max. angle diff. α2>α1 = 10o
(_:5071:125) Max. angle diff. α2<α1 = 10o
If we want to differentiate between synchronous and asynchronous conditions, we should use synchronous/Asynchronous stage, whose voltage-frequency diagram is as followed:

By opening the AMT Synchronizer room to enter the relay information for testing, the first task is to enter the relay nominal information in "Device". In this section, related settings for CT and VT conversion ratio are entered. Keep in mind that if there is a different VT conversion ratio between the two systems, a virtual VT should be used, according to the manual relay recipe, use a coefficient to match the conversion ratio.

In the Hardware Configuration section, 5 Input binaries are defined by default to transfer relay outputs to the test device to adjust the voltage and frequency and issue the connecting command. Considering that in this test, alarms about voltage and frequency values are read from the relay, we only configure the binary related to the command connected by the relay.
Next, in the Synchronizing Parameters window the relay settings are entered. By specifying the phase sequence, connected voltages, breaker connection settings, and secondary voltage in the Protection Device tab, it is time to reach the Synchronizing Window tab. In this section, the minimum and maximum values for voltage and frequency parameters are entered, followed by the allowed tolerances for the Phi, V and f parameters. Keep in mind that for this relay, Dead Zone is not defined as an area where no output is exported from the relay. When the settings are confirmed, it is time to do the test.
In this section, system settings 1 and 2 can be seen in the relevant tables. In addition to the possibility of manually entering specifications for two systems, it is possible to monitor the delta value of voltage, frequency and angle elements. In the next step, simply add points to the attribute and run the test. It is also possible to create points on either side of the characteristic boundary line using the Quick Test option. With the completion of the test, the selected items and elements can be viewed in the Report View window.
In Siemens 7SD82 relay, this function can be used in function groups with three-phase voltage and current, and two inverse time stages depending on voltage and constant time with specific undervoltage conditions are considered by default.
In this test, the first stage of both categories is used. Note that in the "51V" function test, the fault detection or non-detection is done according to the voltage and current level of the test, which is "Voltage-Controlled" and "Voltage-Restrained", used as a generator differential protection support and in power systems to coordinate high current relays. In this test, as if is seen the characteristic curve is Voltage-Restrained.

In the V/Vrated range between 0.25 and 1, the diagram is linear, which the pickup current value is directly proportional to the voltage increase. In this regard, V is the phase-to-phase voltage measured, Vrated, rated voltage, PU sett setting of pickup threshold and PU(V) pickup threshold applied, according to voltage. The control voltage for each current phase is according to the table:

The settings in the 7SD82 relay for this protection stage are performed according to the image:

If harmonics is to be included in the measurements related to this stage, select RMS Value option in the Method of Measurement section. Otherwise, in order to skip harmonics and transient conditions, select Fundamental Com, which is Siemens' suggested option.
The 1.5amp current setting value is also a good option for most applications. The current threshold parameter for lines is up to 10% and for transformers and engines up to about 20% higher than the maximum of the expected load, adjusted. In the characteristic section, select the curve according to the IEC and ANSI standards. Here the 1amp setting is used.
to reset parameter, you can also select the instant reset option or reset by modeling the movement of disk relays. The Time Dial option also allows moving the characteristic in the direction of the time axis.
The next stage in considering the undervoltage function conditions is also set as follow so that if there are sufficient voltage conditions, the activation of the function is seen.

After applying the settings on the relay and specifying the required contacts in the configuration section, it is time to test the function. Keep in mind that due to curve performance, either use the pickup contact or consider the time required in the Max Fault Time section for the 51V function performance.
In the AMT VIStarting room, to test the relay, first enter its information in the "Test Object" window. In the "Device" block, information such as the relay's name, serial number, relay operation location, "CT" and "PT" specifications are entered. Also, to enter the settings of this function, you need to double-click on the "VI Starting" block from the tree chart, and in the "VI Starting Parameters" page, enter the settings needed to display in the "VI Starting Characteristic" characteristic curve.
In the Tolerances section, you can also enter the percentage of acceptable fault to perform the test. By confirming the entered settings, it is time to perform Shot Test, Check Test and Search Test. in the "Shot Test" tab you select the type of fault and points to test and after the test is perform, you can see the evaluation results. In "Check Test", the upper and lower tolerances of the relay displayed as dashes in "VI Starting Characteristic" are tested and evaluated.
Note that the plotted "Check Line" should have cross at least one of the tolerance lines of the characteristic curve. Search Test is the last test performed on the "VI Starting" characteristic curve. The purpose of this test is to find the characteristic curve line. The "Search Line" method is the same as "Check Line". By performing the test, the software by testing several points on the search line to the characteristic curve interpolation and determine the exact location of the characteristic curve. Keep in mind that due to the required voltage level, by referring to the test object Parameters and then the Device block. you may need to increase the final voltage limit or V max
When the test ends and saves the file, simply select parameters to open the report setting window to get the result as an output file by selecting the parameters that need to be entered in the final report.
AMR modular relay of Vebko company supports various protection functions. Explanations of the capabilities and software environment of this relay have already been presented in the video related to differential protection test.
After connecting to the AMR relay at first, simply load the device's hardware configuration from the Device menu by selecting the Read Hardware from Relay option. The default password is 123456 to receive elements. At this point, a message is given to remove the signal, which if confirmed, if the current hardware is not the same as the relay hardware, the current hardware signals used in the VFC section are deleted.
It should be noted that the settings for the conversion ratio of voltage and current transformers are determined in the related card. Here the ratio of current card conversion is 200A to 1A.
(First, enter the VFC page): As mentioned earlier in the AMR software, config of some of the most widely used functions as are placed in the software as sample the user can send new settings to the relay by selecting each of them and applying the desired changes. For this purpose, a set of functions can be seen in the Relay VFC tab and in the Temp Functions section. It should be noted that by selecting each Temp Function, the blocks in the VFC are removed.
Here the non-directional overcurrent function displayed under the name OC 50/51 is selected. In configuring this function, an OC Inverse block and two OC Definite blocks are used. They have different settings and the signals of a current card are assigned to their input (from a measuring point). Finally, output signals are assigned to Binary Outputs and relay LEDs by Output and LED blocks. To change the settings, simply right-click on each block to access a set of options. Finally, the changes are sent to the relay.
In this video, by double-clicking on blocks that contain constant time stages for non-directional overcurrent function, disables them and define the 1A and TMS current settings equal to 0.1 by double-clicking on the first stage, which is defined as reverse time.
By making these changes, simply select Send Config and Setting to Relay from the Device menu again. In this way, the settings and configuration applied are moved to the relay.
In the next step, by running AMPro software and opening the AMT Overcurrent room, it is enough to go to the Object Parameters test section and create the test characteristic after entering the information. Here, a reverse time characteristic is created by 1A and TMS=0.1 current settings. Keep in mind that it is also possible to test this characteristic using the Xrio file.
In order to evaluate the performance of non-directional overcurrent function, two Trip Time and Pickup-Drop Off tests are performed. The purpose of Trip Time is to detect and evaluate the accuracy of the performance time of this function and the purpose of pickup-drop off test is to detect and evaluate the accuracy of the actual current of the performance threshold and of reset threshold of this function.
Three states including PreFault, Fault and PostFault are required to perform this test. PreFault time is suitable for 500 milliseconds, fault time should be greater than the maximum trip time, and Post Fault time is at least 500 milliseconds. PostFault time should be increased if the drop-off is not an instantaneous.
The suggested points for reduced time functions are 1.5 times, 2 times and 4 times the regulatory current, and for constant time curves, 1.5 and 2 times the regulatory current.
To detect the regulatory current of the second unit, two points can be added to the amount of 90 and 110 percent of the regulatory current of the second unit.
By adding points, perform the test to check the performance of this function from the point of view of time accuracy.
In order to perform this test, first determine how the diagnosis of pickup and drop-off is performed. This process can be done through a separate contact, namely Start, Relay LED viewing, or changing the setting for instantaneous function and using the trip contact. Here we used the Contact Pickup Relay. You can also put the current fault value in the desired range. Here the fault value is considered 5% by default. The performance range of overcurrent curves in the AMR relay starts from 1.1 regulatory current in the relay. Therefore, first, by enabling the Active Range Limits option in the Overcurrent Protection Parameters window, the Imin value is set to 1.1 Iref. In the next step, the current setting value for the pickup is placed on 1.1*1=1.1 amps. (as it is shown)
By adding points, it is enough to perform the test and add the necessary elements to the report when it is finished.
AMR modular relay of Vebko company supports various protection functions. Explanations of the capabilities and software environment of this relay have already been presented in the video related to differential protection test.
After connecting to the AMR relay at first, simply load the device's hardware configuration from the Device menu by selecting the Read Hardware from Relay option. The default password is 123456 to receive elements. At this point, a message is given to remove the signal, which if confirmed, if the current hardware is not the same as the relay hardware, the current hardware signals used in the VFC section are deleted.
It should be noted that the settings for the conversion ratio of voltage and current transformers are determined in the related card. Here, the current card conversion ratio is 200A to 1A and the voltage card conversion ratio is 63000 to 100V.
(First, enter the VFC page): As mentioned earlier in AMR software, the config of some of the most widely used functions, as an example, are placed in the software as samples; and the user can select any of them apply the desired changes and send the new settings to the relay. For this purpose, a set of functions can be seen in the Relay VFC tab and in the Temp Functions section. It should be noted that by selecting each Temp Function, the available blocks in the VFC are removed.
Here the Under Voltage function displayed with the name UV 27 is selected. In the configure of this function, to calculate the line-by-line voltages, first the relay voltage card signals are assigned to the Voltage Quantities block inputs and then assigned to the Undervoltage block. Also, current card signals connected to the current transformers (CT) of the same feeder are assigned to the Undervoltage block for current monitoring. Finally, undervoltage block output signals are assigned to Binary Outputs and relay LEDs by Output and LED blocks. The purpose is to test the Undervoltage function with AND logic, so the sample of line-by-line voltages are used.
By double-clicking on the Undervoltage block, two stages are defined here. The first stage with a 50V setting and a performance time of 1.5 seconds and a second stage with a 45V setting and a performance time of 1 second. The Drop Ratio value is also 1.2 for both stages by default. Since there is no need for Current Supervision, option I superv. is disabled.
After this, the pickup signals of both stages are removed from the unit with current monitoring and the necessary signals are added to the normal units without current monitoring. In the final step, these changes are applied to the relay to be prepared for testing.
In the next step, by running AMPro software and opening the AMT Under/Over Voltage Test, simply go to the Test Object Parameters section and enter the basic information. Testing this function can also be performed in AMT sequencer room, but in order to make the states and test management more comfortable, this process is performed in the AMT Under/Over Voltage Test.
First, the information is entered in the General Information section. This information can include relay type, serial number and other information such as post name and feeder/b number.
In the Test Setting section, the UV (27) option is selected. Here Vnom sec, 100 volts is selected. Also, the performance mode is located on AND logic to reduce the voltage of all three phases of the specified value to provide the test.
In order to evaluate the performaning of Under Voltage protection, two time tests (Trip time) and Voltage Performance Test (pickup/drop-off) are performed.
Assuming there are two performance stages for Under Voltage protection, regulatory voltage value, voltage type, performance time and more are entered in the Data Table section for both stages of operation. After this, in order to be more accurate in testing, continuous ramp option is selected in state setting section, C1 and C2 contacts are considered for detection of trip and pickup/drop-off, respectively. In addition to contact, the relay pickup status can be recorded with LED or even adjusted to instantaneous Under Voltage protection.
By entering the necessary settings in the Test Plan section, schedule the test in a way that both time test and voltage performance testing are performed. In the Fault Type section, by selecting the L1L2L3 option, states are created for the function test based on the Under Voltage of all three phases. By enabling Time Test, the state related to the performance time check is created. Vtest is the voltage value that the performance of the function in each stage is guaranteed. By selecting yes for PU Test and DOU Test elements, it is confirmed to perform pickup drop-off tests. In the PU Val. Assessment section, the evaluation of the pickup value of the function, in the PU Start section, the initial voltage of the pickup process, in the PU end section, the final voltage limit for the pickup test, and in the DOU End section, the final value for the drop-off test is entered. In the Total section, the total duration of the test is entered.
By Clicking on the Init Test option, creating states will be done based on user-imported settings. These states can be seen in the Table View window. This way, the test can be performed to evaluate the necessary items.
In the Measurement View section, in Assessment ramp tab you can see the assessment of the pickup drop-off and in the Time Assessment tab, you can see the performance time assessments of each stage can be seen.
Keep in mind that when the test reaches the second stage assessment section, a message appears to the user to disable the first stage in order to provide non-interference conditions. This can be done by removing elements related to the first stage from the blocks associated with pickup and trip. Another solution is to equalize the setting of two stages. For this purpose, once again refer to AMR software and set the first stage settings equal to the second stage settings the settings are then to be sent to the relay. In the end, the results are added to the report by clicking on the Add to Report option. These results are visible in the Report window.
AMR modular relay of Vebko company supports various protection functions. Explanations of the capabilities and software environment of this relay have already been presented in the video related to differential protection test.
After connecting to the AMR relay at first, simply load the device's hardware configuration from the Device menu by selecting the Read Hardware from Relay option. The default password is 123456 to receive elements. At this point, a message is given to remove the signal, which if confirmed, if the current hardware is not the same as the relay hardware, the current hardware signals used in the VFC section are deleted.
It should be noted that the settings for the conversion ratio of voltage and current transformers are determined in the related card. Here, the ratio of the current card conversion is 200A to 1A and the voltage card conversion ratio is 63,000 to 100V.
(First, enter the VFC page): As mentioned earlier in the AMR software, configuring some of the most widely used functions are placed in the software as samples. The user can send new settings to the relay by selecting each of them and applying the desired changes. For this purpose, a set of functions can be seen in the Relay VFC tab and in the Temp Functions section. It should be noted that by selecting each Temp Function, the blocks in the VFC are removed.
Here the overvoltage function displayed with the name OV 59 is selected. In the config of this function, to calculate the line-by-line voltages, First the relay voltage card signals are assigned to the Voltage Quantities block inputs and then assigned to the Overvoltage block. Finally, overvoltage output signals are assigned to Binary Output and relay LEDs by Output and LED blocks. Since the purpose is to test the overvoltage function with OR logic, analog signals related to the voltage sample must be applied directly to the overvoltage block to increase the voltage of each phase, the relay function should occur.
By double-clicking the Overvoltage block, two stages will be defined here. The first stage with a 65V set, performance time of 2 seconds and a second stage with a 70V set and a performance time of 4 seconds. In addition, Operation Quantity is placed on Vphn/V1/V2 to include single-phase performance. Finally, the changes are sent to the relay.
In the next step, by running AMPro software and opening the AMT Under/Over Voltage Test, simply go to the Object Parameters test section and enter the basic information. Testing this function can also be performed in AMT sequencer room, but in order to make the states and test management more comfortable, this process is performed in the AMT Under/Over Voltage Test.
Firstly, the information is entered in the General Information section. This information can include relay type, serial number and other information such as post name and feeder/b number.
In the Test Setting section, the OV (59) option is selected. Here Vnom sec, 100 volts is selected. Also, the performance mode is located on the OR logic to increase the voltage of each phase from the specified value to provide the test.
In order to evaluate the performance of overvoltage protection, two time tests (Trip time) and Voltage Performance Test (pickup/drop-off) are performed.
Assuming two performance stages for overvoltage protection, regulatory voltage value, voltage type, performance time and more are entered in the Data Table section for both stages of operation. After this, to be more accurate in testing, continuous ramp option is selected in state setting section; then C1 and C2 contacts are considered for trip diagnosis and pickup/drop-off, respectively. The status of the relay pickup can be recorded with LED in addition to contact, or even adjusting to instantaneous over-voltage protection.
By entering the necessary settings in the Test Plan section, schedule the test in a way that both time test and voltage performance testing are performed. In fault type, by selecting L1E, L2E and L3E, states are created to test the function based on the voltage increase of each phase independently. By enabling Time Test, the state related to the performance time check is created. Vtest is the voltage value at which the performance of the function in each stage is guaranteed. By selecting yes for PU Test and DOU Test elements, it will be confirmed to perform pickup drop-off tests. In the PU Val. Assessment section, the evaluation of the pickup value of the function, in the PU Start section, the initial voltage of the pickup process, in the PU end section, the final voltage limit for the pickup test, and in the DOU End section, the final value for the drop-off test is entered. In the Total section, the total duration of the test is entered.
By Clicking on the Init Test option, states are created based on user-imported settings. These states can be seen in the Table View window. This way, the test can be performed to evaluate the necessary items.
In the Measurement View section, in Assessment ramp, the assessment of the pickup drop-off can be seen. In the Time Assessment tab, the performance time assessments of each stage can be observed.
Keep in mind that when the test reaches the second stage assessment section, a message has appeared to tell the user to disable the first stage in order to provide the conditions for non-interference. This can be done by removing elements related to the first stage from the blocks associated with pickup and trip. Another solution is to equalize the setting of two stages. For this purpose, once again refer to AMR software, set the first stage equal to the second stage settings and the settings are sent to the relay.
In the end, the results are added to the report by clicking on the Add to Report option. The results are visible in the Report window.
AMR modular relay of Vebko company supports various protection functions. Explanations of the capabilities and software environment of this relay have already been presented in the video related to differential protection test.
After connecting to the AMR relay at first, simply load the device's hardware configuration from the Device menu by selecting the Read Hardware from Relay option. The default password is 123456 to receive elements. At this point, a message is given to remove the signal, which if confirmed, if the current hardware is not the same as the relay hardware, the current hardware signals used in the VFC section are deleted.
It should be noted that the settings for the conversion ratio of voltage and current transformers are determined in the related card. Here, current card conversion ratio is 200A to 1A and voltage card conversion ratio is 63,000 to 100V.
(First, enter the VFC page): As mentioned earlier in the AMR software, configuring some of the most widely used functions are placed in the software as samples the user can send new settings to the relay by selecting each of them and applying the desired changes. For this purpose, a set of functions can be seen in the Relay VFC tab and in the Temp Functions section. It should be noted that by selecting each Temp Function, the blocks in the VFC are removed.
Here the negative sequence overcurrent function displayed with the name NS 46 is selected. In this template, first, the signals of a current card are given to the Current Quantities block to create different current sequences in its output. In the default config of the Negative Sequence function, a block with different stages and signals of a current card with negative sequence is assigned to its input. Finally, output signals are assigned to Binary Outputs and relay LEDs by Output and LED blocks. To change the settings, simply right-click on each block to access a set of options.
By double-clicking on the Negative Sequence block, the settings for its various stages are visible. Here, the first stage with normal Inverse setting characteristic has a current of 0.1 amps, the TMS equals 1, and the two constant time stages with a current setting of 0.2 and 0.5A have a time setting of 1.5 and 0.5 seconds, respectively.
By making these changes, simply select Send Config and Setting to Relay from the Device menu again. This way, the settings and applied configuration are moved to the relay. (Cut from this part until the overcurrent room opens).
In the next step, by running AMPro software and opening the AMT Overcurrent room, it is enough to go to the Test Object Parameters section and create the test characteristic after entering the information. The test characteristic is created in the Elements tab in the Negative Sequence section. Therefore, the default characteristic in this section is removed first. First, a reverse time characteristic is created with a current setting of 0.1 amps and TMS=1. The next characteristic is created by current setting of 0.2 and a time of 1.5 seconds. Finally, the third characteristic is created by adjusting the current setting of 0.5 and the time of 0.5 seconds. Keep in mind that it is also possible to test this function using the Xrio file.
In order to evaluate the performance of negative sequence overcurrent function, two Trip Time and Pickup-Drop Off tests are performed. The purpose of Trip Time is to detect and evaluate the accuracy of the performance time of this function and the purpose of pickup-drop off test is to detect and evaluate the accuracy of the actual current of the performance threshold and the reset threshold of this function.
To perform this test three states ones including PreFault, Fault and PostFault are required. PreFault time is suitable for 500 milliseconds, fault time should be greater than the maximum trip time, and Post Fault time is at least 500 milliseconds. PostFault time should be increased if the drop-off is not instantaneous.
The suggested points for reduced time functions are 1.5 times, 2 times and 4 times the regulatory current, and for constant time curves, 1.5 and 2 times the regulatory current. These points are added to the fault type 12 to prepare the test. Keep in mind that due to the existence of three different characteristic, in some cases, the added points with the mentioned coefficients fall on the other characteristic. In these cases, other points are manually added on each characteristicto ensure accurate time performance.
To detect the regulatory current of the second and third units, two points can be added to 90 and 110 percent of the regulatory current of these units in order to perform a kind of pickup drop-off test for these characteristics. Once again, the Max Fault Time value is set based on the highest number inserted in the t nom section. By adding points, perform the test to check the performance of this function from the point of view of time accuracy.
In order to perform this test, it is first to determine how the diagnosis of pickup and drop-off is performed. This process can be done through a separate contact, like Start, Relay LED viewing, or changing the setting for the instantaneous of the function and using the trip contact. Here we used the relay pickup contact. You can also put the current fault value in the desired range. Here the fault value is considered 5% by default. The performance range of overcurrent curves in the AMR relay starts from 1.1 regulatory current in the relay. Therefore, first, by enabling the Active Range Limits option in the Overcurrent Protection Parameters window, Imin value are determined to be 1.1*0.1=0.11 Iref. In the next step, the current adjustment value for the pickup is placed on 0.1*1.1=0.11 amps. By adding this point, it is enough to perform the test and add the necessary elements to the report when it is finished.
After connecting to the AMR relay at first, simply load the device's hardware configuration from the Device menu by selecting the Read Hardware from Relay option. The default password is 123456 in order to receive elements. At this point, a message is given to remove the signal, which if confirmed, if the current hardware is not the same as the relay hardware, the current hardware signals used in the VFC section are deleted.
It should be noted that the settings for the conversion ratio of voltage and current transformers are determined in the related card. Here the ratio of current card conversion is 200A to 1A.
(First, enter the VFC page): As mentioned earlier in the AMR software, configuring some of the most widely used functions as examples are placed in the software and the user can send new settings to the relay by selecting each of them and applying the desired changes. For this purpose, a set of functions can be seen in the Relay VFC tab and in the Temp Functions section. It should be noted that by selecting each Temp Function, the blocks in the VFC are removed.
Here the directional overcurrent function displayed with the name OC 67 is selected. In Configuring, this function uses an OC Inverse block and two OC Definite blocks that have different settings and the signals of a current card are assigned to their input (from a measuring point). Finally, output signals are assigned to Binary Outputs and relay LEDs by Output and LED blocks. To change the settings, simply right-click on each block to access a set of options. Finally, the changes are sent to the relay.
In this video, by double-clicking on blocks that contain constant time stages for the directional overcurrent function, disables them and define the 1A and TMS current settings equal to 0.1 by double-clicking on the first stage, which is defined as reverse time. By double-clicking on the Direction block, the elements related to the directional function include rotation angle and ground polarization. After this, the changes will be sent to the relay by selecting send config and setting to relay option.
In the next step, by running AMPro software and opening the AMT Overcurrent room, it is enough to go to the Object Parameters test section and create the test characteristic after entering the information. Keep in mind that it is also possible to test this function using the Xrio file. Here, the current setting value is equal to 1 amp, TMS is 0.1. In the overcurrent test, it is required to set two parameters maximum torque angle and sector operation. To do this from the Overcurrent window and the Relay Parameters tab, the directional option is selected and from the Element tab, the Directional section is placed on forward. Then enter under the Define Element Directional Behavior tab and the maximum torque angle and Sector operation parameters are equal to -45 and 172 degrees, respectively.
In directional overcurrent relays, In order to better performance of relay, in orientation and reaching the MTA value ,the rotation of the reference voltage angle is used.. The performance area or forward area in this relay is set from -131 degrees to +41 degrees.
In order to investigate the directional overcurrent function, in addition to the time of operation and current, the angle of performance should also be investigated. For this purpose, performance time tests are performed along with amplitude and phase tests.
In the time test, the accuracy of the performance time is investigated and in the amplitude and phase test, the detection and evaluation of the accuracy of the actual current and the actual angle of the performance threshold and reset threshold are considered.
Cross Polarized method is used in AMR Vebko relay, i.e. using healthy phases to detect fault direction. For example, in case of faults in phase A, the relay uses VBC reference voltage and IA current to detect the fault current direction. The Forward or Reverse area means the part where the relay must detect the fault will be determined by the start angle and end angle.
In order to test the DOC function, three states are considered. The first state for 500 milliseconds, normal conditions this means that it will inject a nominal voltage with zero current.
In the second state, the fault conditions are applied and the current is selected for all phases of L1E-L2E-L3E in the range of 2 to 4 times the nominal current. The duration of this state should be greater than the nominal time of the relay trip.
The third state will also be activated as post-Fault with zero voltage and current for 500 milliseconds. In order to see better performance of the function, from the View menu, the Detail View window opens.
After adding double points and four times the regulatory current at the best possible angle in terms of performance of the function i.e. -45 degrees for the L1E-L2E-L3E falt types, a point in the No Trip area (here at an angle of 135 degrees) is tested.
Due to the nature of the two-phase fault, the currents in this fault will have a phase difference of 180 degrees so that the 3I0 current is not created and the 67N function is not activated.
In order to perform the Pickup-Drop off test, you can also use a relay or LED contact and even a setting change to instantaneous the function.
For this purpose, three states are needed for example in the first state, the normal network conditions, applied, in the second state the pickup test and in the third state the drop-off test is performed. In the second state, for pickup and drop-off test of angle, the current value will be twice the regulatory current. these states are performed in the Overcurrent room automatically by entering the settings by the user.
The performance range of overcurrent curves in the AMR relay starts from 1.1 regulatory current in the relay. Therefore, first, by enabling the Active Range Limits option in the Overcurrent Protection Parameters window, the Imin value is set to 1.1 Iref. In the next step, the current adjustment value for the pickup test of the current value is placed on 1.1*1=1.1 amps. This test is performed at the best possible angle in terms of relay performance i.e. -45 degrees.
After the current pick up-drop off, it is time to Pick up-drop off on the angle. For this purpose, as mentioned above, the current value is applied twice as much as the regulatory current, and once the trend is performed for the upper limit of the angle, i.e. 41 degrees, and once for the lower limit of the angle, i.e. -131 degrees. By adding the necessary tests and performing, you can finally add favorites items to the report.
AMR modular relay of Vebko company supports various protection functions. Explanations of the capabilities and software environment of this relay have already been presented in the video related to differential protection test.
After connecting to the AMR relay at first, simply load the device's hardware configuration from the Device menu by selecting the Read Hardware from Relay option. The default password is 123456 to receive elements. At this point, a message is given to remove the signal, which if confirmed, if the current hardware is not the same as the relay hardware, the current hardware signals used in the VFC section are deleted.
It should be noted that the settings for the conversion ratio of voltage and current transformers are determined in the related card. Here the ratio of current card conversion is 200A to 1A.
(First, enter the VFC page): As mentioned earlier in the AMR software, config of some of the most widely used functions as are placed in the software as sample the user can send new settings to the relay by selecting each of them and applying the desired changes. For this purpose, a set of functions can be seen in the Relay VFC tab and in the Temp Functions section. It should be noted that by selecting each Temp Function, the blocks in the VFC are removed.
Here the non-directional overcurrent function displayed under the name OC 50/51 is selected. In configuring this function, an OC Inverse block and two OC Definite blocks are used. They have different settings and the signals of a current card are assigned to their input (from a measuring point). Finally, output signals are assigned to Binary Outputs and relay LEDs by Output and LED blocks. To change the settings, simply right-click on each block to access a set of options. Finally, the changes are sent to the relay.
In this video, by double-clicking on blocks that contain constant time stages for non-directional overcurrent function, disables them and define the 1A and TMS current settings equal to 0.1 by double-clicking on the first stage, which is defined as reverse time.
By making these changes, simply select Send Config and Setting to Relay from the Device menu again. In this way, the settings and configuration applied are moved to the relay.
In the next step, by running AMPro software and opening the AMT Overcurrent room, it is enough to go to the Object Parameters test section and create the test characteristic after entering the information. Here, a reverse time characteristic is created by 1A and TMS=0.1 current settings. Keep in mind that it is also possible to test this characteristic using the Xrio file.
In order to evaluate the performance of non-directional overcurrent function, two Trip Time and Pickup-Drop Off tests are performed. The purpose of Trip Time is to detect and evaluate the accuracy of the performance time of this function and the purpose of pickup-drop off test is to detect and evaluate the accuracy of the actual current of the performance threshold and of reset threshold of this function.
Three states including PreFault, Fault and PostFault are required to perform this test. PreFault time is suitable for 500 milliseconds, fault time should be greater than the maximum trip time, and Post Fault time is at least 500 milliseconds. PostFault time should be increased if the drop-off is not an instantaneous.
The suggested points for reduced time functions are 1.5 times, 2 times and 4 times the regulatory current, and for constant time curves, 1.5 and 2 times the regulatory current.
To detect the regulatory current of the second unit, two points can be added to the amount of 90 and 110 percent of the regulatory current of the second unit.
By adding points, perform the test to check the performance of this function from the point of view of time accuracy.
In order to perform this test, first determine how the diagnosis of pickup and drop-off is performed. This process can be done through a separate contact, namely Start, Relay LED viewing, or changing the setting for instantaneous function and using the trip contact. Here we used the Contact Pickup Relay. You can also put the current fault value in the desired range. Here the fault value is considered 5% by default. The performance range of overcurrent curves in the AMR relay starts from 1.1 regulatory current in the relay. Therefore, first, by enabling the Active Range Limits option in the Overcurrent Protection Parameters window, the Imin value is set to 1.1 Iref. In the next step, the current setting value for the pickup is placed on 1.1*1=1.1 amps. (as it is shown)
By adding points, it is enough to perform the test and add the necessary elements to the report when it is finished.
AMR modular relay of Vebko supports various protection functions. Explanations of the capabilities and software environment of this relay have already been presented in the film related to differential protection test.
After connecting to the AMR relay at first, simply load the device's hardware configuration from the Device menu by selecting the Read Hardware from Relay option. The default password is 123456 in order to receive elements. At this point, a message is given to remove the signal, which, if confirmed, the current hardware signals used in the VFC section will be deleted, if the current hardware is not the same as the relay hardware.
It should be noted that the settings for the conversion ratio of voltage and current transformers are determined in the related card. Here, the ratio of the current card conversion is 200A to 1A and the voltage card conversion ratio is 63,000 to 100V.
(First, enter the VFC page): As mentioned earlier in the AMR software, configuring some of the most widely used functions as examples are placed in the software and the user can send new settings to the relay by selecting each of them and applying the desired changes. For this purpose, a set of functions can be seen in the Relay VFC tab and in the Temp Functions section. It should be noted that by selecting each Temp Function, the blocks in the VFC are removed. Here the Distance function displayed with the name Dist is selected.
As can be seen in this Temp Function, the signals of analog relay cards are assigned to the inputs of the Distance block, as well as to calculate line-by-line voltages, voltage card signals are given to the Voltage Systems block and then assigned to the Distance Block. Finally, distance output signals are assigned to Binary Outputs and relay LEDs by Output and LED blocks. You can also access the settings of this function by double-clicking on the Distance block.
By scrolling on the signals of each block, more signals are displayed if available. Also visible from the Signals tab, the set of output signals assigned to the distance block.
After applying the desired changes, using the Ctrl+ E combination keys or by using the File menu and selecting the Export XRio option, the XRio file is downloaded from the software as an output containing the distance function settings.
Next, by running AMPro software and opening the AMT Distance room, simply upload the Xrio file you saved in the software environment in the previous step. By loading the relay distance characteristic, conduct the test based on the periodic testing system of Iran's power transmission network protection systems.
Firstly, shot test is performed, which aims to evaluate the time of different tripe zones. The Pre Fault value is at least 1 second and the Post Fault value is at least 500 milliseconds. In order to perform this test, we place points on 80% of the value of each zone in line with the real axis and also in line with the angle of the line.
In line with the real axis, the test will be performed for all phase-to-ground characteristics in the A-N and phase-to-phase fault loops in the B-C and ABC fault loops. In line angle, testing is performed for all phase-to-ground characteristics in the C-N and phase-to-phase fault loops in A-B and ABC fault loops. By performing the test, the performance time for the added points can be seen in different zones.
In the second step, the Test Check is performed to check the performance time and range of the zones in the upper and lower part of the Rich value by drawing the lines on the R, X axes and in line with the angle of the line. Here, in order to avoid prolonging the test process, the check test is performed only for three-phase fault type.
By performing of this test, the results of the studies will once again be visible. In the final step, search test is performed with the aim of searching the curve, detecting and evaluating the real range of each distance relay zones. For this purpose, search line should be selected in line with the R, X, angle of the line and the location of the collision of the sides.
This test is performed in line with the real axis and in a way that passes through all zones as a one-time repetition for each search line, for all phase-to-ground characteristics in the A-N and phase-by-phase fault loops in the B-C and ABC fault loops. Here, in order to avoid prolonging the test process, this test is only performed for the ABC fault loop.
In line angle and so that we cross all zones again, once repetition is performed for each line and for all phase-to-ground characteristics in the C-N and phase-by-phase fault loops in the A-B and ABC fault loops. Finally, at the collision site, a repeat is performed once for each search line for phase-to-ground characteristic in the A-N fault loop and phase to phase in the B-C fault loop.
As mentioned above, in order to prevent the prolongation of the test process, these tests are only performed for the ABC fault loop. When the test is finished, you can specify the elements in the report and save the output in different formats such as PDF.
AMR multi-function relay with modular and expandable hardware structure enables the development of various functions. The AMR relay has four regulatory groups and can save Event log, Trip Log and Comtrade. The relay has also successfully passed tests of protection relays in accordance with the IEC-60255 standard.
In order to configure this relay, you can use AMR software. The Relay Hardware software module enables relay hardware configuration and Relay VFC module, allowing logic writing and implementation of various functions from easiest to most complex configurations. Also, using the Signal Routing module, functions can be implemented in the fastest way. After adjusting the settings, it is possible to help the relay test more easier through test devices by receiving the Xrio file as an output containing the functions settings. The AMR software can be downloaded from the website of The Vebko Company (Vebko.org). First, the software connects to the relay using the LAN cable and entering the relay IP in the Communication window.
It should be noted that the settings for the conversion ratio of voltage and current transformers are determined in the related card. Here, the ratio of the current card conversion is 200A to 1A and the voltage card conversion ratio is 63,000 to 100V.
(First, enter the VFC page): As mentioned earlier in the AMR software, configuring some of the most widely used functions as examples are placed in the software and the user can send new settings to the relay by selecting each of them and applying the desired changes. For this purpose, a set of functions can be seen in the Relay VFC tab and in the Temp Functions section. It should be noted that by selecting each Temp Function, the blocks in the VFC are removed.
Here the differential function displayed with the name Diff is selected. In Config of this function, the signals of the current cards are connected to the differential block input. Finally, differential block output signals are assigned to Binary Outputs and relay LEDs by Output and LED blocks. You can access the settings of this function by double-clicking on the differential block.
After applying the desired changes, using the Ctrl+ E combination keys or by using the File menu and selecting the Export Xrio option, the Xrio file is downloaded from the software as an output containing differential function settings. Next, by running AMPro software and opening the AMT Differential room, simply upload the Xrio file you saved in the software environment in the previous step.
By loading the differential characteristic of the relay, conduct the test based on the periodic testing system of Iran's power transmission network protection systems. Here we select PreFault and Postfault time 500 milliseconds and Fault time 200 milliseconds.
Firstly, points should be selected within blocking and Tripping areas. The relay performance time during testing must match the time set in the differential relay. At each slope of the curve, test points should be established at least in the characteristic breakpoints and outside of the current tolerance and close to it and on either side of the yield curve. In the lower parts of the characteristic, inactivity and in the upper parts of the characteristic, the moment performance must be recorded. In order to avoid prolonging the test time, fault types L1-E, L2-L3 and L1L2L3 are selected.
In the second step, the Check Test will be performed to calculate the performance and Inactivity on both sides of the characteristic, based on the time of the shots performed. This test is performed in fault types L1-E, L2-L3 and L1L2L3.
In the next step, by using Search Test, we evaluate the real curve of differential protection performance. According to the system, in search test, at least two search lines should be selected on the performance curve for each part of the curve slope, one of these lines is better to be in the characteristic fracture area. This test is performed in fault types L1-E, L2-L3 and L1L2L3.
As one of the functional tests, you can use pickup drop feature for differential characteristic. The three options Primary Side, -Secondary Side and bias allow pickup drop for differential component on the primary, secondary side as well as bias current, respectively. For this purpose, just add points for different Fault Type and run the test. Here, the drop-off pickup is evaluated for all types on primary and secondary sides.
Another function test, is available from AMT Differential's Room Stability tab. In this section, considering Idiff=0, you can specify the bias value as a coefficient against the nominal current to check the trans stability in this case. This test is performed in all fault types. When the test is finished, you can specify the elements in the report and save the output in different formats such as PDF.
The new power systems, specifically power substations, are designed in such a way that protection and control schemes of IEC 61850 Generic Object-Oriented Substation Event (or GOOSE) are used in them.
GOOSE messaging can be considered as a virtual connection replacing wiring and hardware connection. Hardware systems are physically checked and tested. -While GOOSE systems can be virtually checked.
Improved GOOSE systems development needs enough information about VLAN (Virtual Local-area) networks, MAC address filtering and Logical Nodes. Moreover, it needs Ethernet traffic analysis or switch setting inspection.
Testing devices can play a major role here to make GOOSE messaging testing and inspection easier. In AMT 105 devices, testing can be easily performed using SCD files in relays and network setting.
GOOSE setting can be accessed through hardware configuration window. In this window, by selecting Import SCL option, you can import a created GOOSE configuration file. By choosing Clear SCL option entered data can be deleted so you can add another file.
After importing the file, a list of GOOSE reference information, ID, MAC address, etc. are shown. By expanding each directory, you can see a series of GOOSE. If your selected option is put in relay's output list, while you want it in input list, you can simply choose Binary In option. Contrariwise, if the tester is supposed to excite the input of the relay, you can select Binary Out, after choosing the desired option.
By choosing each option, related virtual Binary Input or Output will appear. After clicking on each binary, you will be directed to that page under Binary/Analog Input or Binary Output tab. Then you will be able to change the desired configurations.
Therefore, the created virtual binaries will act like the real binaries of the device and will be considered in the test. Here is an example of the Goose testing for the Siemens 7SA522 relay with the IEC61850 protocol and the RJ45 port with the EN100 card is done.
Note that the selected IPs for the laptop network, tester and relay must be in the same range. The IP of the test device here is 192.168.1.57 and the IP of the computer network is set to 192.168.1.2. Now it is time to register an IP for the relay in the same range in Digsi 4 software. Here “192.168.1.4” is set as an example. Keep in mind that by having an MLFB relay, all you need to do is to create an IEC 61850 Station by registering the IP and initializing it. By right-clicking on the relay title and checking the Communication Parameters section, you can make sure that the VD address, Mirror VD, IP address and Subnet Mask are correct. Here in IED name, the title DIS stands for Distance.
By opening the IEC61850 System Configurator, you can select the desired items from the Source Catalog and Destination Catalog sections and transfer them to the Goose Application section to perform Goose test. In this video, two protection items, Trip Zone 1 and Trip Zone 2, have been selected from the reference section. From the destination section, the Double position breaker item that was previously created in the Masking I / O relay is selected. Now all you need to do is to save the created file with an SCD extension.
In the next step, open the AMT Sequencer room and Click on Hardware Configuration to go to the Goose Setting section and import the file saved in the previous step. As you can see, there are three items with subcategories in the Goose Control Reference section. By opening the subcategories, the function of zone 1 is set to Binary Input 11 and the function of zone 2 is set to Binary Input 12. In order to change the position of breaker in using a tester, Binary Output 5 is selected. The C1 binary is also wired to be used as a reference for comparing the time between trip zones 1 and 2.
In the next step, you need to set the configurations for Binary Inputs. Here, Trip A and Trip B are selected to record the relay performance against Trip Zones 1 and 2, respectively. Then, it is time for Binary Output to be configured. Clicking OK will save the settings.
Now it is time to do the test. As you can see, for trips in Zone 1 and Zone 2, in addition to the physically-wired contact C1, the trip is also recorded through contacts C11 and C12. You can also send a “change status” command to the relay, by enabling or disabling Binary Output. There are different ways to check the information transference through Goose. For example, you can use Goose Inspector, IEC Browser or a software like Wireshark.
To trust Vebko software, after installing the software, you need to apply operations in Bitdefender antivirus:
First, enter the Protection section, then the Antivirus section and select Manage Exceptions option:

Select the All exceptions tab and select Add an exception option:
And in the Exceptions Options window, click on the Browse icon:


In the Select a file or folder to except window, specify the path to install Vebko software on the computer and select the software folder to be trusted:


The default path where the Vebko software is installed is displayed as follows:
C:\Program Files (x86)\Vebko
In this section, by selecting vebko folder and selecting ok option as well as selecting Add Exception option, the declared path is recorded.
After this step, you should do one of the following steps to trust the software version compared to the version you have installed (stable/test) on your system.
By selecting the vebko_stable folder is shown in the path, proceed to trust stable version, it should be noted that the AppData folder is in Hidden mode by default and you should display it by selecting the Hidden Items option in the View tab.
C:\Users\*\AppData\Roaming\Vebko_stable
Instead of *, you should select the name of your Windows account and finally by doing these steps, the software will run as trusted and antivirus will not prevent its activity.


Also, to trust the Test version, you can select the vebko_test folder in the path shown, it should be noted that the AppData folder is in Hidden mode by default and you should display it by selecting the Hidden Items option in the View tab. This step is the same as the one mentioned in the trust stable version.
C:\Users\*\AppData\Roaming\Vebko_test
Instead of *, you should select the name of your Windows account.
To trust Vebko software, after installing the software, you need to apply operations in ESET NOD32 antivirus:
First, enter setup section and then the antivirus Advanced setup option:


Then, in the Detection Engine tab, select Edit option related to Performance exclusions:

In the Performance exclusions window, click Add option:

In the Add exclusion window, click on Browse option:

Then specify the path of installing Vebko software on the computer and select the software folder to be trusted:

The default path where the Vebko software is installed is displayed as follows:
C:\Program Files (x86)\Vebko
In this section, by selecting vebko folder and selecting OK option, the declared path is recorded.
After this step, you should do one of the following steps to trust the software version compared to the version you have installed (stable/test) on your system.
By selecting the vebko_stable folder is shown in the path, proceed to trust stable version, it should be noted that the AppData folder is in Hidden mode by default and you should display it by selecting the Hidden Items option in the View tab.
Instead of *, you should select the name of your Windows account and finally by doing these steps, the software will run as trusted and antivirus will not prevent its activity.


Also, to trust the Test version, you can select the vebko_test folder in the path shown, it should be noted that the AppData folder is in Hidden mode by default and you should display it by selecting the Hidden Items option in the View tab. This step is the same as the one mentioned in the trust stable version.
C:\Users\*\AppData\Roaming\Vebko_test
Instead of *, you should select the name of your Windows account


To trust Vebko software, after installing the software, you need to apply operations in Kaspersky antivirus:
First, enter the Antivirus Setting section:

Then, in the Threats and Exclusions tab, select Manage exclusions:

And in the Exclusions window, select add option

In the Add new exclusion window, click on Browse option:

The default path where the Vebko software is installed is displayed as follows:
C:\Program Files (x86)\Vebko
By selecting the vebko folder and selecting the Select option, in the Add new exclusion window, by selecting the All components option and finally by clicking on the Add option, the declared path is recorded.
After this step, you should do one of the following steps to trust the software version compared to the version you have installed (stable/test) on your system.
It should be noted that the AppData folder is in Hidden mode by default and you should display it by selecting the Hidden Items option in the View tab.
By selecting the vebko_stable folder shown in the path:
C:\Users\*\AppData\Roaming\Vebko_stable
then click on Select option, in the Add new exclusion window, by selecting all components option and finally click on add option, to trust stable version. Instead of *, you should select the name of your Windows account
It should be noted that the AppData folder is in Hidden mode by default and you should display it by selecting the Hidden Items option in the View tab., which is the same as the part mentioned in the trust stable version.
By Selecting the vebko_test folder shown in the path:
C:\Users\*\AppData\Roaming\Vebko_test
Click on select option, in the Add new exclusion window, by selecting all components option and finally click on add option, to trust the test version. Instead of *, you should select the name of your Windows account.